Impact of body mass index on clinical outcomes in intestinal Behçet's disease.

IF 2.4 4区 医学 Q2 MEDICINE, GENERAL & INTERNAL
Daye Park, Jihye Park, Soo Jung Park, Jae Jun Park, Tae Il Kim, Jae Hee Cheon
{"title":"Impact of body mass index on clinical outcomes in intestinal Behçet's disease.","authors":"Daye Park, Jihye Park, Soo Jung Park, Jae Jun Park, Tae Il Kim, Jae Hee Cheon","doi":"10.3904/kjim.2024.349","DOIUrl":null,"url":null,"abstract":"<p><strong>Background/aims: </strong>The impact of body mass index (BMI) on the clinical outcomes of intestinal Behçet's disease (BD) remains unclear. This study assessed the association between BMI and disease progression.</p><p><strong>Methods: </strong>A retrospective analysis of 760 patients with intestinal BD was conducted. Patients were classified by BMI as underweight (< 18.5 kg/m2), normal (18.5-22.9), overweight (23.0-24.9), or obese (≥ 25.0). The association between BMI and clinical outcomes-biologics, surgery, hospitalization, and emergency visits-was examined.</p><p><strong>Results: </strong>Among 760 patients, 130 (17.1%) were underweight, 384 (50.5%) normal, 152 (20.0%) overweight, and 94 (12.4%) obese. Higher BMI linked to lower cumulative rates of biologics use (p trend = 0.002), surgery (p trend = 0.004), hospitalization (p trend = 0.004), and emergency visits (p trend = 0.008). Compared with the underweight group, the normal (HR 0.667, 95% CI 0.483-0.922, p = 0.014), overweight (HR 0.589, 95% CI 0.394-0.879, p = 0.010), and obese groups (HR 0.515, 95% CI 0.321-0.828, p = 0.006) had lower hospitalization risks. The overweight (HR 0.490, 95% CI 0.241-0.996, p = 0.049) and obese (HR 0.312, 95% CI 0.116-0.840, p = 0.021) groups were negatively associated with future biologics use. The normal (HR 0.705, 95% CI 0.480-1.036, p = 0.075) and obese (HR 0.510, 95% CI 0.272-0.953, p = 0.035) groups were negatively associated with future surgery in multivariable analysis.</p><p><strong>Conclusion: </strong>Lower BMI was linked to poorer clinical outcomes in intestinal BD, emphasizing the need to optimize nutritional status.</p>","PeriodicalId":48785,"journal":{"name":"Korean Journal of Internal Medicine","volume":"40 4","pages":"606-615"},"PeriodicalIF":2.4000,"publicationDate":"2025-07-01","publicationTypes":"Journal Article","fieldsOfStudy":null,"isOpenAccess":false,"openAccessPdf":"https://www.ncbi.nlm.nih.gov/pmc/articles/PMC12257004/pdf/","citationCount":"0","resultStr":null,"platform":"Semanticscholar","paperid":null,"PeriodicalName":"Korean Journal of Internal Medicine","FirstCategoryId":"3","ListUrlMain":"https://doi.org/10.3904/kjim.2024.349","RegionNum":4,"RegionCategory":"医学","ArticlePicture":[],"TitleCN":null,"AbstractTextCN":null,"PMCID":null,"EPubDate":"","PubModel":"","JCR":"Q2","JCRName":"MEDICINE, GENERAL & INTERNAL","Score":null,"Total":0}
引用次数: 0

Abstract

Background/aims: The impact of body mass index (BMI) on the clinical outcomes of intestinal Behçet's disease (BD) remains unclear. This study assessed the association between BMI and disease progression.

Methods: A retrospective analysis of 760 patients with intestinal BD was conducted. Patients were classified by BMI as underweight (< 18.5 kg/m2), normal (18.5-22.9), overweight (23.0-24.9), or obese (≥ 25.0). The association between BMI and clinical outcomes-biologics, surgery, hospitalization, and emergency visits-was examined.

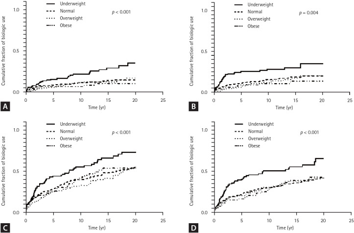
Results: Among 760 patients, 130 (17.1%) were underweight, 384 (50.5%) normal, 152 (20.0%) overweight, and 94 (12.4%) obese. Higher BMI linked to lower cumulative rates of biologics use (p trend = 0.002), surgery (p trend = 0.004), hospitalization (p trend = 0.004), and emergency visits (p trend = 0.008). Compared with the underweight group, the normal (HR 0.667, 95% CI 0.483-0.922, p = 0.014), overweight (HR 0.589, 95% CI 0.394-0.879, p = 0.010), and obese groups (HR 0.515, 95% CI 0.321-0.828, p = 0.006) had lower hospitalization risks. The overweight (HR 0.490, 95% CI 0.241-0.996, p = 0.049) and obese (HR 0.312, 95% CI 0.116-0.840, p = 0.021) groups were negatively associated with future biologics use. The normal (HR 0.705, 95% CI 0.480-1.036, p = 0.075) and obese (HR 0.510, 95% CI 0.272-0.953, p = 0.035) groups were negatively associated with future surgery in multivariable analysis.

Conclusion: Lower BMI was linked to poorer clinical outcomes in intestinal BD, emphasizing the need to optimize nutritional status.

Abstract Image

Abstract Image

体重指数对肠道behaperet病临床结局的影响
背景/目的:体重指数(BMI)对肠道behet病(BD)临床结局的影响尚不清楚。这项研究评估了BMI与疾病进展之间的关系。方法:对760例肠道BD患者进行回顾性分析。根据BMI将患者分为体重不足(< 18.5 kg/m2)、正常(18.5-22.9)、超重(23.0-24.9)和肥胖(≥25.0)。研究了BMI与临床结果(生物制剂、手术、住院和急诊)之间的关系。结果:760例患者中体重不足130例(17.1%),正常384例(50.5%),超重152例(20.0%),肥胖94例(12.4%)。较高的BMI与较低的生物制剂累计使用率(p趋势= 0.002)、手术(p趋势= 0.004)、住院(p趋势= 0.004)和急诊(p趋势= 0.008)相关。与体重过轻组相比,正常组(HR 0.667, 95% CI 0.483-0.922, p = 0.014)、超重组(HR 0.589, 95% CI 0.394-0.879, p = 0.010)和肥胖组(HR 0.515, 95% CI 0.321-0.828, p = 0.006)住院风险较低。超重组(HR 0.490, 95% CI 0.241-0.996, p = 0.049)和肥胖组(HR 0.312, 95% CI 0.116-0.840, p = 0.021)与未来使用生物制剂呈负相关。在多变量分析中,正常组(HR 0.705, 95% CI 0.480 ~ 1.036, p = 0.075)和肥胖组(HR 0.510, 95% CI 0.272 ~ 0.953, p = 0.035)与未来手术呈负相关。结论:较低的BMI与肠道BD的临床预后较差有关,强调了优化营养状况的必要性。
本文章由计算机程序翻译,如有差异,请以英文原文为准。
求助全文
约1分钟内获得全文 求助全文
来源期刊
Korean Journal of Internal Medicine
Korean Journal of Internal Medicine MEDICINE, GENERAL & INTERNAL-
CiteScore
5.10
自引率
4.20%
发文量
129
审稿时长
20 weeks
期刊介绍: The Korean Journal of Internal Medicine is an international medical journal published in English by the Korean Association of Internal Medicine. The Journal publishes peer-reviewed original articles, reviews, and editorials on all aspects of medicine, including clinical investigations and basic research. Both human and experimental animal studies are welcome, as are new findings on the epidemiology, pathogenesis, diagnosis, and treatment of diseases. Case reports will be published only in exceptional circumstances, when they illustrate a rare occurrence of clinical importance. Letters to the editor are encouraged for specific comments on published articles and general viewpoints.
×
引用
GB/T 7714-2015
复制
MLA
复制
APA
复制
导出至
BibTeX EndNote RefMan NoteFirst NoteExpress
×
提示
您的信息不完整,为了账户安全,请先补充。
现在去补充
×
提示
您因"违规操作"
具体请查看互助需知
我知道了
×
提示
确定
请完成安全验证×
copy
已复制链接
快去分享给好友吧!
我知道了
右上角分享
点击右上角分享
0
联系我们:info@booksci.cn Book学术提供免费学术资源搜索服务,方便国内外学者检索中英文文献。致力于提供最便捷和优质的服务体验。 Copyright © 2023 布克学术 All rights reserved.
京ICP备2023020795号-1
ghs 京公网安备 11010802042870号
Book学术文献互助
Book学术文献互助群
群 号:604180095
Book学术官方微信