Increase of α-Synuclein in the Peripheral Blood of Subjects with Methamphetamine Use Disorder.

IF 1.8 4区 医学 Q3 PSYCHIATRY
Psychiatry Investigation Pub Date : 2025-07-01 Epub Date: 2025-07-10 DOI:10.30773/pi.2023.0389
Mi Ran Choi, Younghoon Chon, Joongbum Cho, Changwoo Han, Yeung-Bae Jin, Sang-Rae Lee, Dai-Jin Kim
{"title":"Increase of α-Synuclein in the Peripheral Blood of Subjects with Methamphetamine Use Disorder.","authors":"Mi Ran Choi, Younghoon Chon, Joongbum Cho, Changwoo Han, Yeung-Bae Jin, Sang-Rae Lee, Dai-Jin Kim","doi":"10.30773/pi.2023.0389","DOIUrl":null,"url":null,"abstract":"<p><strong>Objective: </strong>Methamphetamine (MA) use has created significant public health problems worldwide. Its chronic abuse causes neurotoxicity resulting in disruption of neural plasticity and early onset of neurodegenerative diseases. Therefore, there is need for a biomarker to evaluate the neurotoxicity caused by MA. This study investigates the expression levels of α-synuclein (α-Syn), brain-derived neurotrophic factor (BDNF), and neuron-specific enolase (NSE) in the blood of patients with MA use disorder to identify potential biomarkers.</p><p><strong>Methods: </strong>We collected blood samples from 60 subjects (30 normal healthy controls and 30 patients with MA use disorder [MA group]). We used multiplex assay kits to analyze the expression levels of α-Syn, BDNF, and NSE in the blood of these subjects.</p><p><strong>Results: </strong>Beck Depression Inventory and Beck Anxiety Inventory scale scores were significantly different between the control and MA groups. The expression level of α-Syn in the MA group was significantly increased compared to that in the control group (z value=-1.986, p=0.0473). In contrast, BDNF in the MA group tended to increase as the duration of MA use increased (r=0.323, p=0.082).</p><p><strong>Conclusion: </strong>We identified an increase of α-Syn in the blood of the MA group. This finding suggests that the α-Syn level increases in the brain after exposure to MA by passing through the blood brain barrier. This result provides useful information for potential biomarkers in diagnosis of neurodegenerative diseases caused by MA abuse.</p>","PeriodicalId":21164,"journal":{"name":"Psychiatry Investigation","volume":" ","pages":"786-795"},"PeriodicalIF":1.8000,"publicationDate":"2025-07-01","publicationTypes":"Journal Article","fieldsOfStudy":null,"isOpenAccess":false,"openAccessPdf":"https://www.ncbi.nlm.nih.gov/pmc/articles/PMC12301680/pdf/","citationCount":"0","resultStr":null,"platform":"Semanticscholar","paperid":null,"PeriodicalName":"Psychiatry Investigation","FirstCategoryId":"3","ListUrlMain":"https://doi.org/10.30773/pi.2023.0389","RegionNum":4,"RegionCategory":"医学","ArticlePicture":[],"TitleCN":null,"AbstractTextCN":null,"PMCID":null,"EPubDate":"2025/7/10 0:00:00","PubModel":"Epub","JCR":"Q3","JCRName":"PSYCHIATRY","Score":null,"Total":0}
引用次数: 0

Abstract

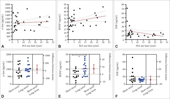
Objective: Methamphetamine (MA) use has created significant public health problems worldwide. Its chronic abuse causes neurotoxicity resulting in disruption of neural plasticity and early onset of neurodegenerative diseases. Therefore, there is need for a biomarker to evaluate the neurotoxicity caused by MA. This study investigates the expression levels of α-synuclein (α-Syn), brain-derived neurotrophic factor (BDNF), and neuron-specific enolase (NSE) in the blood of patients with MA use disorder to identify potential biomarkers.

Methods: We collected blood samples from 60 subjects (30 normal healthy controls and 30 patients with MA use disorder [MA group]). We used multiplex assay kits to analyze the expression levels of α-Syn, BDNF, and NSE in the blood of these subjects.

Results: Beck Depression Inventory and Beck Anxiety Inventory scale scores were significantly different between the control and MA groups. The expression level of α-Syn in the MA group was significantly increased compared to that in the control group (z value=-1.986, p=0.0473). In contrast, BDNF in the MA group tended to increase as the duration of MA use increased (r=0.323, p=0.082).

Conclusion: We identified an increase of α-Syn in the blood of the MA group. This finding suggests that the α-Syn level increases in the brain after exposure to MA by passing through the blood brain barrier. This result provides useful information for potential biomarkers in diagnosis of neurodegenerative diseases caused by MA abuse.

Abstract Image

Abstract Image

Abstract Image

甲基苯丙胺使用障碍患者外周血α-突触核蛋白升高。
目的:甲基苯丙胺(MA)的使用在世界范围内造成了重大的公共卫生问题。它的长期滥用引起神经毒性,导致神经可塑性的破坏和神经退行性疾病的早期发病。因此,需要一种生物标志物来评估MA引起的神经毒性。本研究探讨了MA使用障碍患者血液中α-突触核蛋白(α-Syn)、脑源性神经营养因子(BDNF)和神经元特异性烯醇化酶(NSE)的表达水平,以寻找潜在的生物标志物。方法:采集60例血液样本,其中30例为正常健康对照,30例为MA使用障碍患者[MA组]。我们使用多重检测试剂盒分析了这些受试者血液中α-Syn、BDNF和NSE的表达水平。结果:Beck抑郁量表和Beck焦虑量表得分在对照组和MA组之间存在显著差异。MA组α-Syn表达量较对照组显著升高(z值=-1.986,p=0.0473)。相比之下,MA组BDNF有随MA使用时间增加而增加的趋势(r=0.323, p=0.082)。结论:MA组血中α-Syn明显升高。这一发现表明,MA通过血脑屏障暴露后,脑内α-Syn水平升高。这一结果为潜在的生物标志物诊断由MA滥用引起的神经退行性疾病提供了有用的信息。
本文章由计算机程序翻译,如有差异,请以英文原文为准。
求助全文
约1分钟内获得全文 求助全文
来源期刊
CiteScore
4.10
自引率
3.70%
发文量
105
审稿时长
6-12 weeks
期刊介绍: The Psychiatry Investigation is published on the 25th day of every month in English by the Korean Neuropsychiatric Association (KNPA). The Journal covers the whole range of psychiatry and neuroscience. Both basic and clinical contributions are encouraged from all disciplines and research areas relevant to the pathophysiology and management of neuropsychiatric disorders and symptoms, as well as researches related to cross cultural psychiatry and ethnic issues in psychiatry. The Journal publishes editorials, review articles, original articles, brief reports, viewpoints and correspondences. All research articles are peer reviewed. Contributions are accepted for publication on the condition that their substance has not been published or submitted for publication elsewhere. Authors submitting papers to the Journal (serially or otherwise) with a common theme or using data derived from the same sample (or a subset thereof) must send details of all relevant previous publications and simultaneous submissions. The Journal is not responsible for statements made by contributors. Material in the Journal does not necessarily reflect the views of the Editor or of the KNPA. Manuscripts accepted for publication are copy-edited to improve readability and to ensure conformity with house style.
×
引用
GB/T 7714-2015
复制
MLA
复制
APA
复制
导出至
BibTeX EndNote RefMan NoteFirst NoteExpress
×
提示
您的信息不完整,为了账户安全,请先补充。
现在去补充
×
提示
您因"违规操作"
具体请查看互助需知
我知道了
×
提示
确定
请完成安全验证×
copy
已复制链接
快去分享给好友吧!
我知道了
右上角分享
点击右上角分享
0
联系我们:info@booksci.cn Book学术提供免费学术资源搜索服务,方便国内外学者检索中英文文献。致力于提供最便捷和优质的服务体验。 Copyright © 2023 布克学术 All rights reserved.
京ICP备2023020795号-1
ghs 京公网安备 11010802042870号
Book学术文献互助
Book学术文献互助群
群 号:604180095
Book学术官方微信