Identifying temperature cues driving increased voltinism in a geometrid moth.

IF 2.3 2区 环境科学与生态学 Q2 ECOLOGY
Jemma Guthrie, Hannele M Honkanen, Daniel T Haydon, Colin E Adams
{"title":"Identifying temperature cues driving increased voltinism in a geometrid moth.","authors":"Jemma Guthrie, Hannele M Honkanen, Daniel T Haydon, Colin E Adams","doi":"10.1007/s00442-025-05770-9","DOIUrl":null,"url":null,"abstract":"<p><p>Identifying the environmental cues that determine the timing of developmental processes is vital to understanding the effects of climate change on populations. However, as developmental processes are inherently difficult to measure directly at the population level, the drivers and potential consequences of change in their timings remain unknown in most species. Here we explore the use of long-term monitoring data for assessments of change in the number of generations per year and its impact on abundance, demonstrating new applications for a rapidly growing data source. Data derived from a light trap in west-central Scotland operated over 56 years (1968 to 2023) showed that the small phoenix moth, Ecliptopera silaceata, switched from a univoltine to bivoltine generation pattern. This voltinism change was predicted by an increased minimum temperature in a critical time window towards the later part of the first generation's flight period. The population shows positive density dependence and the change in voltinism has no significant negative effect on population size, indicating no evidence of a developmental trap that has been postulated for other species. These results identify some of the proximate mechanisms of developmental responses to climate change in general and in voltinism in particular, specifically highlighting the importance of sustained temperature above minimum thresholds for development. These results could also help to make predictions about future changes in population sizes under climate change and increasing voltinism, in addition to how these changes may differ between species.</p>","PeriodicalId":19473,"journal":{"name":"Oecologia","volume":"207 8","pages":"129"},"PeriodicalIF":2.3000,"publicationDate":"2025-07-09","publicationTypes":"Journal Article","fieldsOfStudy":null,"isOpenAccess":false,"openAccessPdf":"https://www.ncbi.nlm.nih.gov/pmc/articles/PMC12241285/pdf/","citationCount":"0","resultStr":null,"platform":"Semanticscholar","paperid":null,"PeriodicalName":"Oecologia","FirstCategoryId":"93","ListUrlMain":"https://doi.org/10.1007/s00442-025-05770-9","RegionNum":2,"RegionCategory":"环境科学与生态学","ArticlePicture":[],"TitleCN":null,"AbstractTextCN":null,"PMCID":null,"EPubDate":"","PubModel":"","JCR":"Q2","JCRName":"ECOLOGY","Score":null,"Total":0}
引用次数: 0

Abstract

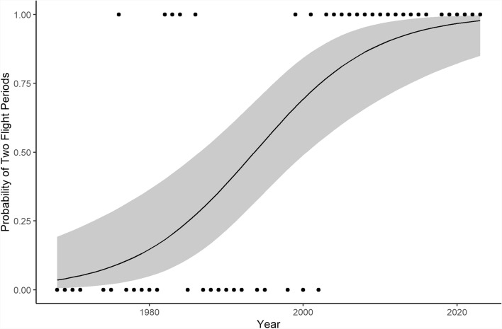
Identifying the environmental cues that determine the timing of developmental processes is vital to understanding the effects of climate change on populations. However, as developmental processes are inherently difficult to measure directly at the population level, the drivers and potential consequences of change in their timings remain unknown in most species. Here we explore the use of long-term monitoring data for assessments of change in the number of generations per year and its impact on abundance, demonstrating new applications for a rapidly growing data source. Data derived from a light trap in west-central Scotland operated over 56 years (1968 to 2023) showed that the small phoenix moth, Ecliptopera silaceata, switched from a univoltine to bivoltine generation pattern. This voltinism change was predicted by an increased minimum temperature in a critical time window towards the later part of the first generation's flight period. The population shows positive density dependence and the change in voltinism has no significant negative effect on population size, indicating no evidence of a developmental trap that has been postulated for other species. These results identify some of the proximate mechanisms of developmental responses to climate change in general and in voltinism in particular, specifically highlighting the importance of sustained temperature above minimum thresholds for development. These results could also help to make predictions about future changes in population sizes under climate change and increasing voltinism, in addition to how these changes may differ between species.

Abstract Image

Abstract Image

Abstract Image

在几何蛾中发现温度线索导致voltinism增加。
确定决定发育过程时间的环境线索对于了解气候变化对人口的影响至关重要。然而,由于在种群水平上直接测量发育过程本身是困难的,在大多数物种中,其时间变化的驱动因素和潜在后果仍然未知。在这里,我们探索使用长期监测数据来评估每年的代数变化及其对丰度的影响,展示了快速增长的数据源的新应用。从1968年至2023年在苏格兰中西部进行的56年的捕光器采集的数据显示,小型凤凰蛾(Ecliptopera silaceata)从单伏虫模式转变为双伏虫模式。在第一代飞行后期的一个关键时间窗口中,最低温度的增加预测了这种伏特性变化。种群表现出正的密度依赖性,而voltinism的变化对种群大小没有显著的负面影响,表明没有证据表明存在其他物种假设的发育陷阱。这些结果确定了一般情况下,特别是火山喷发对气候变化的发展反应的一些近似机制,特别强调了持续高于最低阈值的温度对发展的重要性。这些结果还有助于预测气候变化和不断增加的火山喷发作用下未来种群规模的变化,以及这些变化在物种之间的差异。
本文章由计算机程序翻译,如有差异,请以英文原文为准。
求助全文
约1分钟内获得全文 求助全文
来源期刊
Oecologia
Oecologia 环境科学-生态学
CiteScore
5.10
自引率
0.00%
发文量
192
审稿时长
5.3 months
期刊介绍: Oecologia publishes innovative ecological research of international interest. We seek reviews, advances in methodology, and original contributions, emphasizing the following areas: Population ecology, Plant-microbe-animal interactions, Ecosystem ecology, Community ecology, Global change ecology, Conservation ecology, Behavioral ecology and Physiological Ecology. In general, studies that are purely descriptive, mathematical, documentary, and/or natural history will not be considered.
×
引用
GB/T 7714-2015
复制
MLA
复制
APA
复制
导出至
BibTeX EndNote RefMan NoteFirst NoteExpress
×
提示
您的信息不完整,为了账户安全,请先补充。
现在去补充
×
提示
您因"违规操作"
具体请查看互助需知
我知道了
×
提示
确定
请完成安全验证×
copy
已复制链接
快去分享给好友吧!
我知道了
右上角分享
点击右上角分享
0
联系我们:info@booksci.cn Book学术提供免费学术资源搜索服务,方便国内外学者检索中英文文献。致力于提供最便捷和优质的服务体验。 Copyright © 2023 布克学术 All rights reserved.
京ICP备2023020795号-1
ghs 京公网安备 11010802042870号
Book学术文献互助
Book学术文献互助群
群 号:604180095
Book学术官方微信