Comparison of cuff inflation-deflation technique and conventional technique for nasotracheal intubation using C-Mac video laryngoscope: A prospective randomised controlled trial.

IF 1.1 Q3 PHARMACOLOGY & PHARMACY
Venkata P K Sangamala, Rashmi Syal, Rakesh Kumar, Pradeep Bhatia, Sadik Mohammed, Manoj Kamal
{"title":"Comparison of cuff inflation-deflation technique and conventional technique for nasotracheal intubation using C-Mac video laryngoscope: A prospective randomised controlled trial.","authors":"Venkata P K Sangamala, Rashmi Syal, Rakesh Kumar, Pradeep Bhatia, Sadik Mohammed, Manoj Kamal","doi":"10.4103/joacp.joacp_273_24","DOIUrl":null,"url":null,"abstract":"<p><strong>Background and aims: </strong>In traditional nasotracheal intubation (NTI), the tracheal tube is inserted through the nostril and manipulated in the pharynx to guide it into the trachea using additional maneuvers such as BURP (backward upward rightward pressure) maneuver, neck movement, tube rotation, the use of a bougie, or Magill's or Boedeker forceps under laryngoscopy guidance. These maneuvers often increase the time required for intubation, the risk of cuff rupture, and hemodynamic stress. The cuff inflation technique is an alternative NTI approach, where the cuff of the tube is inflated with air to help align with the tracheal opening.</p><p><strong>Material and methods: </strong>All surgical patients requiring NTI were randomly allocated into two groups (n = 53 each): Group C, using the conventional intubation technique, and Group I, using the cuff inflation-deflation technique. Intubation time, types of maneuvers, number of maneuvers, hemodynamic response, percentage of glottic opening (POGO) score, and complications were evaluated.</p><p><strong>Results: </strong>The cuff inflation technique required significantly less time for successful NTI compared to the conventional group (27.86 ± 4.47 s vs. 41.11 ± 10.98 s, respectively; <i>P</i> < 0.0001). Additionally, the number of accessory maneuvers required, hemodynamic stress responses, and complications were significantly reduced (<i>P</i> < 0.00277) with the cuff inflation technique compared to the conventional technique.</p><p><strong>Conclusions: </strong>The cuff inflation method requires significantly less time for NTI compared to the conventional method. Additionally, the cuff inflation method facilitates faster alignment with the glottis inlet, reduces hemodynamic responses, minimizes the need for maneuverability, and results in fewer complications.</p>","PeriodicalId":14946,"journal":{"name":"Journal of Anaesthesiology, Clinical Pharmacology","volume":"41 3","pages":"510-515"},"PeriodicalIF":1.1000,"publicationDate":"2025-07-01","publicationTypes":"Journal Article","fieldsOfStudy":null,"isOpenAccess":false,"openAccessPdf":"https://www.ncbi.nlm.nih.gov/pmc/articles/PMC12237172/pdf/","citationCount":"0","resultStr":null,"platform":"Semanticscholar","paperid":null,"PeriodicalName":"Journal of Anaesthesiology, Clinical Pharmacology","FirstCategoryId":"1085","ListUrlMain":"https://doi.org/10.4103/joacp.joacp_273_24","RegionNum":0,"RegionCategory":null,"ArticlePicture":[],"TitleCN":null,"AbstractTextCN":null,"PMCID":null,"EPubDate":"2025/4/10 0:00:00","PubModel":"Epub","JCR":"Q3","JCRName":"PHARMACOLOGY & PHARMACY","Score":null,"Total":0}
引用次数: 0

Abstract

Background and aims: In traditional nasotracheal intubation (NTI), the tracheal tube is inserted through the nostril and manipulated in the pharynx to guide it into the trachea using additional maneuvers such as BURP (backward upward rightward pressure) maneuver, neck movement, tube rotation, the use of a bougie, or Magill's or Boedeker forceps under laryngoscopy guidance. These maneuvers often increase the time required for intubation, the risk of cuff rupture, and hemodynamic stress. The cuff inflation technique is an alternative NTI approach, where the cuff of the tube is inflated with air to help align with the tracheal opening.

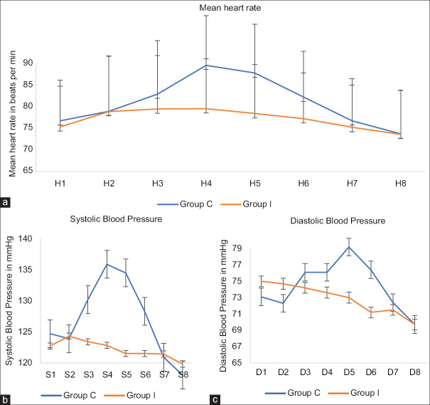
Material and methods: All surgical patients requiring NTI were randomly allocated into two groups (n = 53 each): Group C, using the conventional intubation technique, and Group I, using the cuff inflation-deflation technique. Intubation time, types of maneuvers, number of maneuvers, hemodynamic response, percentage of glottic opening (POGO) score, and complications were evaluated.

Results: The cuff inflation technique required significantly less time for successful NTI compared to the conventional group (27.86 ± 4.47 s vs. 41.11 ± 10.98 s, respectively; P < 0.0001). Additionally, the number of accessory maneuvers required, hemodynamic stress responses, and complications were significantly reduced (P < 0.00277) with the cuff inflation technique compared to the conventional technique.

Conclusions: The cuff inflation method requires significantly less time for NTI compared to the conventional method. Additionally, the cuff inflation method facilitates faster alignment with the glottis inlet, reduces hemodynamic responses, minimizes the need for maneuverability, and results in fewer complications.

Abstract Image

Abstract Image

Abstract Image

C-Mac视频喉镜下袖带充气-放气技术与常规鼻气管插管技术的比较:一项前瞻性随机对照试验。
背景和目的:在传统的鼻气管插管(NTI)中,气管管通过鼻孔插入,在咽部操作引导气管进入,使用额外的操作,如BURP(向后向上右压)操作,颈部运动,管旋转,使用大钳,或Magill's或Boedeker钳在喉镜指导下。这些操作通常会增加插管所需的时间、袖带破裂的风险和血流动力学压力。袖带充气技术是另一种NTI方法,其中管的袖带充气以帮助与气管开口对齐。材料和方法:所有需要NTI的手术患者随机分为两组(n = 53): C组采用常规插管技术,I组采用袖带充气-放气技术。评估插管时间、手法种类、手法次数、血流动力学反应、声门打开百分率(POGO)评分及并发症。结果:与常规组相比,袖带充气技术成功完成NTI所需的时间明显缩短(分别为27.86±4.47 s和41.11±10.98 s);P < 0.0001)。此外,与传统技术相比,袖带充气技术所需的辅助操作次数、血流动力学应激反应和并发症显著减少(P < 0.00277)。结论:与传统方法相比,袖带充气法所需的NTI时间明显缩短。此外,袖带充气法有助于更快地对准声门入口,减少血流动力学反应,最大限度地减少对可操作性的需求,并减少并发症。
本文章由计算机程序翻译,如有差异,请以英文原文为准。
求助全文
约1分钟内获得全文 求助全文
来源期刊
CiteScore
1.90
自引率
6.70%
发文量
129
期刊介绍: The JOACP publishes original peer-reviewed research and clinical work in all branches of anaesthesiology, pain, critical care and perioperative medicine including the application to basic sciences. In addition, the journal publishes review articles, special articles, brief communications/reports, case reports, and reports of new equipment, letters to editor, book reviews and obituaries. It is international in scope and comprehensive in coverage.
×
引用
GB/T 7714-2015
复制
MLA
复制
APA
复制
导出至
BibTeX EndNote RefMan NoteFirst NoteExpress
×
提示
您的信息不完整,为了账户安全,请先补充。
现在去补充
×
提示
您因"违规操作"
具体请查看互助需知
我知道了
×
提示
确定
请完成安全验证×
copy
已复制链接
快去分享给好友吧!
我知道了
右上角分享
点击右上角分享
0
联系我们:info@booksci.cn Book学术提供免费学术资源搜索服务,方便国内外学者检索中英文文献。致力于提供最便捷和优质的服务体验。 Copyright © 2023 布克学术 All rights reserved.
京ICP备2023020795号-1
ghs 京公网安备 11010802042870号
Book学术文献互助
Book学术文献互助群
群 号:604180095
Book学术官方微信