Development of a deep learning-based MRI diagnostic model for human Brucella spondylitis.

IF 2.9 4区 医学 Q3 ENGINEERING, BIOMEDICAL
Binyang Wang, Jinquan Wei, Zhijun Wang, Pengying Niu, Lvlin Yang, Yanmei Hu, Dan Shao, Wei Zhao
{"title":"Development of a deep learning-based MRI diagnostic model for human Brucella spondylitis.","authors":"Binyang Wang, Jinquan Wei, Zhijun Wang, Pengying Niu, Lvlin Yang, Yanmei Hu, Dan Shao, Wei Zhao","doi":"10.1186/s12938-025-01404-6","DOIUrl":null,"url":null,"abstract":"<p><strong>Introduction: </strong>Brucella spondylitis (BS) and tuberculous spondylitis (TS) are prevalent spinal infections with distinct treatment protocols. Rapid and accurate differentiation between these two conditions is crucial for effective clinical management; however, current imaging and pathogen-based diagnostic methods fall short of fully meeting clinical requirements. This study explores the feasibility of employing deep learning (DL) models based on conventional magnetic resonance imaging (MRI) to differentiate BS and TS.</p><p><strong>Methods: </strong>A total of 310 subjects were enrolled in our hospital, comprising 209 with BS, 101 with TS. The participants were randomly divided into a training set (n = 217) and a test set (n = 93). And 74 with other hospital was external validation set. Integrating Convolutional Block Attention Module (CBAM) into the ResNeXt-50 architecture and training the model using sagittal T2-weighted images (T2WI). Classification performance was evaluated using the area under the receiver operating characteristic (AUC) curve, and diagnostic accuracy was compared against general models such as ResNet50, GoogleNet, EfficientNetV2, and VGG16.</p><p><strong>Results: </strong>The CBAM-ResNeXt model revealed superior performance, with accuracy, precision, recall, F1-score, and AUC from 0.942, 0.940, 0.928, 0.934, 0.953, respectively. These metrics outperformed those of the general models.</p><p><strong>Conclusions: </strong>The proposed model offers promising potential for the diagnosis of BS and TS using conventional MRI. It could serve as an invaluable tool in clinical practice, providing a reliable reference for distinguishing between these two diseases.</p>","PeriodicalId":8927,"journal":{"name":"BioMedical Engineering OnLine","volume":"24 1","pages":"87"},"PeriodicalIF":2.9000,"publicationDate":"2025-07-09","publicationTypes":"Journal Article","fieldsOfStudy":null,"isOpenAccess":false,"openAccessPdf":"https://www.ncbi.nlm.nih.gov/pmc/articles/PMC12239351/pdf/","citationCount":"0","resultStr":null,"platform":"Semanticscholar","paperid":null,"PeriodicalName":"BioMedical Engineering OnLine","FirstCategoryId":"5","ListUrlMain":"https://doi.org/10.1186/s12938-025-01404-6","RegionNum":4,"RegionCategory":"医学","ArticlePicture":[],"TitleCN":null,"AbstractTextCN":null,"PMCID":null,"EPubDate":"","PubModel":"","JCR":"Q3","JCRName":"ENGINEERING, BIOMEDICAL","Score":null,"Total":0}
引用次数: 0

Abstract

Introduction: Brucella spondylitis (BS) and tuberculous spondylitis (TS) are prevalent spinal infections with distinct treatment protocols. Rapid and accurate differentiation between these two conditions is crucial for effective clinical management; however, current imaging and pathogen-based diagnostic methods fall short of fully meeting clinical requirements. This study explores the feasibility of employing deep learning (DL) models based on conventional magnetic resonance imaging (MRI) to differentiate BS and TS.

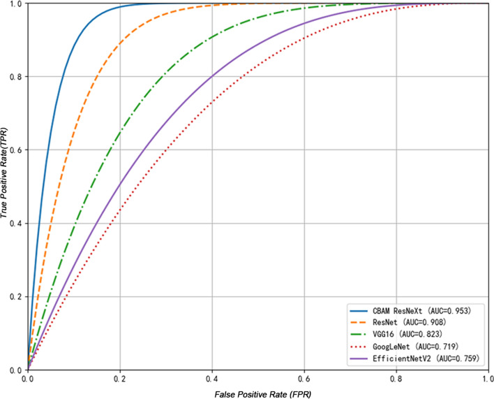
Methods: A total of 310 subjects were enrolled in our hospital, comprising 209 with BS, 101 with TS. The participants were randomly divided into a training set (n = 217) and a test set (n = 93). And 74 with other hospital was external validation set. Integrating Convolutional Block Attention Module (CBAM) into the ResNeXt-50 architecture and training the model using sagittal T2-weighted images (T2WI). Classification performance was evaluated using the area under the receiver operating characteristic (AUC) curve, and diagnostic accuracy was compared against general models such as ResNet50, GoogleNet, EfficientNetV2, and VGG16.

Results: The CBAM-ResNeXt model revealed superior performance, with accuracy, precision, recall, F1-score, and AUC from 0.942, 0.940, 0.928, 0.934, 0.953, respectively. These metrics outperformed those of the general models.

Conclusions: The proposed model offers promising potential for the diagnosis of BS and TS using conventional MRI. It could serve as an invaluable tool in clinical practice, providing a reliable reference for distinguishing between these two diseases.

Abstract Image

Abstract Image

Abstract Image

基于深度学习的人类布鲁氏菌脊柱炎MRI诊断模型的开发。
布鲁氏菌脊柱炎(BS)和结核性脊柱炎(TS)是常见的脊柱感染,有不同的治疗方案。快速准确地区分这两种疾病对于有效的临床管理至关重要;然而,目前的影像学和基于病原体的诊断方法还不能完全满足临床需求。本研究探讨基于常规磁共振成像(MRI)的深度学习(DL)模型鉴别BS与TS的可行性。方法:我院共纳入310例受试者,其中BS患者209例,TS患者101例,随机分为训练组(n = 217)和测试组(n = 93)。与其他医院74例为外部验证组。将卷积块注意模块(CBAM)集成到ResNeXt-50架构中,并使用矢状t2加权图像(T2WI)训练模型。使用受试者工作特征(AUC)曲线下的面积评估分类性能,并与ResNet50、GoogleNet、EfficientNetV2和VGG16等通用模型进行诊断准确性比较。结果:cam - resnext模型的准确率、精密度、召回率、f1得分和AUC分别为0.942、0.940、0.928、0.934、0.953。这些指标优于一般模型。结论:该模型为常规MRI诊断BS和TS提供了良好的应用前景。它可以作为临床实践中宝贵的工具,为区分这两种疾病提供可靠的参考。
本文章由计算机程序翻译,如有差异,请以英文原文为准。
求助全文
约1分钟内获得全文 求助全文
来源期刊
BioMedical Engineering OnLine
BioMedical Engineering OnLine 工程技术-工程:生物医学
CiteScore
6.70
自引率
2.60%
发文量
79
审稿时长
1 months
期刊介绍: BioMedical Engineering OnLine is an open access, peer-reviewed journal that is dedicated to publishing research in all areas of biomedical engineering. BioMedical Engineering OnLine is aimed at readers and authors throughout the world, with an interest in using tools of the physical and data sciences and techniques in engineering to understand and solve problems in the biological and medical sciences. Topical areas include, but are not limited to: Bioinformatics- Bioinstrumentation- Biomechanics- Biomedical Devices & Instrumentation- Biomedical Signal Processing- Healthcare Information Systems- Human Dynamics- Neural Engineering- Rehabilitation Engineering- Biomaterials- Biomedical Imaging & Image Processing- BioMEMS and On-Chip Devices- Bio-Micro/Nano Technologies- Biomolecular Engineering- Biosensors- Cardiovascular Systems Engineering- Cellular Engineering- Clinical Engineering- Computational Biology- Drug Delivery Technologies- Modeling Methodologies- Nanomaterials and Nanotechnology in Biomedicine- Respiratory Systems Engineering- Robotics in Medicine- Systems and Synthetic Biology- Systems Biology- Telemedicine/Smartphone Applications in Medicine- Therapeutic Systems, Devices and Technologies- Tissue Engineering
×
引用
GB/T 7714-2015
复制
MLA
复制
APA
复制
导出至
BibTeX EndNote RefMan NoteFirst NoteExpress
×
提示
您的信息不完整,为了账户安全,请先补充。
现在去补充
×
提示
您因"违规操作"
具体请查看互助需知
我知道了
×
提示
确定
请完成安全验证×
copy
已复制链接
快去分享给好友吧!
我知道了
右上角分享
点击右上角分享
0
联系我们:info@booksci.cn Book学术提供免费学术资源搜索服务,方便国内外学者检索中英文文献。致力于提供最便捷和优质的服务体验。 Copyright © 2023 布克学术 All rights reserved.
京ICP备2023020795号-1
ghs 京公网安备 11010802042870号
Book学术文献互助
Book学术文献互助群
群 号:604180095
Book学术官方微信