Anti-PF4/ Heparin Antibodies Early Seroconversion in Hip Fracture Patients Receiving Low Molecular Weight Heparin Prophylaxis: a Pilot Study of 100 Consecutive Patients.

IF 1.8 Q3 ORTHOPEDICS
Markos Psifis, Christos Koutserimpas, Ioannis Stavrakakis, Chrysostomos Tsatsoulas, Vasiliki Danilatou, Kalliopi Alpantaki
{"title":"Anti-PF4/ Heparin Antibodies Early Seroconversion in Hip Fracture Patients Receiving Low Molecular Weight Heparin Prophylaxis: a Pilot Study of 100 Consecutive Patients.","authors":"Markos Psifis, Christos Koutserimpas, Ioannis Stavrakakis, Chrysostomos Tsatsoulas, Vasiliki Danilatou, Kalliopi Alpantaki","doi":"10.22038/ABJS.2025.80206.3661","DOIUrl":null,"url":null,"abstract":"<p><strong>Objectives: </strong>Heparin-induced thrombocytopenia (HIT) represents a serious adverse reaction triggered by antibodies (anti-PF4/H) in heparin regimens. It is not clear if different low-molecular weight heparins (LMWHs) prompt distinct immunogenic responses in anti-PF4/H production and if these antibodies correlate with thrombocytopenia, thrombotic events, and early postoperative mortality. This pilot prospective study investigates the early output of anti-PF4/ H in elderly patients undergoing proximal femoral nailing for an intertrochanteric hip fracture surgery.</p><p><strong>Methods: </strong>A total of 100 consecutive patients (72 females) with surgically treated intertrochanteric hip fractures were prospectively included. Ninety-four patients were available for the final follow-up. Twenty-seven patients received bemiparin, 42 enoxaparin and 25 tinzaparin. The levels of anti-PF4/H using the semi-quantitative latex-enhanced immunoassay; HemosIL® HIT-Ab(PF4-H) and platelets (PLT) levels were measured on the admission day and on day 5 following LMWH administration. Patients were followed up for at least 3 months for major thrombotic events and all-cause mortality.</p><p><strong>Results: </strong>No patient developed clinically evident HIT, while 6 (6.4%) experienced thrombotic complications, and 22 (23.4%) passed away within 3 months after surgery. None of the patients with thrombotic complications tested positive for anti-PF4/H. Upon evaluating patients' seroconversion by day 5, six out of 94 (6.4%) patients tested positive for anti-PF4/H. Among them, three patients received bemiparin, two tinzaparin, and one enoxaparin. No statistically significant variance was observed in anti-PF4/H seroconversion between different types of LMWHs (p-value = 0.545) or in PLT count deviations (p-value = 0.990).</p><p><strong>Conclusion: </strong>This pilot prospective study investigated anti-PF4/H production in older patients with hip fractures receiving different LMWHs. Preliminary results suggest that all tested anticoagulants have similar immunogenicity profiles in terms of PF4/H sensitization. These findings highlight the overall safety of LMWHs in elderly hip fracture patients. Moreover, the presence of anti-PF4/H appears unrelated to PLT fluctuations, subsequent VTE events and early postoperative mortality.</p>","PeriodicalId":46704,"journal":{"name":"Archives of Bone and Joint Surgery-ABJS","volume":"13 5","pages":"291-298"},"PeriodicalIF":1.8000,"publicationDate":"2025-01-01","publicationTypes":"Journal Article","fieldsOfStudy":null,"isOpenAccess":false,"openAccessPdf":"https://www.ncbi.nlm.nih.gov/pmc/articles/PMC12232573/pdf/","citationCount":"0","resultStr":null,"platform":"Semanticscholar","paperid":null,"PeriodicalName":"Archives of Bone and Joint Surgery-ABJS","FirstCategoryId":"1085","ListUrlMain":"https://doi.org/10.22038/ABJS.2025.80206.3661","RegionNum":0,"RegionCategory":null,"ArticlePicture":[],"TitleCN":null,"AbstractTextCN":null,"PMCID":null,"EPubDate":"","PubModel":"","JCR":"Q3","JCRName":"ORTHOPEDICS","Score":null,"Total":0}
引用次数: 0

Abstract

Objectives: Heparin-induced thrombocytopenia (HIT) represents a serious adverse reaction triggered by antibodies (anti-PF4/H) in heparin regimens. It is not clear if different low-molecular weight heparins (LMWHs) prompt distinct immunogenic responses in anti-PF4/H production and if these antibodies correlate with thrombocytopenia, thrombotic events, and early postoperative mortality. This pilot prospective study investigates the early output of anti-PF4/ H in elderly patients undergoing proximal femoral nailing for an intertrochanteric hip fracture surgery.

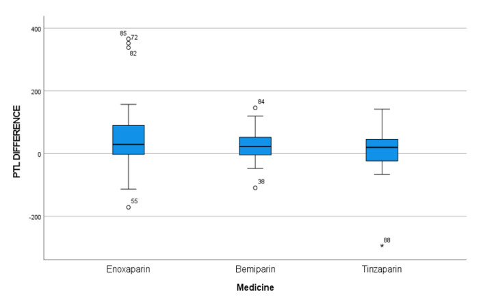
Methods: A total of 100 consecutive patients (72 females) with surgically treated intertrochanteric hip fractures were prospectively included. Ninety-four patients were available for the final follow-up. Twenty-seven patients received bemiparin, 42 enoxaparin and 25 tinzaparin. The levels of anti-PF4/H using the semi-quantitative latex-enhanced immunoassay; HemosIL® HIT-Ab(PF4-H) and platelets (PLT) levels were measured on the admission day and on day 5 following LMWH administration. Patients were followed up for at least 3 months for major thrombotic events and all-cause mortality.

Results: No patient developed clinically evident HIT, while 6 (6.4%) experienced thrombotic complications, and 22 (23.4%) passed away within 3 months after surgery. None of the patients with thrombotic complications tested positive for anti-PF4/H. Upon evaluating patients' seroconversion by day 5, six out of 94 (6.4%) patients tested positive for anti-PF4/H. Among them, three patients received bemiparin, two tinzaparin, and one enoxaparin. No statistically significant variance was observed in anti-PF4/H seroconversion between different types of LMWHs (p-value = 0.545) or in PLT count deviations (p-value = 0.990).

Conclusion: This pilot prospective study investigated anti-PF4/H production in older patients with hip fractures receiving different LMWHs. Preliminary results suggest that all tested anticoagulants have similar immunogenicity profiles in terms of PF4/H sensitization. These findings highlight the overall safety of LMWHs in elderly hip fracture patients. Moreover, the presence of anti-PF4/H appears unrelated to PLT fluctuations, subsequent VTE events and early postoperative mortality.

Abstract Image

Abstract Image

Abstract Image

抗pf4 /肝素抗体在髋部骨折患者接受低分子肝素预防的早期血清转化:一项连续100例患者的试点研究
目的:肝素诱导的血小板减少症(HIT)是肝素治疗方案中由抗体(抗pf4 /H)引发的严重不良反应。目前尚不清楚不同的低分子量肝素(LMWHs)是否在抗pf4 /H产生中引起不同的免疫原性反应,以及这些抗体是否与血小板减少症、血栓形成事件和术后早期死亡率相关。本前瞻性研究探讨了老年患者股骨近端髓内钉行股骨粗隆间骨折手术后抗pf4 / H的早期输出。方法:前瞻性纳入100例连续手术治疗的股骨粗隆间骨折患者(72例女性)。94名患者可进行最后的随访。27例患者接受了贝米肝素治疗,42例接受了依诺肝素治疗,25例接受了丁沙肝素治疗。半定量乳胶增强免疫法测定抗pf4 /H水平;在入院当天和给予低分子肝素后第5天测量hemsil®HIT-Ab(PF4-H)和血小板(PLT)水平。对患者进行了至少3个月的主要血栓事件和全因死亡率随访。结果:无患者发生临床明显的HIT, 6例(6.4%)发生血栓性并发症,22例(23.4%)术后3个月内死亡。有血栓并发症的患者均未检测出抗pf4 /H阳性。在评估患者第5天的血清转化时,94名患者中有6名(6.4%)检测出抗pf4 /H阳性。其中,3例患者接受了贝米帕林治疗,2例接受了丁沙巴林治疗,1例接受了依诺肝素治疗。不同类型LMWHs之间抗pf4 /H血清转化(p值= 0.545)和PLT计数偏差(p值= 0.990)差异无统计学意义。结论:这项前瞻性研究调查了接受不同lmwh治疗的老年髋部骨折患者抗pf4 /H的产生。初步结果表明,所有测试的抗凝剂在PF4/H致敏方面具有相似的免疫原性。这些发现强调了LMWHs在老年髋部骨折患者中的总体安全性。此外,抗pf4 /H的存在似乎与PLT波动、随后的静脉血栓栓塞事件和术后早期死亡率无关。
本文章由计算机程序翻译,如有差异,请以英文原文为准。
求助全文
约1分钟内获得全文 求助全文
来源期刊
CiteScore
2.30
自引率
0.00%
发文量
128
期刊介绍: The Archives of Bone and Joint Surgery (ABJS) aims to encourage a better understanding of all aspects of Orthopedic Sciences. The journal accepts scientific papers including original research, review article, short communication, case report, and letter to the editor in all fields of bone, joint, musculoskeletal surgery and related researches. The Archives of Bone and Joint Surgery (ABJS) will publish papers in all aspects of today`s modern orthopedic sciences including: Arthroscopy, Arthroplasty, Sport Medicine, Reconstruction, Hand and Upper Extremity, Pediatric Orthopedics, Spine, Trauma, Foot and Ankle, Tumor, Joint Rheumatic Disease, Skeletal Imaging, Orthopedic Physical Therapy, Rehabilitation, Orthopedic Basic Sciences (Biomechanics, Biotechnology, Biomaterial..).
×
引用
GB/T 7714-2015
复制
MLA
复制
APA
复制
导出至
BibTeX EndNote RefMan NoteFirst NoteExpress
×
提示
您的信息不完整,为了账户安全,请先补充。
现在去补充
×
提示
您因"违规操作"
具体请查看互助需知
我知道了
×
提示
确定
请完成安全验证×
copy
已复制链接
快去分享给好友吧!
我知道了
右上角分享
点击右上角分享
0
联系我们:info@booksci.cn Book学术提供免费学术资源搜索服务,方便国内外学者检索中英文文献。致力于提供最便捷和优质的服务体验。 Copyright © 2023 布克学术 All rights reserved.
京ICP备2023020795号-1
ghs 京公网安备 11010802042870号
Book学术文献互助
Book学术文献互助群
群 号:604180095
Book学术官方微信