Immune modulating effects of continuous bioaerosol and terpene exposure over three years among sawmill workers in Norway.

IF 4.3 2区 医学 Q1 PUBLIC, ENVIRONMENTAL & OCCUPATIONAL HEALTH
Anne Straumfors, Fred Haugen, Øivind Skare, Wijnand Eduard, Paul K Henneberger, Jeroen Douwes, Bente Ulvestad, Karl-Christian Nordby
{"title":"Immune modulating effects of continuous bioaerosol and terpene exposure over three years among sawmill workers in Norway.","authors":"Anne Straumfors, Fred Haugen, Øivind Skare, Wijnand Eduard, Paul K Henneberger, Jeroen Douwes, Bente Ulvestad, Karl-Christian Nordby","doi":"10.5271/sjweh.4240","DOIUrl":null,"url":null,"abstract":"<p><strong>Objectives: </strong>Exposure to wood dust, resin acids, microbial and volatile components among sawmill workers may impair respiratory health, with inflammation indicated as a key mechanism. Previous, mostly cross-sectional studies have shown mixed results, and a conclusive association between wood dust exposure and chronic respiratory inflammation has therefore not yet been established. This study assessed associations between exposure to bioaerosols and volatile terpenes and serum inflammatory marker levels over three years.</p><p><strong>Methods: </strong>Serum biomarkers and blood cell counts were analyzed based on 702 observations from 450 exposed sawmill workers and 102 observations from 65 unexposed sawmill workers in Norway at baseline and after three years. Job-exposure-matrices, based on measurements among the same cohort, were used to assess exposures for wood dust, endotoxins, resin acid, monoterpenes, fungal spores, and fungal fragments. Changes in exposures, biomarkers and cell counts over the study period, as well as group differences and potential cause-and-effect associations were assessed using linear mixed regression.</p><p><strong>Results: </strong>Exposures were relatively low and below occupational limits, although variances were relatively high (GSD<sub>tot</sub> 2.1-8.3), largely driven by differences between workers (GSD<sub>bw</sub> 1.9-7.8). Serum CC-16 and mCRP were slightly higher after three years, whereas IL-1β, TNF-α and IL-10 levels were significantly lower among exposed compared with unexposed workers. Exposures positively associated with increases in biomarker levels included endotoxin with mCRP, monoterpenes with IL-10, and fungal spores with TNF-α and IL-8. Exposed workers had higher counts of total leucocytes, neutrophils, lymphocytes and basophils after three years. Several of the increased leucocyte counts were associated with concurrent increase in mCRP and IL-6 concentrations, predominantly in the exposed group. Conversely, increased CC-16 levels were associated with lower leucocyte and neutrophil counts, mainly in the unexposed group.</p><p><strong>Conclusion: </strong>Continuous exposure to wood dust and related components for three years appears to induce a chronic low-grade inflammatory response among sawmill workers with a shift in cytokine profiles towards a less regulated, potentially more muted immune state.</p>","PeriodicalId":21528,"journal":{"name":"Scandinavian journal of work, environment & health","volume":" ","pages":"433-443"},"PeriodicalIF":4.3000,"publicationDate":"2025-09-01","publicationTypes":"Journal Article","fieldsOfStudy":null,"isOpenAccess":false,"openAccessPdf":"https://www.ncbi.nlm.nih.gov/pmc/articles/PMC12415592/pdf/","citationCount":"0","resultStr":null,"platform":"Semanticscholar","paperid":null,"PeriodicalName":"Scandinavian journal of work, environment & health","FirstCategoryId":"3","ListUrlMain":"https://doi.org/10.5271/sjweh.4240","RegionNum":2,"RegionCategory":"医学","ArticlePicture":[],"TitleCN":null,"AbstractTextCN":null,"PMCID":null,"EPubDate":"2025/7/8 0:00:00","PubModel":"Epub","JCR":"Q1","JCRName":"PUBLIC, ENVIRONMENTAL & OCCUPATIONAL HEALTH","Score":null,"Total":0}
引用次数: 0

Abstract

Objectives: Exposure to wood dust, resin acids, microbial and volatile components among sawmill workers may impair respiratory health, with inflammation indicated as a key mechanism. Previous, mostly cross-sectional studies have shown mixed results, and a conclusive association between wood dust exposure and chronic respiratory inflammation has therefore not yet been established. This study assessed associations between exposure to bioaerosols and volatile terpenes and serum inflammatory marker levels over three years.

Methods: Serum biomarkers and blood cell counts were analyzed based on 702 observations from 450 exposed sawmill workers and 102 observations from 65 unexposed sawmill workers in Norway at baseline and after three years. Job-exposure-matrices, based on measurements among the same cohort, were used to assess exposures for wood dust, endotoxins, resin acid, monoterpenes, fungal spores, and fungal fragments. Changes in exposures, biomarkers and cell counts over the study period, as well as group differences and potential cause-and-effect associations were assessed using linear mixed regression.

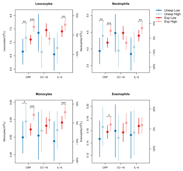
Results: Exposures were relatively low and below occupational limits, although variances were relatively high (GSDtot 2.1-8.3), largely driven by differences between workers (GSDbw 1.9-7.8). Serum CC-16 and mCRP were slightly higher after three years, whereas IL-1β, TNF-α and IL-10 levels were significantly lower among exposed compared with unexposed workers. Exposures positively associated with increases in biomarker levels included endotoxin with mCRP, monoterpenes with IL-10, and fungal spores with TNF-α and IL-8. Exposed workers had higher counts of total leucocytes, neutrophils, lymphocytes and basophils after three years. Several of the increased leucocyte counts were associated with concurrent increase in mCRP and IL-6 concentrations, predominantly in the exposed group. Conversely, increased CC-16 levels were associated with lower leucocyte and neutrophil counts, mainly in the unexposed group.

Conclusion: Continuous exposure to wood dust and related components for three years appears to induce a chronic low-grade inflammatory response among sawmill workers with a shift in cytokine profiles towards a less regulated, potentially more muted immune state.

Abstract Image

挪威锯木厂工人连续三年接触生物气溶胶和萜烯的免疫调节作用。
目的:在锯木厂工人中,暴露于木屑、树脂酸、微生物和挥发性成分可能会损害呼吸道健康,炎症被认为是一个关键机制。以前的研究大多是横断面研究,结果好坏参半,因此木屑暴露与慢性呼吸道炎症之间的结论性联系尚未建立。这项研究评估了三年内暴露于生物气溶胶和挥发性萜烯与血清炎症标志物水平之间的关系。方法:在基线和三年后,分析了挪威450名暴露的锯木厂工人的702项观察结果和65名未暴露的锯木厂工人的102项观察结果的血清生物标志物和血细胞计数。基于同一队列测量的工作暴露矩阵用于评估木屑、内毒素、树脂酸、单萜烯、真菌孢子和真菌碎片的暴露。使用线性混合回归评估了研究期间暴露、生物标志物和细胞计数的变化,以及组间差异和潜在的因果关系。结果:暴露相对较低且低于职业限值,尽管差异相对较高(gsddbw 2.1-8.3),主要是由工人之间的差异(gsddbw 1.9-7.8)驱动的。三年后,暴露工人的血清CC-16和mCRP水平略高,而IL-1β、TNF-α和IL-10水平明显低于未暴露工人。与生物标志物水平升高正相关的暴露包括内毒素(含mCRP)、单萜烯(含IL-10)和真菌孢子(含TNF-α和IL-8)。三年后,暴露的工人白细胞、中性粒细胞、淋巴细胞和嗜碱性粒细胞总数较高。一些白细胞计数的增加与mCRP和IL-6浓度的同时增加有关,主要发生在暴露组。相反,增加的CC-16水平与较低的白细胞和中性粒细胞计数有关,主要是在未暴露组。结论:连续三年暴露于木屑和相关成分中,似乎会在锯木厂工人中诱发慢性低度炎症反应,并使细胞因子谱向调节较少、可能更弱的免疫状态转变。
本文章由计算机程序翻译,如有差异,请以英文原文为准。
求助全文
约1分钟内获得全文 求助全文
来源期刊
Scandinavian journal of work, environment & health
Scandinavian journal of work, environment & health 医学-公共卫生、环境卫生与职业卫生
CiteScore
8.20
自引率
9.50%
发文量
65
审稿时长
>12 weeks
期刊介绍: The aim of the Journal is to promote research in the fields of occupational and environmental health and safety and to increase knowledge through the publication of original research articles, systematic reviews, and other information of high interest. Areas of interest include occupational and environmental epidemiology, occupational and environmental medicine, psychosocial factors at work, physical work load, physical activity work-related mental and musculoskeletal problems, aging, work ability and return to work, working hours and health, occupational hygiene and toxicology, work safety and injury epidemiology as well as occupational health services. In addition to observational studies, quasi-experimental and intervention studies are welcome as well as methodological papers, occupational cohort profiles, and studies associated with economic evaluation. The Journal also publishes short communications, case reports, commentaries, discussion papers, clinical questions, consensus reports, meeting reports, other reports, book reviews, news, and announcements (jobs, courses, events etc).
×
引用
GB/T 7714-2015
复制
MLA
复制
APA
复制
导出至
BibTeX EndNote RefMan NoteFirst NoteExpress
×
提示
您的信息不完整,为了账户安全,请先补充。
现在去补充
×
提示
您因"违规操作"
具体请查看互助需知
我知道了
×
提示
确定
请完成安全验证×
copy
已复制链接
快去分享给好友吧!
我知道了
右上角分享
点击右上角分享
0
联系我们:info@booksci.cn Book学术提供免费学术资源搜索服务,方便国内外学者检索中英文文献。致力于提供最便捷和优质的服务体验。 Copyright © 2023 布克学术 All rights reserved.
京ICP备2023020795号-1
ghs 京公网安备 11010802042870号
Book学术文献互助
Book学术文献互助群
群 号:604180095
Book学术官方微信