Employing Spectral Features to Accelerate Sorghum Phenotyping Against Sap-Feeding Aphids.

IF 2.3 3区 生物学 Q2 PLANT SCIENCES
Plant Direct Pub Date : 2025-07-08 eCollection Date: 2025-07-01 DOI:10.1002/pld3.70092
Kumar Shrestha, Kantilata Thapa, Esha Kaler, Misaki Taniguchi, Scott E Sattler, James C Schnable, Joe Louis
{"title":"Employing Spectral Features to Accelerate Sorghum Phenotyping Against Sap-Feeding Aphids.","authors":"Kumar Shrestha, Kantilata Thapa, Esha Kaler, Misaki Taniguchi, Scott E Sattler, James C Schnable, Joe Louis","doi":"10.1002/pld3.70092","DOIUrl":null,"url":null,"abstract":"<p><p>Current efforts to detect and evaluate crop resistance to insect pests are limited by traditional phenotyping methods, which are time-consuming and highly variable. Sugarcane aphid (SCA; <i>Melanaphis sacchari</i>) is a major pest of sorghum in North America that has emerged over the last decade and negatively impacts plant growth and development. The spectral reflectance data in visible, near infrared and shortwave infrared range (VIS-NIR-SWIR; 400-2500 nm) have been used to measure plant traits related to stress responses, nutrient dynamics, and physiological status. We examined the potential of spectral features (VIS-NIR-SWIR) to improve the current phenotyping methods in monitoring sorghum resistance mechanisms to SCA. We used eight sorghum lines that displayed varied levels of resistance to SCA and collected data from control and aphid-infested plants. Spectral feature data were collected using a leaf spectrometer, while plant physiological and chlorophyll fluorescence parameters were measured with LICOR and MultispeQ devices. The random forest classifier model differentiated the control and aphid-infested plants with a high accuracy of 87.4% with important spectral features in the VIS-NIR spectral range, particularly from 508 to 573 nm and 715 to 728 nm. The spectral indices exhibit significant difference in Greenness Index and Plant Senescence Reflectance Index in aphid-infested susceptible lines (BTx623, SC1345) compared with control plants. In addition, plant physiological parameters, such as stomatal conductance and chlorophyll fluorescence, showed significantly higher value for aphid-infested resistant line (Tx2783) compared with susceptible line (BTx623) in both treatments. Further, a partial least square regression model demonstrated medium predictive capability for plant physiological parameters related to fluorescence. In summary, spectral features at VIS-NIR range demonstrated promising results in differentiating aphid-infested sorghum plants. This is a proof-of-concept study on potential of spectral sensing to develop an effective monitoring and phenotyping plant resistance to aphids.</p>","PeriodicalId":20230,"journal":{"name":"Plant Direct","volume":"9 7","pages":"e70092"},"PeriodicalIF":2.3000,"publicationDate":"2025-07-08","publicationTypes":"Journal Article","fieldsOfStudy":null,"isOpenAccess":false,"openAccessPdf":"https://www.ncbi.nlm.nih.gov/pmc/articles/PMC12235574/pdf/","citationCount":"0","resultStr":null,"platform":"Semanticscholar","paperid":null,"PeriodicalName":"Plant Direct","FirstCategoryId":"99","ListUrlMain":"https://doi.org/10.1002/pld3.70092","RegionNum":3,"RegionCategory":"生物学","ArticlePicture":[],"TitleCN":null,"AbstractTextCN":null,"PMCID":null,"EPubDate":"2025/7/1 0:00:00","PubModel":"eCollection","JCR":"Q2","JCRName":"PLANT SCIENCES","Score":null,"Total":0}
引用次数: 0

Abstract

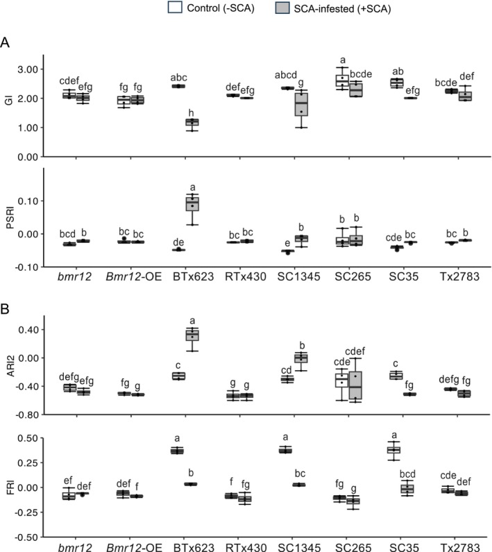
Current efforts to detect and evaluate crop resistance to insect pests are limited by traditional phenotyping methods, which are time-consuming and highly variable. Sugarcane aphid (SCA; Melanaphis sacchari) is a major pest of sorghum in North America that has emerged over the last decade and negatively impacts plant growth and development. The spectral reflectance data in visible, near infrared and shortwave infrared range (VIS-NIR-SWIR; 400-2500 nm) have been used to measure plant traits related to stress responses, nutrient dynamics, and physiological status. We examined the potential of spectral features (VIS-NIR-SWIR) to improve the current phenotyping methods in monitoring sorghum resistance mechanisms to SCA. We used eight sorghum lines that displayed varied levels of resistance to SCA and collected data from control and aphid-infested plants. Spectral feature data were collected using a leaf spectrometer, while plant physiological and chlorophyll fluorescence parameters were measured with LICOR and MultispeQ devices. The random forest classifier model differentiated the control and aphid-infested plants with a high accuracy of 87.4% with important spectral features in the VIS-NIR spectral range, particularly from 508 to 573 nm and 715 to 728 nm. The spectral indices exhibit significant difference in Greenness Index and Plant Senescence Reflectance Index in aphid-infested susceptible lines (BTx623, SC1345) compared with control plants. In addition, plant physiological parameters, such as stomatal conductance and chlorophyll fluorescence, showed significantly higher value for aphid-infested resistant line (Tx2783) compared with susceptible line (BTx623) in both treatments. Further, a partial least square regression model demonstrated medium predictive capability for plant physiological parameters related to fluorescence. In summary, spectral features at VIS-NIR range demonstrated promising results in differentiating aphid-infested sorghum plants. This is a proof-of-concept study on potential of spectral sensing to develop an effective monitoring and phenotyping plant resistance to aphids.

Abstract Image

Abstract Image

Abstract Image

利用光谱特征加速高粱对取食汁液蚜虫的表型分析。
目前检测和评估作物抗虫性的努力受到传统表型方法的限制,这些方法耗时且高度可变。甘蔗蚜虫;糖色黑蚜(Melanaphis sacchari)是北美高粱的主要害虫,在过去十年中出现,对植物的生长发育产生负面影响。可见光、近红外和短波红外波段的光谱反射率数据(VIS-NIR-SWIR;400-2500 nm)用于测量植物的胁迫响应、营养动态和生理状态等相关性状。我们研究了光谱特征(VIS-NIR-SWIR)在监测高粱抗SCA机制方面改进现有表型分析方法的潜力。我们使用了8个对SCA表现出不同程度抗性的高粱品系,并收集了对照和蚜虫侵染植株的数据。利用叶片光谱仪采集光谱特征数据,利用LICOR和MultispeQ装置测量植物生理和叶绿素荧光参数。随机森林分类器模型在VIS-NIR光谱范围内,特别是在508 ~ 573 nm和715 ~ 728 nm范围内具有重要的光谱特征,区分对照和蚜虫侵染植物的准确率高达87.4%。蚜虫易感品系(BTx623、SC1345)的绿度指数和植株衰老反射率指数与对照比较,光谱指标存在显著差异。两种处理下,抗蚜品系(Tx2783)的气孔导度、叶绿素荧光等植物生理指标均显著高于感蚜品系(BTx623)。此外,偏最小二乘回归模型对荧光相关的植物生理参数具有中等预测能力。综上所述,在近红外光谱范围内的光谱特征在鉴别蚜虫侵染的高粱植株方面显示了有希望的结果。这是一项关于光谱传感潜力的概念验证研究,以开发有效的监测和表型植物对蚜虫的抗性。
本文章由计算机程序翻译,如有差异,请以英文原文为准。
求助全文
约1分钟内获得全文 求助全文
来源期刊
Plant Direct
Plant Direct Environmental Science-Ecology
CiteScore
5.00
自引率
3.30%
发文量
101
审稿时长
14 weeks
期刊介绍: Plant Direct is a monthly, sound science journal for the plant sciences that gives prompt and equal consideration to papers reporting work dealing with a variety of subjects. Topics include but are not limited to genetics, biochemistry, development, cell biology, biotic stress, abiotic stress, genomics, phenomics, bioinformatics, physiology, molecular biology, and evolution. A collaborative journal launched by the American Society of Plant Biologists, the Society for Experimental Biology and Wiley, Plant Direct publishes papers submitted directly to the journal as well as those referred from a select group of the societies’ journals.
×
引用
GB/T 7714-2015
复制
MLA
复制
APA
复制
导出至
BibTeX EndNote RefMan NoteFirst NoteExpress
×
提示
您的信息不完整,为了账户安全,请先补充。
现在去补充
×
提示
您因"违规操作"
具体请查看互助需知
我知道了
×
提示
确定
请完成安全验证×
copy
已复制链接
快去分享给好友吧!
我知道了
右上角分享
点击右上角分享
0
联系我们:info@booksci.cn Book学术提供免费学术资源搜索服务,方便国内外学者检索中英文文献。致力于提供最便捷和优质的服务体验。 Copyright © 2023 布克学术 All rights reserved.
京ICP备2023020795号-1
ghs 京公网安备 11010802042870号
Book学术文献互助
Book学术文献互助群
群 号:604180095
Book学术官方微信