Peripheral inflammatory state in idiopathic normal pressure hydrocephalus patients: a cross-sectional study.

IF 6.2 1区 医学 Q1 NEUROSCIENCES
Yang Yang, Dandan Guo, Qingchao Yang, Chenlu Yang, Jinde Liu, Heyin Liu, Wen Liu, Yuqian Liu, Yi Li, Yiming Liu
{"title":"Peripheral inflammatory state in idiopathic normal pressure hydrocephalus patients: a cross-sectional study.","authors":"Yang Yang, Dandan Guo, Qingchao Yang, Chenlu Yang, Jinde Liu, Heyin Liu, Wen Liu, Yuqian Liu, Yi Li, Yiming Liu","doi":"10.1186/s12987-025-00682-5","DOIUrl":null,"url":null,"abstract":"<p><strong>Background: </strong>Neuroinflammation may be involved in the pathogenesis of idiopathic normal pressure hydrocephalus (iNPH). However, the specific changes in the peripheral inflammatory state of patients with iNPH remain unclear.</p><p><strong>Objective: </strong>To explore the changes in the peripheral inflammatory state of patients with iNPH and their potential value as biomarkers of clinical diagnosis and disease severity.</p><p><strong>Methods: </strong>In this cross-sectional study, 119 iNPH patients with AD-negative pathology and 200 healthy controls (HCs) were enrolled. Clinical characteristics, including the Idiopathic Normal Pressure Hydrocephalus Grading Scale (iNPHGS), Mini-Mental State Examination (MMSE) and Montreal Cognitive Assessment (MoCA), were collected along with inflammatory parameters in the peripheral blood. Logistic regression was applied to evaluate differences in peripheral inflammatory indicators, adjusting for age, sex, and comorbidities. Receiver operating characteristic (ROC) analysis was used to evaluate the diagnostic performance of the inflammatory markers. Correlations between inflammatory parameters and clinical characteristics were assessed.</p><p><strong>Results: </strong>Significant differences in inflammatory parameters, such as neutrophil-to-lymphocyte ratio (NLR), monocyte-to-lymphocyte ratio (MLR), and prognostic nutritional index (PNI), were observed between iNPH patients and HCs after adjusting for age, sex and comorbidities. The combination of PNI and platelet-to-high-density lipoprotein ratio (PHR) distinguished iNPH patients from HCs most significantly (area under the curve [AUC] = 0.820). Neutrophil ratio and lymphocyte ratio were associated with clinical severity and cognitive impairment of patients with iNPH.</p><p><strong>Conclusions: </strong>iNPH patients exhibit an elevated peripheral inflammatory state. Peripheral inflammatory parameters, especially neutrophil ratio and lymphocyte ratio, are associated with disease severity and cognitive impairment, suggesting their potential as therapeutic targets and offering new insights into the pathophysiology of iNPH. Additionally, the inflammatory peripheral parameters may serve as valuable and convenient method in assisting clinical diagnosis.</p>","PeriodicalId":12321,"journal":{"name":"Fluids and Barriers of the CNS","volume":"22 1","pages":"71"},"PeriodicalIF":6.2000,"publicationDate":"2025-07-08","publicationTypes":"Journal Article","fieldsOfStudy":null,"isOpenAccess":false,"openAccessPdf":"https://www.ncbi.nlm.nih.gov/pmc/articles/PMC12239330/pdf/","citationCount":"0","resultStr":null,"platform":"Semanticscholar","paperid":null,"PeriodicalName":"Fluids and Barriers of the CNS","FirstCategoryId":"3","ListUrlMain":"https://doi.org/10.1186/s12987-025-00682-5","RegionNum":1,"RegionCategory":"医学","ArticlePicture":[],"TitleCN":null,"AbstractTextCN":null,"PMCID":null,"EPubDate":"","PubModel":"","JCR":"Q1","JCRName":"NEUROSCIENCES","Score":null,"Total":0}
引用次数: 0

Abstract

Background: Neuroinflammation may be involved in the pathogenesis of idiopathic normal pressure hydrocephalus (iNPH). However, the specific changes in the peripheral inflammatory state of patients with iNPH remain unclear.

Objective: To explore the changes in the peripheral inflammatory state of patients with iNPH and their potential value as biomarkers of clinical diagnosis and disease severity.

Methods: In this cross-sectional study, 119 iNPH patients with AD-negative pathology and 200 healthy controls (HCs) were enrolled. Clinical characteristics, including the Idiopathic Normal Pressure Hydrocephalus Grading Scale (iNPHGS), Mini-Mental State Examination (MMSE) and Montreal Cognitive Assessment (MoCA), were collected along with inflammatory parameters in the peripheral blood. Logistic regression was applied to evaluate differences in peripheral inflammatory indicators, adjusting for age, sex, and comorbidities. Receiver operating characteristic (ROC) analysis was used to evaluate the diagnostic performance of the inflammatory markers. Correlations between inflammatory parameters and clinical characteristics were assessed.

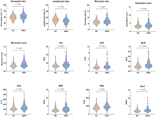
Results: Significant differences in inflammatory parameters, such as neutrophil-to-lymphocyte ratio (NLR), monocyte-to-lymphocyte ratio (MLR), and prognostic nutritional index (PNI), were observed between iNPH patients and HCs after adjusting for age, sex and comorbidities. The combination of PNI and platelet-to-high-density lipoprotein ratio (PHR) distinguished iNPH patients from HCs most significantly (area under the curve [AUC] = 0.820). Neutrophil ratio and lymphocyte ratio were associated with clinical severity and cognitive impairment of patients with iNPH.

Conclusions: iNPH patients exhibit an elevated peripheral inflammatory state. Peripheral inflammatory parameters, especially neutrophil ratio and lymphocyte ratio, are associated with disease severity and cognitive impairment, suggesting their potential as therapeutic targets and offering new insights into the pathophysiology of iNPH. Additionally, the inflammatory peripheral parameters may serve as valuable and convenient method in assisting clinical diagnosis.

Abstract Image

Abstract Image

Abstract Image

特发性常压脑积水患者的外周炎症状态:一项横断面研究。
背景:神经炎症可能参与特发性常压脑积水(iNPH)的发病机制。然而,iNPH患者外周炎症状态的具体变化尚不清楚。目的:探讨iNPH患者外周炎症状态的变化及其作为临床诊断和疾病严重程度生物标志物的潜在价值。方法:在本横断面研究中,纳入了119例ad阴性病理的iNPH患者和200例健康对照(hc)。收集临床特征,包括特发性常压脑积水分级量表(iNPHGS)、迷你精神状态检查(MMSE)和蒙特利尔认知评估(MoCA),以及外周血炎症参数。应用逻辑回归评估外周炎症指标的差异,调整年龄、性别和合并症。采用受试者工作特征(ROC)分析评估炎症标志物的诊断性能。评估炎症参数与临床特征之间的相关性。结果:在调整年龄、性别和合共病后,iNPH患者和hcc患者在炎症参数,如中性粒细胞与淋巴细胞比值(NLR)、单核细胞与淋巴细胞比值(MLR)和预后营养指数(PNI)方面存在显著差异。PNI和血小板-高密度脂蛋白比值(PHR)联合使用对iNPH患者和hc患者的区分最为显著(曲线下面积[AUC] = 0.820)。中性粒细胞比率和淋巴细胞比率与临床严重程度和认知功能障碍有关。结论:iNPH患者表现为外周炎症状态升高。外周炎症参数,特别是中性粒细胞比例和淋巴细胞比例,与疾病严重程度和认知功能障碍相关,提示它们可能作为治疗靶点,并为iNPH的病理生理学提供新的见解。此外,炎症周围参数可作为辅助临床诊断的有价值和方便的方法。
本文章由计算机程序翻译,如有差异,请以英文原文为准。
求助全文
约1分钟内获得全文 求助全文
来源期刊
Fluids and Barriers of the CNS
Fluids and Barriers of the CNS Neuroscience-Developmental Neuroscience
CiteScore
10.70
自引率
8.20%
发文量
94
审稿时长
14 weeks
期刊介绍: "Fluids and Barriers of the CNS" is a scholarly open access journal that specializes in the intricate world of the central nervous system's fluids and barriers, which are pivotal for the health and well-being of the human body. This journal is a peer-reviewed platform that welcomes research manuscripts exploring the full spectrum of CNS fluids and barriers, with a particular focus on their roles in both health and disease. At the heart of this journal's interest is the cerebrospinal fluid (CSF), a vital fluid that circulates within the brain and spinal cord, playing a multifaceted role in the normal functioning of the brain and in various neurological conditions. The journal delves into the composition, circulation, and absorption of CSF, as well as its relationship with the parenchymal interstitial fluid and the neurovascular unit at the blood-brain barrier (BBB).
×
引用
GB/T 7714-2015
复制
MLA
复制
APA
复制
导出至
BibTeX EndNote RefMan NoteFirst NoteExpress
×
提示
您的信息不完整,为了账户安全,请先补充。
现在去补充
×
提示
您因"违规操作"
具体请查看互助需知
我知道了
×
提示
确定
请完成安全验证×
copy
已复制链接
快去分享给好友吧!
我知道了
右上角分享
点击右上角分享
0
联系我们:info@booksci.cn Book学术提供免费学术资源搜索服务,方便国内外学者检索中英文文献。致力于提供最便捷和优质的服务体验。 Copyright © 2023 布克学术 All rights reserved.
京ICP备2023020795号-1
ghs 京公网安备 11010802042870号
Book学术文献互助
Book学术文献互助群
群 号:604180095
Book学术官方微信