Validation of noninvasive indices of right ventricular diastolic function. Simultaneous echocardiography and pressure-volume catheterization studies.

IF 1.6 3区 医学 Q3 CARDIAC & CARDIOVASCULAR SYSTEMS
Candelas Pérez Del Villar, Raquel Prieto-Arévalo, Jorge García-Carreño, Pablo Martínez-Legazpi, Daniel Rodríguez-Pérez, Yolanda Benito, Antonia Delgado-Montero, J Carlos Antoranz, M Mar Desco, Cristian Herrera Flores, Rafael Corisco Beltrán, Francisco Fernández-Avilés, Javier Bermejo
{"title":"Validation of noninvasive indices of right ventricular diastolic function. Simultaneous echocardiography and pressure-volume catheterization studies.","authors":"Candelas Pérez Del Villar, Raquel Prieto-Arévalo, Jorge García-Carreño, Pablo Martínez-Legazpi, Daniel Rodríguez-Pérez, Yolanda Benito, Antonia Delgado-Montero, J Carlos Antoranz, M Mar Desco, Cristian Herrera Flores, Rafael Corisco Beltrán, Francisco Fernández-Avilés, Javier Bermejo","doi":"10.1186/s12947-025-00351-5","DOIUrl":null,"url":null,"abstract":"<p><strong>Background: </strong>The reliability of the recommended echocardiographic methods for assessing RV diastolic function has been questioned. We aimed to validate noninvasive indices of RV diastolic function, derived from tricuspid Doppler and myocardial deformation metrics, against intrinsic diastolic chamber properties and filling pressures.</p><p><strong>Methods: </strong>We obtained simultaneous high-fidelity pressure-volume loops and echocardiographic data in separate animal and clinical settings: (1) a porcine model of acute hemodynamic interventions (n = 13), and (2) patients with Fallot tetralogy and pulmonary hypertension (n = 9). These designs allow for within- and between-subject validation. From the PV loops data, we obtained the reference values of RV stiffness (S<sub>+</sub>), elastic recoil (S<sub>-</sub>) and relaxation (τ) constants, as well as the contribution of passive properties to instantaneous diastolic pressures.</p><p><strong>Results: </strong>In the animal setting, only the tricuspid E/A ratio and e' velocity weakly correlated with S<sub>+</sub> (R<sub>rm</sub>:0.36 and 0.28 respectively, p < 0.01 for both). In the clinical group, no correlation was found between the echocardiographic indices and the intrinsic diastolic properties. Isovolumic relaxation time and early diastolic global strain-rate (GSR) correlated with mean right atrial pressure (RAP) (Spearman r: -0.73 and 0.85, respectively, p < 0.05 for both). E/e' and E/GSR ratio were not associated with RAP. Tricuspid e' and GSR negatively correlated with passive pressure component (only due to) at valve opening (R<sub>rm</sub> -0.27 and - 0.33, respectively, p < 0.01 for both).</p><p><strong>Conclusions: </strong>Recommended echocardiographic indices of RV diastolic function do not reflect intrinsic RV diastolic properties. Therefore, the application of these indices for inferring RV diastolic function and filling pressures is limited.</p>","PeriodicalId":9613,"journal":{"name":"Cardiovascular Ultrasound","volume":"23 1","pages":"15"},"PeriodicalIF":1.6000,"publicationDate":"2025-07-09","publicationTypes":"Journal Article","fieldsOfStudy":null,"isOpenAccess":false,"openAccessPdf":"https://www.ncbi.nlm.nih.gov/pmc/articles/PMC12239245/pdf/","citationCount":"0","resultStr":null,"platform":"Semanticscholar","paperid":null,"PeriodicalName":"Cardiovascular Ultrasound","FirstCategoryId":"3","ListUrlMain":"https://doi.org/10.1186/s12947-025-00351-5","RegionNum":3,"RegionCategory":"医学","ArticlePicture":[],"TitleCN":null,"AbstractTextCN":null,"PMCID":null,"EPubDate":"","PubModel":"","JCR":"Q3","JCRName":"CARDIAC & CARDIOVASCULAR SYSTEMS","Score":null,"Total":0}
引用次数: 0

Abstract

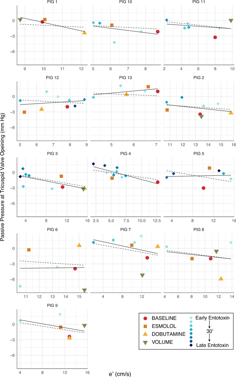
Background: The reliability of the recommended echocardiographic methods for assessing RV diastolic function has been questioned. We aimed to validate noninvasive indices of RV diastolic function, derived from tricuspid Doppler and myocardial deformation metrics, against intrinsic diastolic chamber properties and filling pressures.

Methods: We obtained simultaneous high-fidelity pressure-volume loops and echocardiographic data in separate animal and clinical settings: (1) a porcine model of acute hemodynamic interventions (n = 13), and (2) patients with Fallot tetralogy and pulmonary hypertension (n = 9). These designs allow for within- and between-subject validation. From the PV loops data, we obtained the reference values of RV stiffness (S+), elastic recoil (S-) and relaxation (τ) constants, as well as the contribution of passive properties to instantaneous diastolic pressures.

Results: In the animal setting, only the tricuspid E/A ratio and e' velocity weakly correlated with S+ (Rrm:0.36 and 0.28 respectively, p < 0.01 for both). In the clinical group, no correlation was found between the echocardiographic indices and the intrinsic diastolic properties. Isovolumic relaxation time and early diastolic global strain-rate (GSR) correlated with mean right atrial pressure (RAP) (Spearman r: -0.73 and 0.85, respectively, p < 0.05 for both). E/e' and E/GSR ratio were not associated with RAP. Tricuspid e' and GSR negatively correlated with passive pressure component (only due to) at valve opening (Rrm -0.27 and - 0.33, respectively, p < 0.01 for both).

Conclusions: Recommended echocardiographic indices of RV diastolic function do not reflect intrinsic RV diastolic properties. Therefore, the application of these indices for inferring RV diastolic function and filling pressures is limited.

Abstract Image

Abstract Image

Abstract Image

右心室舒张功能无创指标的验证。同时超声心动图和压力-容量导管研究。
背景:推荐的超声心动图方法评估右心室舒张功能的可靠性受到质疑。我们的目的是验证由三尖瓣多普勒和心肌变形指标得出的右心室舒张功能的无创指标与舒张室特性和充盈压力的关系。方法:我们在不同的动物和临床环境中同时获得高保真的压力-容量循环和超声心动图数据:(1)急性血流动力学干预猪模型(n = 13),(2)法洛四联症和肺动脉高压患者(n = 9)。这些设计允许受试者内部和受试者之间的验证。从PV回路数据中,我们获得了RV刚度(S+)、弹性后坐力(S-)和弛豫(τ)常数的参考值,以及被动特性对瞬时舒张压的贡献。结果:在动物环境下,只有三尖瓣E/A比和E’velocity与S+呈弱相关(Rrm分别为0.36和0.28,p rm分别为-0.27和- 0.33)。结论:推荐的超声心动图指标不能反映右心室舒张特性。因此,这些指标在推断右心室舒张功能和充盈压力方面的应用是有限的。
本文章由计算机程序翻译,如有差异,请以英文原文为准。
求助全文
约1分钟内获得全文 求助全文
来源期刊
Cardiovascular Ultrasound
Cardiovascular Ultrasound CARDIAC & CARDIOVASCULAR SYSTEMS-
CiteScore
4.10
自引率
0.00%
发文量
28
审稿时长
>12 weeks
期刊介绍: Cardiovascular Ultrasound is an online journal, publishing peer-reviewed: original research; authoritative reviews; case reports on challenging and/or unusual diagnostic aspects; and expert opinions on new techniques and technologies. We are particularly interested in articles that include relevant images or video files, which provide an additional dimension to published articles and enhance understanding. As an open access journal, Cardiovascular Ultrasound ensures high visibility for authors in addition to providing an up-to-date and freely available resource for the community. The journal welcomes discussion, and provides a forum for publishing opinion and debate ranging from biology to engineering to clinical echocardiography, with both speed and versatility.
×
引用
GB/T 7714-2015
复制
MLA
复制
APA
复制
导出至
BibTeX EndNote RefMan NoteFirst NoteExpress
×
提示
您的信息不完整,为了账户安全,请先补充。
现在去补充
×
提示
您因"违规操作"
具体请查看互助需知
我知道了
×
提示
确定
请完成安全验证×
copy
已复制链接
快去分享给好友吧!
我知道了
右上角分享
点击右上角分享
0
联系我们:info@booksci.cn Book学术提供免费学术资源搜索服务,方便国内外学者检索中英文文献。致力于提供最便捷和优质的服务体验。 Copyright © 2023 布克学术 All rights reserved.
京ICP备2023020795号-1
ghs 京公网安备 11010802042870号
Book学术文献互助
Book学术文献互助群
群 号:604180095
Book学术官方微信