The joint effects of planetary β, topography and friction on baroclinic instability in a two-layer QG model.

IF 3.9 2区 工程技术 Q1 MECHANICS
Journal of Fluid Mechanics Pub Date : 2025-05-26 eCollection Date: 2025-06-10 DOI:10.1017/jfm.2025.10172
Miriam F Sterl, André Palóczy, Sjoerd Groeskamp, Michiel L J Baatsen, Joseph H LaCasce, Pål E Isachsen
{"title":"The joint effects of planetary <i>β</i>, topography and friction on baroclinic instability in a two-layer QG model.","authors":"Miriam F Sterl, André Palóczy, Sjoerd Groeskamp, Michiel L J Baatsen, Joseph H LaCasce, Pål E Isachsen","doi":"10.1017/jfm.2025.10172","DOIUrl":null,"url":null,"abstract":"<p><p>The quasi-geostrophic two-layer model is a widely used tool to study baroclinic instability in the ocean. One instability criterion for the inviscid two-layer model is that the potential vorticity (PV) gradient must change sign between the layers. This has a well-known implication if the model includes a linear bottom slope: for sufficiently steep retrograde slopes, instability is suppressed for a flow parallel to the isobaths. This changes in the presence of bottom friction as well as when the PV gradients in the layers are not aligned. We derive the generalised instability condition for the two-layer model with nonzero friction and arbitrary mean flow orientation. This condition involves neither the friction coefficient nor the bottom slope; even infinitesimally weak bottom friction destabilises the system regardless of the bottom slope. We then examine the instability characteristics as a function of varying slope orientation and magnitude. The system is stable across all wavenumbers only if friction is absent and if the planetary, topographic and stretching PV gradients are aligned. Strong bottom friction decreases the growth rates but also alters the dependence on bottom slope. Thus the often mentioned stabilisation by steep bottom slopes in the two-layer model only holds in very specific circumstances and thus probably plays only a limited role in the ocean.</p>","PeriodicalId":15853,"journal":{"name":"Journal of Fluid Mechanics","volume":"1012 ","pages":""},"PeriodicalIF":3.9000,"publicationDate":"2025-05-26","publicationTypes":"Journal Article","fieldsOfStudy":null,"isOpenAccess":false,"openAccessPdf":"https://www.ncbi.nlm.nih.gov/pmc/articles/PMC7617829/pdf/","citationCount":"0","resultStr":null,"platform":"Semanticscholar","paperid":null,"PeriodicalName":"Journal of Fluid Mechanics","FirstCategoryId":"5","ListUrlMain":"https://doi.org/10.1017/jfm.2025.10172","RegionNum":2,"RegionCategory":"工程技术","ArticlePicture":[],"TitleCN":null,"AbstractTextCN":null,"PMCID":null,"EPubDate":"2025/6/10 0:00:00","PubModel":"eCollection","JCR":"Q1","JCRName":"MECHANICS","Score":null,"Total":0}
引用次数: 0

Abstract

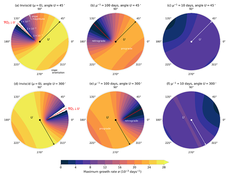
The quasi-geostrophic two-layer model is a widely used tool to study baroclinic instability in the ocean. One instability criterion for the inviscid two-layer model is that the potential vorticity (PV) gradient must change sign between the layers. This has a well-known implication if the model includes a linear bottom slope: for sufficiently steep retrograde slopes, instability is suppressed for a flow parallel to the isobaths. This changes in the presence of bottom friction as well as when the PV gradients in the layers are not aligned. We derive the generalised instability condition for the two-layer model with nonzero friction and arbitrary mean flow orientation. This condition involves neither the friction coefficient nor the bottom slope; even infinitesimally weak bottom friction destabilises the system regardless of the bottom slope. We then examine the instability characteristics as a function of varying slope orientation and magnitude. The system is stable across all wavenumbers only if friction is absent and if the planetary, topographic and stretching PV gradients are aligned. Strong bottom friction decreases the growth rates but also alters the dependence on bottom slope. Thus the often mentioned stabilisation by steep bottom slopes in the two-layer model only holds in very specific circumstances and thus probably plays only a limited role in the ocean.

Abstract Image

Abstract Image

Abstract Image

行星β、地形和摩擦对双层QG模型斜压不稳定性的共同影响。
准地转双层模式是研究海洋斜压不稳定性的一种广泛使用的工具。无粘双层模型的不稳定性判据之一是层间的位涡梯度必须改变符号。这有一个众所周知的含义,如果模型包括一个线性底坡:对于足够陡峭的逆行斜坡,不稳定性被抑制为平行于等深线的流动。当存在底部摩擦以及层中的PV梯度不对齐时,这种情况就会发生变化。导出了具有非零摩擦和任意平均流动方向的两层模型的广义不稳定条件。这种情况既不涉及摩擦系数,也不涉及底坡;即使是极弱的底部摩擦也会使系统不稳定,而不管底部斜率如何。然后,我们研究了不稳定特征作为不同斜坡方向和大小的函数。只有当摩擦不存在,并且行星、地形和拉伸PV梯度对齐时,系统才能在所有波数上保持稳定。强底摩擦降低了生长速率,但也改变了对底斜率的依赖。因此,两层模型中经常提到的由陡峭的底部斜坡造成的稳定只在非常特殊的情况下成立,因此可能在海洋中只起有限的作用。
本文章由计算机程序翻译,如有差异,请以英文原文为准。
求助全文
约1分钟内获得全文 求助全文
来源期刊
CiteScore
6.50
自引率
27.00%
发文量
945
审稿时长
5.1 months
期刊介绍: Journal of Fluid Mechanics is the leading international journal in the field and is essential reading for all those concerned with developments in fluid mechanics. It publishes authoritative articles covering theoretical, computational and experimental investigations of all aspects of the mechanics of fluids. Each issue contains papers on both the fundamental aspects of fluid mechanics, and their applications to other fields such as aeronautics, astrophysics, biology, chemical and mechanical engineering, hydraulics, meteorology, oceanography, geology, acoustics and combustion.
×
引用
GB/T 7714-2015
复制
MLA
复制
APA
复制
导出至
BibTeX EndNote RefMan NoteFirst NoteExpress
×
提示
您的信息不完整,为了账户安全,请先补充。
现在去补充
×
提示
您因"违规操作"
具体请查看互助需知
我知道了
×
提示
确定
请完成安全验证×
copy
已复制链接
快去分享给好友吧!
我知道了
右上角分享
点击右上角分享
0
联系我们:info@booksci.cn Book学术提供免费学术资源搜索服务,方便国内外学者检索中英文文献。致力于提供最便捷和优质的服务体验。 Copyright © 2023 布克学术 All rights reserved.
京ICP备2023020795号-1
ghs 京公网安备 11010802042870号
Book学术文献互助
Book学术文献互助群
群 号:604180095
Book学术官方微信