Antibacterial Potential of Vatica diospyroides Flower Extracts: Targeting Diverse Pathogens in Aquaculture.

IF 3.2 Q3 MICROBIOLOGY
International Journal of Microbiology Pub Date : 2025-06-30 eCollection Date: 2025-01-01 DOI:10.1155/ijm/7471536
Juthatip Yooklaen, Theera Srisawat, Luu Tang Phuc Khang, Nguyen Dinh-Hung, Papungkorn Sangsawad, Nguyen Vu Linh, Patima Permpoonpattana
{"title":"Antibacterial Potential of <i>Vatica diospyroides</i> Flower Extracts: Targeting Diverse Pathogens in Aquaculture.","authors":"Juthatip Yooklaen, Theera Srisawat, Luu Tang Phuc Khang, Nguyen Dinh-Hung, Papungkorn Sangsawad, Nguyen Vu Linh, Patima Permpoonpattana","doi":"10.1155/ijm/7471536","DOIUrl":null,"url":null,"abstract":"<p><p><i>Vatica diospyroides</i>, an endemic species of the Dipterocarpaceae family, possesses notable medicinal properties. However, its application as an antibacterial agent is limited due to the insufficient investigations of its antibacterial activity from flower extracts. This study is aimed at exploring the antibacterial mechanisms of acetone extracts from the flowers of <i>V. diospyroides</i> against four bacterial strains using various methods, including the well-disk diffusion assay, minimum inhibitory concentration (MIC) determination, minimum bactericidal concentration (MBC) assessment, flow cytometry, and scanning electron microscopy. The inhibition zones measured between 6.33 and 17.66 mm. Notably, the extract exhibited different MIC values, such as 250 <i>μ</i>g mL<sup>-1</sup> for <i>Bacillus subtilis</i> and <i>Escherichia coli</i>, and only 62.5 <i>μ</i>g.mL<sup>-1</sup> for <i>Vibrio parahaemolyticus</i>, demonstrating its effectiveness. MBC values ranged from 500 to over 1000 <i>μ</i>g mL<sup>-1</sup> for <i>Pseudomonas aeruginosa</i>. Flow cytometric analysis revealed that the cellular responses to the extract were influenced by both the concentration of the extract and the duration of exposure, indicating a dose- and time-dependent antibacterial effect. Additionally, scanning electron microscopy confirmed that the extract caused structural damage to the cells of both Gram-positive and Gram-negative bacteria. Overall, this study underscores the promising antibacterial potential of <i>V. diospyroides</i> flower extracts, which demonstrate significant efficacy against a variety of bacterial strains.</p>","PeriodicalId":14098,"journal":{"name":"International Journal of Microbiology","volume":"2025 ","pages":"7471536"},"PeriodicalIF":3.2000,"publicationDate":"2025-06-30","publicationTypes":"Journal Article","fieldsOfStudy":null,"isOpenAccess":false,"openAccessPdf":"https://www.ncbi.nlm.nih.gov/pmc/articles/PMC12234162/pdf/","citationCount":"0","resultStr":null,"platform":"Semanticscholar","paperid":null,"PeriodicalName":"International Journal of Microbiology","FirstCategoryId":"1085","ListUrlMain":"https://doi.org/10.1155/ijm/7471536","RegionNum":0,"RegionCategory":null,"ArticlePicture":[],"TitleCN":null,"AbstractTextCN":null,"PMCID":null,"EPubDate":"2025/1/1 0:00:00","PubModel":"eCollection","JCR":"Q3","JCRName":"MICROBIOLOGY","Score":null,"Total":0}
引用次数: 0

Abstract

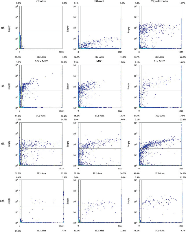
Vatica diospyroides, an endemic species of the Dipterocarpaceae family, possesses notable medicinal properties. However, its application as an antibacterial agent is limited due to the insufficient investigations of its antibacterial activity from flower extracts. This study is aimed at exploring the antibacterial mechanisms of acetone extracts from the flowers of V. diospyroides against four bacterial strains using various methods, including the well-disk diffusion assay, minimum inhibitory concentration (MIC) determination, minimum bactericidal concentration (MBC) assessment, flow cytometry, and scanning electron microscopy. The inhibition zones measured between 6.33 and 17.66 mm. Notably, the extract exhibited different MIC values, such as 250 μg mL-1 for Bacillus subtilis and Escherichia coli, and only 62.5 μg.mL-1 for Vibrio parahaemolyticus, demonstrating its effectiveness. MBC values ranged from 500 to over 1000 μg mL-1 for Pseudomonas aeruginosa. Flow cytometric analysis revealed that the cellular responses to the extract were influenced by both the concentration of the extract and the duration of exposure, indicating a dose- and time-dependent antibacterial effect. Additionally, scanning electron microscopy confirmed that the extract caused structural damage to the cells of both Gram-positive and Gram-negative bacteria. Overall, this study underscores the promising antibacterial potential of V. diospyroides flower extracts, which demonstrate significant efficacy against a variety of bacterial strains.

Abstract Image

Abstract Image

Abstract Image

龙葵花提取物对水产养殖中多种病原菌的抑菌潜力研究
龙心是龙心科的一种特有种,具有显著的药用价值。然而,由于对其在花卉提取物中的抑菌活性研究不足,其作为一种抗菌剂的应用受到限制。采用孔盘扩散法、最小抑菌浓度(MIC)测定、最小杀菌浓度(MBC)测定、流式细胞术和扫描电镜等方法,探讨二ospyroides花丙酮提取物对4种细菌的抑菌作用机制。抑制带在6.33 ~ 17.66 mm之间。值得注意的是,提取物的MIC值不同,枯草芽孢杆菌和大肠杆菌的MIC值为250 μg mL-1,而大肠杆菌的MIC值仅为62.5 μg。mL-1对副溶血性弧菌有效。铜绿假单胞菌的MBC值在500 ~ 1000 μg mL-1之间。流式细胞分析显示,细胞对提取物的反应受到提取物浓度和暴露时间的影响,表明其抗菌作用与剂量和时间有关。此外,扫描电子显微镜证实,提取物对革兰氏阳性和革兰氏阴性细菌的细胞都造成了结构损伤。综上所述,本研究强调了花提取物具有良好的抗菌潜力,对多种细菌具有显著的抑菌效果。
本文章由计算机程序翻译,如有差异,请以英文原文为准。
求助全文
约1分钟内获得全文 求助全文
来源期刊
CiteScore
7.90
自引率
0.00%
发文量
57
审稿时长
13 weeks
期刊介绍: International Journal of Microbiology is a peer-reviewed, Open Access journal that publishes original research articles, review articles, and clinical studies on microorganisms and their interaction with hosts and the environment. The journal covers all microbes, including bacteria, fungi, viruses, archaea, and protozoa. Basic science will be considered, as well as medical and applied research.
×
引用
GB/T 7714-2015
复制
MLA
复制
APA
复制
导出至
BibTeX EndNote RefMan NoteFirst NoteExpress
×
提示
您的信息不完整,为了账户安全,请先补充。
现在去补充
×
提示
您因"违规操作"
具体请查看互助需知
我知道了
×
提示
确定
请完成安全验证×
copy
已复制链接
快去分享给好友吧!
我知道了
右上角分享
点击右上角分享
0
联系我们:info@booksci.cn Book学术提供免费学术资源搜索服务,方便国内外学者检索中英文文献。致力于提供最便捷和优质的服务体验。 Copyright © 2023 布克学术 All rights reserved.
京ICP备2023020795号-1
ghs 京公网安备 11010802042870号
Book学术文献互助
Book学术文献互助群
群 号:604180095
Book学术官方微信