Strategy Complexity of Reachability in Countable Stochastic 2-Player Games.

IF 1.6 4区 数学 Q2 MATHEMATICS, INTERDISCIPLINARY APPLICATIONS
Dynamic Games and Applications Pub Date : 2025-01-01 Epub Date: 2024-09-14 DOI:10.1007/s13235-024-00575-6
Stefan Kiefer, Richard Mayr, Mahsa Shirmohammadi, Patrick Totzke
{"title":"Strategy Complexity of Reachability in Countable Stochastic 2-Player Games.","authors":"Stefan Kiefer, Richard Mayr, Mahsa Shirmohammadi, Patrick Totzke","doi":"10.1007/s13235-024-00575-6","DOIUrl":null,"url":null,"abstract":"<p><p>We study countably infinite stochastic 2-player games with reachability objectives. Our results provide a complete picture of the memory requirements of <math><mi>ε</mi></math> -optimal (resp. optimal) strategies. These results depend on the size of the players' action sets and on whether one requires strategies that are uniform (i.e., independent of the start state). Our main result is that <math><mi>ε</mi></math> -optimal (resp. optimal) Maximizer strategies requires infinite memory if Minimizer is allowed infinite action sets. This lower bound holds even under very strong restrictions. Even in the special case of infinitely branching turn-based reachability games, even if all states allow an almost surely winning Maximizer strategy, strategies with a step counter plus finite private memory are still useless. Regarding <i>uniformity</i>, we show that for Maximizer there need not exist memoryless (i.e., positional) uniformly <math><mi>ε</mi></math> -optimal strategies even in the special case of finite action sets or in finitely branching turn-based games. On the other hand, in games with finite action sets, there always exists a uniformly <math><mi>ε</mi></math> -optimal Maximizer strategy that uses just one bit of public memory.</p>","PeriodicalId":48933,"journal":{"name":"Dynamic Games and Applications","volume":"15 3","pages":"980-1036"},"PeriodicalIF":1.6000,"publicationDate":"2025-01-01","publicationTypes":"Journal Article","fieldsOfStudy":null,"isOpenAccess":false,"openAccessPdf":"https://www.ncbi.nlm.nih.gov/pmc/articles/PMC12222464/pdf/","citationCount":"0","resultStr":null,"platform":"Semanticscholar","paperid":null,"PeriodicalName":"Dynamic Games and Applications","FirstCategoryId":"100","ListUrlMain":"https://doi.org/10.1007/s13235-024-00575-6","RegionNum":4,"RegionCategory":"数学","ArticlePicture":[],"TitleCN":null,"AbstractTextCN":null,"PMCID":null,"EPubDate":"2024/9/14 0:00:00","PubModel":"Epub","JCR":"Q2","JCRName":"MATHEMATICS, INTERDISCIPLINARY APPLICATIONS","Score":null,"Total":0}
引用次数: 0

Abstract

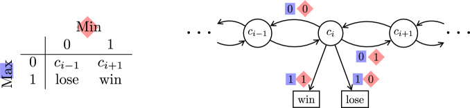
We study countably infinite stochastic 2-player games with reachability objectives. Our results provide a complete picture of the memory requirements of ε -optimal (resp. optimal) strategies. These results depend on the size of the players' action sets and on whether one requires strategies that are uniform (i.e., independent of the start state). Our main result is that ε -optimal (resp. optimal) Maximizer strategies requires infinite memory if Minimizer is allowed infinite action sets. This lower bound holds even under very strong restrictions. Even in the special case of infinitely branching turn-based reachability games, even if all states allow an almost surely winning Maximizer strategy, strategies with a step counter plus finite private memory are still useless. Regarding uniformity, we show that for Maximizer there need not exist memoryless (i.e., positional) uniformly ε -optimal strategies even in the special case of finite action sets or in finitely branching turn-based games. On the other hand, in games with finite action sets, there always exists a uniformly ε -optimal Maximizer strategy that uses just one bit of public memory.

Abstract Image

Abstract Image

Abstract Image

可数随机二人对策中可达性的策略复杂度。
我们研究具有可达性目标的可数无限随机2人博弈。我们的结果提供了一个完整的图像的记忆需求ε -最优(响应)。最优)的策略。这些结果取决于玩家行动集的大小,以及玩家是否需要统一的策略(即独立于开始状态)。我们的主要结果是ε -最优(p。如果Minimizer允许无限个操作集,则Maximizer策略需要无限的内存。即使在非常严格的限制条件下,这个下限仍然成立。即使在无限分支回合制可达性游戏的特殊情况下,即使所有状态都允许几乎肯定获胜的最大化策略,带有步数计数器和有限私有内存的策略仍然是无用的。关于一致性,我们证明了对于Maximizer,即使在有限行动集或有限分支回合制博弈的特殊情况下,也不需要存在无记忆(即位置)一致的ε -最优策略。另一方面,在具有有限行动集的游戏中,总是存在一个统一的ε -最优最大化策略,它只使用1位公共内存。
本文章由计算机程序翻译,如有差异,请以英文原文为准。
求助全文
约1分钟内获得全文 求助全文
来源期刊
Dynamic Games and Applications
Dynamic Games and Applications MATHEMATICS, INTERDISCIPLINARY APPLICATIONS-
CiteScore
3.20
自引率
13.30%
发文量
67
期刊介绍: Dynamic Games and Applications is devoted to the development of all classes of dynamic games, namely, differential games, discrete-time dynamic games, evolutionary games, repeated and stochastic games, and their applications in all fields
×
引用
GB/T 7714-2015
复制
MLA
复制
APA
复制
导出至
BibTeX EndNote RefMan NoteFirst NoteExpress
×
提示
您的信息不完整,为了账户安全,请先补充。
现在去补充
×
提示
您因"违规操作"
具体请查看互助需知
我知道了
×
提示
确定
请完成安全验证×
copy
已复制链接
快去分享给好友吧!
我知道了
右上角分享
点击右上角分享
0
联系我们:info@booksci.cn Book学术提供免费学术资源搜索服务,方便国内外学者检索中英文文献。致力于提供最便捷和优质的服务体验。 Copyright © 2023 布克学术 All rights reserved.
京ICP备2023020795号-1
ghs 京公网安备 11010802042870号
Book学术文献互助
Book学术文献互助群
群 号:604180095
Book学术官方微信