Preoperative Prognostic Nutritional Index Is a Predictive Factor for Postoperative Delirium in Elderly Patients with Femoral Neck Fracture.

IF 3.7 3区 医学 Q2 GERIATRICS & GERONTOLOGY
Clinical Interventions in Aging Pub Date : 2025-07-02 eCollection Date: 2025-01-01 DOI:10.2147/CIA.S518366
Yuansheng Xu, Yongjun Luo
{"title":"Preoperative Prognostic Nutritional Index Is a Predictive Factor for Postoperative Delirium in Elderly Patients with Femoral Neck Fracture.","authors":"Yuansheng Xu, Yongjun Luo","doi":"10.2147/CIA.S518366","DOIUrl":null,"url":null,"abstract":"<p><strong>Objective: </strong>This study aimed to investigate the potential risk factors of postoperative delirium (POD) in elderly patients (≥65 years old) undergoing femoral neck fracture (FNF) surgery, and explore whether preoperative prognostic nutritional index (PNI) could predict the occurrence of POD.</p><p><strong>Methods: </strong>A total of 260 cases with FNF were included in this study at The Affiliated Jinling Hospital of Nanjing University from May 2018 and May 2024. The baseline characteristics were recorded. The receiver operating characteristic (ROC) curve analysis was developed to evaluate the diagnostic ability of preoperative PNI for POD. LASSO regression and multivariate logistic regression analyses were used to identify the risk factors for POD.</p><p><strong>Results: </strong>Eighty-one of the 260 cases with FNF suffered POD with an incidence of 31.2%. Patients with POD showed lower Mini-Mental State Examination (MMSE) score (<i>P</i>=0.011), lymphocyte count (<i>P</i>=0.002), albumin level (<i>P</i>=0.011), and PNI level (<i>P</i><0.001) than those in non-POD group. ROC curve analysis indicated that PNI was a good predictor for POD with an area under the curve (AUC) value of 0.708 (95% CI: 0.648-0.762, <i>P</i><0.001); the sensitivity and specificity were 79.01 and 60.89, respectively. LASSO regression analysis identified eleven key variables including gender, age, body mass index, diabetes mellitus, surgery duration, anesthesia duration, fracture position, neutrophil, lymphocyte, PNI, and MMSE score. Multivariate logistic regression analysis showed that MMSE score < 27, BMI > 23.9 kg/m<sup>2</sup>, and PNI < 45.45 were independent risk factors of POD.</p><p><strong>Conclusion: </strong>In conclusion, preoperative PNI is a significant predictor for POD in elderly patients after FNF surgery.</p>","PeriodicalId":48841,"journal":{"name":"Clinical Interventions in Aging","volume":"20 ","pages":"941-950"},"PeriodicalIF":3.7000,"publicationDate":"2025-07-02","publicationTypes":"Journal Article","fieldsOfStudy":null,"isOpenAccess":false,"openAccessPdf":"https://www.ncbi.nlm.nih.gov/pmc/articles/PMC12229154/pdf/","citationCount":"0","resultStr":null,"platform":"Semanticscholar","paperid":null,"PeriodicalName":"Clinical Interventions in Aging","FirstCategoryId":"3","ListUrlMain":"https://doi.org/10.2147/CIA.S518366","RegionNum":3,"RegionCategory":"医学","ArticlePicture":[],"TitleCN":null,"AbstractTextCN":null,"PMCID":null,"EPubDate":"2025/1/1 0:00:00","PubModel":"eCollection","JCR":"Q2","JCRName":"GERIATRICS & GERONTOLOGY","Score":null,"Total":0}
引用次数: 0

Abstract

Objective: This study aimed to investigate the potential risk factors of postoperative delirium (POD) in elderly patients (≥65 years old) undergoing femoral neck fracture (FNF) surgery, and explore whether preoperative prognostic nutritional index (PNI) could predict the occurrence of POD.

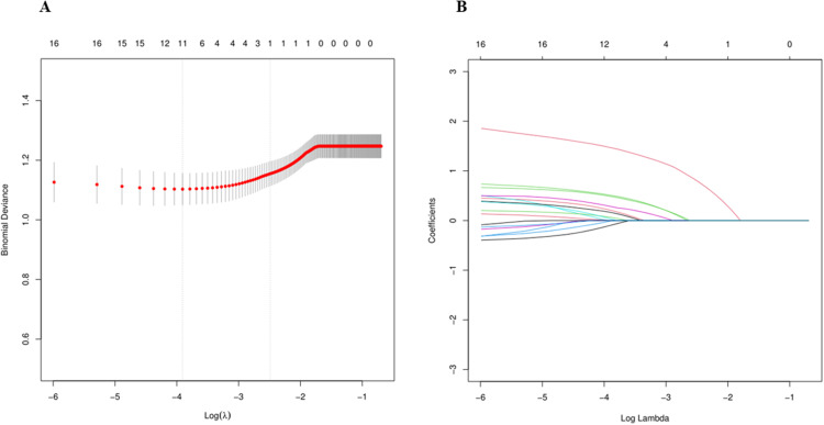
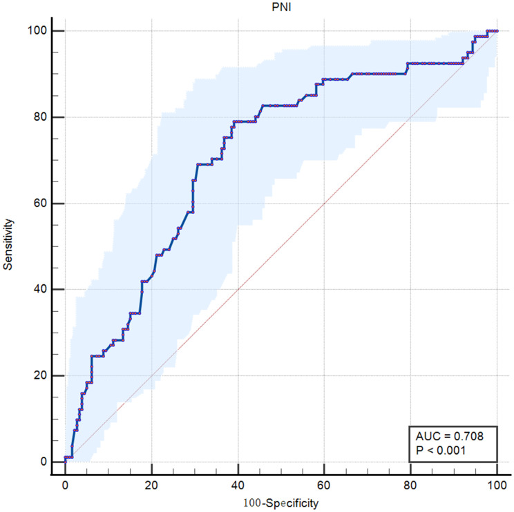
Methods: A total of 260 cases with FNF were included in this study at The Affiliated Jinling Hospital of Nanjing University from May 2018 and May 2024. The baseline characteristics were recorded. The receiver operating characteristic (ROC) curve analysis was developed to evaluate the diagnostic ability of preoperative PNI for POD. LASSO regression and multivariate logistic regression analyses were used to identify the risk factors for POD.

Results: Eighty-one of the 260 cases with FNF suffered POD with an incidence of 31.2%. Patients with POD showed lower Mini-Mental State Examination (MMSE) score (P=0.011), lymphocyte count (P=0.002), albumin level (P=0.011), and PNI level (P<0.001) than those in non-POD group. ROC curve analysis indicated that PNI was a good predictor for POD with an area under the curve (AUC) value of 0.708 (95% CI: 0.648-0.762, P<0.001); the sensitivity and specificity were 79.01 and 60.89, respectively. LASSO regression analysis identified eleven key variables including gender, age, body mass index, diabetes mellitus, surgery duration, anesthesia duration, fracture position, neutrophil, lymphocyte, PNI, and MMSE score. Multivariate logistic regression analysis showed that MMSE score < 27, BMI > 23.9 kg/m2, and PNI < 45.45 were independent risk factors of POD.

Conclusion: In conclusion, preoperative PNI is a significant predictor for POD in elderly patients after FNF surgery.

Abstract Image

Abstract Image

Abstract Image

术前预后营养指数是老年股骨颈骨折患者术后谵妄的预测因素。
目的:本研究旨在探讨老年(≥65岁)股骨颈骨折(FNF)手术患者术后谵妄(POD)的潜在危险因素,并探讨术前预后营养指数(PNI)是否可以预测POD的发生。方法:选取南京大学附属金陵医院2018年5月至2024年5月收治的FNF患者260例。记录基线特征。采用受试者工作特征(ROC)曲线分析,评价术前PNI对POD的诊断能力。采用LASSO回归和多因素logistic回归分析确定POD的危险因素。结果:260例FNF患者中有81例发生POD,发生率为31.2%。轻度精神状态检查(MMSE)评分(P=0.011)、淋巴细胞计数(P=0.002)、白蛋白水平(P=0.011)、PNI水平(PP 23.9 kg/m2, PNI < 45.45)降低是POD的独立危险因素。结论:术前PNI是FNF术后老年患者POD的重要预测指标。
本文章由计算机程序翻译,如有差异,请以英文原文为准。
求助全文
约1分钟内获得全文 求助全文
来源期刊
Clinical Interventions in Aging
Clinical Interventions in Aging GERIATRICS & GERONTOLOGY-
CiteScore
6.80
自引率
2.80%
发文量
193
审稿时长
6-12 weeks
期刊介绍: Clinical Interventions in Aging, is an online, peer reviewed, open access journal focusing on concise rapid reporting of original research and reviews in aging. Special attention will be given to papers reporting on actual or potential clinical applications leading to improved prevention or treatment of disease or a greater understanding of pathological processes that result from maladaptive changes in the body associated with aging. This journal is directed at a wide array of scientists, engineers, pharmacists, pharmacologists and clinical specialists wishing to maintain an up to date knowledge of this exciting and emerging field.
×
引用
GB/T 7714-2015
复制
MLA
复制
APA
复制
导出至
BibTeX EndNote RefMan NoteFirst NoteExpress
×
提示
您的信息不完整,为了账户安全,请先补充。
现在去补充
×
提示
您因"违规操作"
具体请查看互助需知
我知道了
×
提示
确定
请完成安全验证×
copy
已复制链接
快去分享给好友吧!
我知道了
右上角分享
点击右上角分享
0
联系我们:info@booksci.cn Book学术提供免费学术资源搜索服务,方便国内外学者检索中英文文献。致力于提供最便捷和优质的服务体验。 Copyright © 2023 布克学术 All rights reserved.
京ICP备2023020795号-1
ghs 京公网安备 11010802042870号
Book学术文献互助
Book学术文献互助群
群 号:604180095
Book学术官方微信