Clinical Outcomes of Skeletal Anchorage Versus Conventional Anchorage in the Class III Orthopaedic Treatment in Growing Patients: A Systematic Review and Meta-Analysis.

IF 1.4 Q4 DENTISTRY, ORAL SURGERY & MEDICINE
Rachele Podda, Francesca Imondi, Adriana Assunta De Stefano, Martina Horodynski, Roberto Antonio Vernucci, Gabriella Galluccio
{"title":"Clinical Outcomes of Skeletal Anchorage Versus Conventional Anchorage in the Class III Orthopaedic Treatment in Growing Patients: A Systematic Review and Meta-Analysis.","authors":"Rachele Podda, Francesca Imondi, Adriana Assunta De Stefano, Martina Horodynski, Roberto Antonio Vernucci, Gabriella Galluccio","doi":"10.4274/TurkJOrthod.2025.2024.38","DOIUrl":null,"url":null,"abstract":"<p><p>The aim of this systematic review was to evaluate the clinical outcomes of skeletal anchorage, compared to conventional anchorage, in the treatment of skeletal Class III malocclusion in growing patients. A systematic review was conducted following PRISMA guidelines. A specific search strategy was developed for PubMed, Web of Science, Embase, and Cochrane searching for randomized controlled trials and non-randomized clinical trials. Eleven interventions were assessed, three employing conventional anchorage (group A) and eight skeletal anchorage (group B). Nine pre-treatment (T0) and post-treatment (T1) mean cephalometric outcomes were statistically polled (SNA, SNB, ANB, Wits, Overjet, Overbite, SNMP, IMPA, U1PP). In total, 196 studies were identified, 17 studies were included in the qualitative and quantitative analysis. In the skeletal anchorage group, a greater increase in both ANB (+2.511°) and Wits (+4.691 mm) were observed and the increase in SNMP resulted well-controlled (+0.758°). The conventional anchorage group showed higher dentoalveolar side effects: increase in U1PP (+5.624°), decrease in IMPA (-0.866°) and increase in overjet (+5.255 mm). Treatments exploiting skeletal anchorage determined a better correction of skeletal Class III, thanks to a combination of greater advancement of the maxilla and more enhanced retrusion of the mandible. In all treatment protocols exploiting dental anchorage, the increase in the inclination of the central incisor resulted significantly greater. Further longitudinal studies are required to evaluate the long-term effects of skeletal anchorage in growing patients.</p>","PeriodicalId":37013,"journal":{"name":"Turkish Journal of Orthodontics","volume":"38 2","pages":"133-141"},"PeriodicalIF":1.4000,"publicationDate":"2025-07-02","publicationTypes":"Journal Article","fieldsOfStudy":null,"isOpenAccess":false,"openAccessPdf":"https://www.ncbi.nlm.nih.gov/pmc/articles/PMC12236123/pdf/","citationCount":"0","resultStr":null,"platform":"Semanticscholar","paperid":null,"PeriodicalName":"Turkish Journal of Orthodontics","FirstCategoryId":"1085","ListUrlMain":"https://doi.org/10.4274/TurkJOrthod.2025.2024.38","RegionNum":0,"RegionCategory":null,"ArticlePicture":[],"TitleCN":null,"AbstractTextCN":null,"PMCID":null,"EPubDate":"","PubModel":"","JCR":"Q4","JCRName":"DENTISTRY, ORAL SURGERY & MEDICINE","Score":null,"Total":0}
引用次数: 0

Abstract

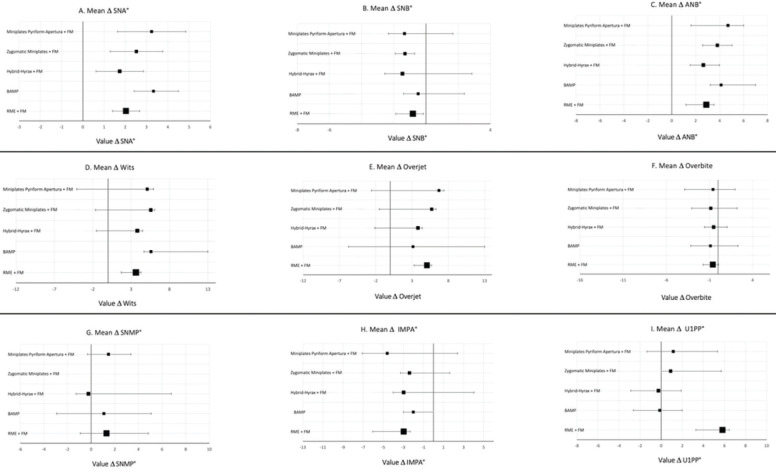
The aim of this systematic review was to evaluate the clinical outcomes of skeletal anchorage, compared to conventional anchorage, in the treatment of skeletal Class III malocclusion in growing patients. A systematic review was conducted following PRISMA guidelines. A specific search strategy was developed for PubMed, Web of Science, Embase, and Cochrane searching for randomized controlled trials and non-randomized clinical trials. Eleven interventions were assessed, three employing conventional anchorage (group A) and eight skeletal anchorage (group B). Nine pre-treatment (T0) and post-treatment (T1) mean cephalometric outcomes were statistically polled (SNA, SNB, ANB, Wits, Overjet, Overbite, SNMP, IMPA, U1PP). In total, 196 studies were identified, 17 studies were included in the qualitative and quantitative analysis. In the skeletal anchorage group, a greater increase in both ANB (+2.511°) and Wits (+4.691 mm) were observed and the increase in SNMP resulted well-controlled (+0.758°). The conventional anchorage group showed higher dentoalveolar side effects: increase in U1PP (+5.624°), decrease in IMPA (-0.866°) and increase in overjet (+5.255 mm). Treatments exploiting skeletal anchorage determined a better correction of skeletal Class III, thanks to a combination of greater advancement of the maxilla and more enhanced retrusion of the mandible. In all treatment protocols exploiting dental anchorage, the increase in the inclination of the central incisor resulted significantly greater. Further longitudinal studies are required to evaluate the long-term effects of skeletal anchorage in growing patients.

Abstract Image

Abstract Image

骨骼锚固剂与常规锚固剂在成长患者III类骨科治疗中的临床结果:系统回顾和荟萃分析。
本系统综述的目的是评估骨支抗与传统支抗在治疗生长患者骨III类错牙合中的临床效果。按照PRISMA的指导方针进行了系统的审查。为PubMed、Web of Science、Embase和Cochrane开发了一种特定的搜索策略,用于搜索随机对照试验和非随机临床试验。评估了11种干预措施,其中3种采用常规锚固(A组),8种采用骨骼锚固(B组)。统计9个治疗前(T0)和治疗后(T1)的平均头测量结果(SNA、SNB、ANB、Wits、Overjet、Overbite、SNMP、IMPA、U1PP)。总共确定了196项研究,其中17项研究被纳入定性和定量分析。在骨支具组中,ANB(+2.511°)和Wits (+4.691 mm)均有较大的增加,SNMP的增加得到了很好的控制(+0.758°)。常规支抗组牙槽副反应明显,U1PP升高(+5.624°),IMPA降低(-0.866°),overjet升高(+5.255 mm)。利用骨骼锚定的治疗确定了更好的骨骼III类矫正,这要归功于上颌骨更大的前移和下颌骨更强的后缩。在所有使用牙支抗的治疗方案中,中切牙的倾斜度增加的结果明显更大。需要进一步的纵向研究来评估骨骼锚定对生长患者的长期影响。
本文章由计算机程序翻译,如有差异,请以英文原文为准。
求助全文
约1分钟内获得全文 求助全文
来源期刊
Turkish Journal of Orthodontics
Turkish Journal of Orthodontics Dentistry-Orthodontics
CiteScore
2.10
自引率
9.10%
发文量
34
×
引用
GB/T 7714-2015
复制
MLA
复制
APA
复制
导出至
BibTeX EndNote RefMan NoteFirst NoteExpress
×
提示
您的信息不完整,为了账户安全,请先补充。
现在去补充
×
提示
您因"违规操作"
具体请查看互助需知
我知道了
×
提示
确定
请完成安全验证×
copy
已复制链接
快去分享给好友吧!
我知道了
右上角分享
点击右上角分享
0
联系我们:info@booksci.cn Book学术提供免费学术资源搜索服务,方便国内外学者检索中英文文献。致力于提供最便捷和优质的服务体验。 Copyright © 2023 布克学术 All rights reserved.
京ICP备2023020795号-1
ghs 京公网安备 11010802042870号
Book学术文献互助
Book学术文献互助群
群 号:604180095
Book学术官方微信