Macrophage M2 polarization induced by ANKRD22 in lung adenocarcinoma facilitates tumor angiogenesis.

IF 1.6 4区 医学 Q4 IMMUNOLOGY
Central European Journal of Immunology Pub Date : 2025-01-01 Epub Date: 2025-04-09 DOI:10.5114/ceji.2025.149372
Li Zhou, Dan Ma, Xingxing Li, Jianjiang Jin, Ting Zheng, Ningbo Zhang
{"title":"Macrophage M2 polarization induced by ANKRD22 in lung adenocarcinoma facilitates tumor angiogenesis.","authors":"Li Zhou, Dan Ma, Xingxing Li, Jianjiang Jin, Ting Zheng, Ningbo Zhang","doi":"10.5114/ceji.2025.149372","DOIUrl":null,"url":null,"abstract":"<p><strong>Introduction: </strong>Lung adenocarcinoma (LUAD), the most prevalent lung cancer type, poses a great threat to public health, with its incidence and mortality rates remaining alarmingly high. While ankyrin repeat domain-containing protein 22 (ANKRD22) is linked to the development of multiple cancers, the molecular mechanisms of its impact on the malignant progression of LUAD are not yet fully understood. This study seeks to elucidate the biological role of ANKRD22 in LUAD.</p><p><strong>Material and methods: </strong>ANKRD22 expression in LUAD tissues and cells was assessed using the TCGA-LUAD database and quantitative reverse transcription polymerase chain reaction (qRT-PCR). The polarization of macrophages (derived from THP-1 cells) was examined through qRT-PCR, flow cytometry, and western blot to determine the influence of ANKRD22 on macrophage polarization. The effects of ANKRD22 knockdown on A549 cell proliferation and migration were measured using Cell Counting Kit-8 assay, colony formation, and Transwell assays. The impact of ANKRD22-induced macrophage M2 polarization on human umbilical vein endothelial cell (HUVEC) migration and angiogenesis was evaluated with Transwell and tube formation assays.</p><p><strong>Results: </strong>The expression of ANKRD22 was elevated in LUAD tissue and cellular samples, and its overexpression promoted M2 polarization in macrophages. Blocking ANKRD22-mediated M2 polarization inhibited the migration and tube formation capacity of HUVEC cells.</p><p><strong>Conclusions: </strong>Our findings showed that ANKRD22 mediates the malignant progression of LUAD by inducing M2 polarization of tumor-associated macrophages, thereby promoting angiogenesis.</p>","PeriodicalId":9694,"journal":{"name":"Central European Journal of Immunology","volume":"50 1","pages":"38-51"},"PeriodicalIF":1.6000,"publicationDate":"2025-01-01","publicationTypes":"Journal Article","fieldsOfStudy":null,"isOpenAccess":false,"openAccessPdf":"https://www.ncbi.nlm.nih.gov/pmc/articles/PMC12224268/pdf/","citationCount":"0","resultStr":null,"platform":"Semanticscholar","paperid":null,"PeriodicalName":"Central European Journal of Immunology","FirstCategoryId":"3","ListUrlMain":"https://doi.org/10.5114/ceji.2025.149372","RegionNum":4,"RegionCategory":"医学","ArticlePicture":[],"TitleCN":null,"AbstractTextCN":null,"PMCID":null,"EPubDate":"2025/4/9 0:00:00","PubModel":"Epub","JCR":"Q4","JCRName":"IMMUNOLOGY","Score":null,"Total":0}
引用次数: 0

Abstract

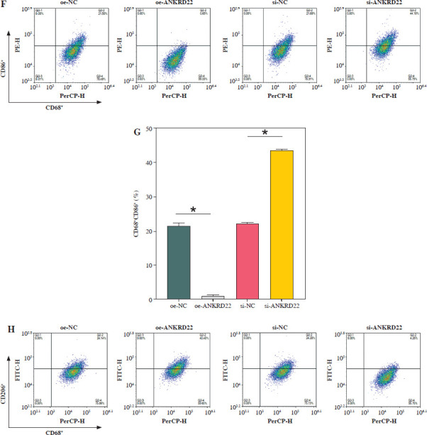
Introduction: Lung adenocarcinoma (LUAD), the most prevalent lung cancer type, poses a great threat to public health, with its incidence and mortality rates remaining alarmingly high. While ankyrin repeat domain-containing protein 22 (ANKRD22) is linked to the development of multiple cancers, the molecular mechanisms of its impact on the malignant progression of LUAD are not yet fully understood. This study seeks to elucidate the biological role of ANKRD22 in LUAD.

Material and methods: ANKRD22 expression in LUAD tissues and cells was assessed using the TCGA-LUAD database and quantitative reverse transcription polymerase chain reaction (qRT-PCR). The polarization of macrophages (derived from THP-1 cells) was examined through qRT-PCR, flow cytometry, and western blot to determine the influence of ANKRD22 on macrophage polarization. The effects of ANKRD22 knockdown on A549 cell proliferation and migration were measured using Cell Counting Kit-8 assay, colony formation, and Transwell assays. The impact of ANKRD22-induced macrophage M2 polarization on human umbilical vein endothelial cell (HUVEC) migration and angiogenesis was evaluated with Transwell and tube formation assays.

Results: The expression of ANKRD22 was elevated in LUAD tissue and cellular samples, and its overexpression promoted M2 polarization in macrophages. Blocking ANKRD22-mediated M2 polarization inhibited the migration and tube formation capacity of HUVEC cells.

Conclusions: Our findings showed that ANKRD22 mediates the malignant progression of LUAD by inducing M2 polarization of tumor-associated macrophages, thereby promoting angiogenesis.

Abstract Image

Abstract Image

Abstract Image

ANKRD22诱导肺腺癌巨噬细胞M2极化促进肿瘤血管生成。
肺腺癌(LUAD)是最常见的肺癌类型,对公众健康构成巨大威胁,其发病率和死亡率仍然高得惊人。虽然锚蛋白重复结构域蛋白22 (ANKRD22)与多种癌症的发展有关,但其影响LUAD恶性进展的分子机制尚不完全清楚。本研究旨在阐明ANKRD22在LUAD中的生物学作用。材料和方法:采用TCGA-LUAD数据库和定量逆转录聚合酶链反应(qRT-PCR)检测ANKRD22在LUAD组织和细胞中的表达。通过qRT-PCR、流式细胞术和western blot检测巨噬细胞(来源于THP-1细胞)的极化情况,以确定ANKRD22对巨噬细胞极化的影响。ANKRD22敲低对A549细胞增殖和迁移的影响采用cell Counting Kit-8法、集落形成法和Transwell法检测。ankrd22诱导的巨噬细胞M2极化对人脐静脉内皮细胞(HUVEC)迁移和血管生成的影响。结果:ANKRD22在LUAD组织和细胞样品中表达升高,其过表达促进巨噬细胞M2极化。阻断ankrd22介导的M2极化可抑制HUVEC细胞的迁移和成管能力。结论:我们的研究结果表明ANKRD22通过诱导肿瘤相关巨噬细胞M2极化介导LUAD的恶性进展,从而促进血管生成。
本文章由计算机程序翻译,如有差异,请以英文原文为准。
求助全文
约1分钟内获得全文 求助全文
来源期刊
CiteScore
3.00
自引率
0.00%
发文量
17
审稿时长
6-12 weeks
期刊介绍: Central European Journal of Immunology is a English-language quarterly aimed mainly at immunologists.
×
引用
GB/T 7714-2015
复制
MLA
复制
APA
复制
导出至
BibTeX EndNote RefMan NoteFirst NoteExpress
×
提示
您的信息不完整,为了账户安全,请先补充。
现在去补充
×
提示
您因"违规操作"
具体请查看互助需知
我知道了
×
提示
确定
请完成安全验证×
copy
已复制链接
快去分享给好友吧!
我知道了
右上角分享
点击右上角分享
0
联系我们:info@booksci.cn Book学术提供免费学术资源搜索服务,方便国内外学者检索中英文文献。致力于提供最便捷和优质的服务体验。 Copyright © 2023 布克学术 All rights reserved.
京ICP备2023020795号-1
ghs 京公网安备 11010802042870号
Book学术文献互助
Book学术文献互助群
群 号:604180095
Book学术官方微信