Studies on PVA/MAA:EA polymer blend films modified by Fe3+ doping

Q3 Immunology and Microbiology
Neeruganti Obularajugari Gopal, Mahammad Hussain Basha, Ojha Pravakar, Yedurupaka Madhav Kumar
{"title":"Studies on PVA/MAA:EA polymer blend films modified by Fe3+ doping","authors":"Neeruganti Obularajugari Gopal,&nbsp;Mahammad Hussain Basha,&nbsp;Ojha Pravakar,&nbsp;Yedurupaka Madhav Kumar","doi":"10.1186/s42649-025-00109-3","DOIUrl":null,"url":null,"abstract":"<div><p>Pristine and Fe (1.0, 2.0, 3.0, 4.0 and 5.0 mol%) doped Polyvinyl alcohol/Methacrylic Acid- Ethyl Acrylate (PVA/MAA:EA) polymer blend films were prepared by solution casting method and characterized by various techniques. TGA analysis validates the occurrence of three distinct weight loss steps attributed to removal of volatile substances from both the surface and interior of the material, as well as the decomposition of the polymer. X-ray diffraction (XRD) investigations confirm a decrease in crystallinity as the dopant concentration increases. Scanning electron microscope (SEM) micrographs show uniform morphology. Fourier transform infrared (FTIR) spectrum exhibits bands characteristic of stretching and bending vibrations of O–H, C–H, C = C and C–O groups and the changes in the spectrum with dopant concentration show the miscibility of dopant with the polymer blend. UV–visible absorption spectra demonstrate the decrease of optical band gap as the concentration of Fe rises and exhibit absorption bands corresponding to the transitions <sup>6</sup>A<sub>1g</sub> → <sup>4</sup>A<sub>1g</sub> and <sup>6</sup>A<sub>1g</sub> → <sup>4</sup>T<sub>2g</sub> of Fe<sup>3+</sup> ions in distorted octahedral symmetry. Electron paramagnetic resonance (EPR) spectra exhibit resonance signals one around g = 2.12 attributed to Fe<sup>3+</sup> ions in the distorted octahedral environment and the other signal around g = 6.8 due to Fe<sup>3+</sup> ions in rhombic symmetry. The number of spins engaged in the resonance as a function of dopant concentration is determined through EPR analysis and the paramagnetic susceptibility is estimated. The conductivity of Fe<sup>3+</sup> ions doped PVA/MAA:EA polymer blend films increases with an increase in Fe<sup>3+</sup> concentration, which is explained in terms of an increase in the amorphous phase due to doping.</p></div>","PeriodicalId":470,"journal":{"name":"Applied Microscopy","volume":"55 1","pages":""},"PeriodicalIF":0.0000,"publicationDate":"2025-07-07","publicationTypes":"Journal Article","fieldsOfStudy":null,"isOpenAccess":false,"openAccessPdf":"https://www.ncbi.nlm.nih.gov/pmc/articles/PMC12229975/pdf/","citationCount":"0","resultStr":null,"platform":"Semanticscholar","paperid":null,"PeriodicalName":"Applied Microscopy","FirstCategoryId":"1085","ListUrlMain":"https://link.springer.com/article/10.1186/s42649-025-00109-3","RegionNum":0,"RegionCategory":null,"ArticlePicture":[],"TitleCN":null,"AbstractTextCN":null,"PMCID":null,"EPubDate":"","PubModel":"","JCR":"Q3","JCRName":"Immunology and Microbiology","Score":null,"Total":0}
引用次数: 0

Abstract

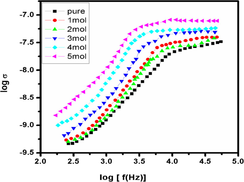
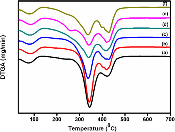
Pristine and Fe (1.0, 2.0, 3.0, 4.0 and 5.0 mol%) doped Polyvinyl alcohol/Methacrylic Acid- Ethyl Acrylate (PVA/MAA:EA) polymer blend films were prepared by solution casting method and characterized by various techniques. TGA analysis validates the occurrence of three distinct weight loss steps attributed to removal of volatile substances from both the surface and interior of the material, as well as the decomposition of the polymer. X-ray diffraction (XRD) investigations confirm a decrease in crystallinity as the dopant concentration increases. Scanning electron microscope (SEM) micrographs show uniform morphology. Fourier transform infrared (FTIR) spectrum exhibits bands characteristic of stretching and bending vibrations of O–H, C–H, C = C and C–O groups and the changes in the spectrum with dopant concentration show the miscibility of dopant with the polymer blend. UV–visible absorption spectra demonstrate the decrease of optical band gap as the concentration of Fe rises and exhibit absorption bands corresponding to the transitions 6A1g → 4A1g and 6A1g → 4T2g of Fe3+ ions in distorted octahedral symmetry. Electron paramagnetic resonance (EPR) spectra exhibit resonance signals one around g = 2.12 attributed to Fe3+ ions in the distorted octahedral environment and the other signal around g = 6.8 due to Fe3+ ions in rhombic symmetry. The number of spins engaged in the resonance as a function of dopant concentration is determined through EPR analysis and the paramagnetic susceptibility is estimated. The conductivity of Fe3+ ions doped PVA/MAA:EA polymer blend films increases with an increase in Fe3+ concentration, which is explained in terms of an increase in the amorphous phase due to doping.

Abstract Image

Abstract Image

Abstract Image

Fe3+掺杂改性PVA/MAA:EA聚合物共混膜的研究。
采用溶液浇铸法制备了原始和Fe(1.0、2.0、3.0、4.0和5.0摩尔%)掺杂聚乙烯醇/甲基丙烯酸-丙烯酸乙酯(PVA/MAA:EA)聚合物共混膜,并用各种技术对其进行了表征。TGA分析证实,由于材料表面和内部挥发性物质的去除以及聚合物的分解,出现了三个不同的失重步骤。x射线衍射(XRD)研究证实,随着掺杂剂浓度的增加,结晶度降低。扫描电镜(SEM)显微图显示均匀的形貌。傅里叶变换红外光谱(FTIR)显示出O-H、C- h、C = C和C- o基团的拉伸和弯曲振动特征,光谱随掺杂剂浓度的变化表明掺杂剂与聚合物共混物的混相性。紫外-可见吸收光谱显示,随着Fe浓度的升高,光学带隙减小,呈现出畸变八面体对称Fe3+离子6A1g→4A1g和6A1g→4T2g跃迁的吸收带。电子顺磁共振(EPR)谱显示出一个在g = 2.12附近的共振信号,一个在g = 6.8附近的共振信号是由畸变八面体环境下的Fe3+离子引起的,另一个是由菱形对称环境下的Fe3+离子引起的。通过EPR分析确定了参与共振的自旋数与掺杂剂浓度的关系,并估计了顺磁化率。Fe3+离子掺杂PVA/MAA:EA聚合物共混膜的电导率随着Fe3+浓度的增加而增加,这可以解释为掺杂导致非晶相的增加。
本文章由计算机程序翻译,如有差异,请以英文原文为准。
求助全文
约1分钟内获得全文 求助全文
来源期刊
Applied Microscopy
Applied Microscopy Immunology and Microbiology-Applied Microbiology and Biotechnology
CiteScore
3.40
自引率
0.00%
发文量
10
审稿时长
10 weeks
期刊介绍: Applied Microscopy is a peer-reviewed journal sponsored by the Korean Society of Microscopy. The journal covers all the interdisciplinary fields of technological developments in new microscopy methods and instrumentation and their applications to biological or materials science for determining structure and chemistry. ISSN: 22875123, 22874445.
×
引用
GB/T 7714-2015
复制
MLA
复制
APA
复制
导出至
BibTeX EndNote RefMan NoteFirst NoteExpress
×
提示
您的信息不完整,为了账户安全,请先补充。
现在去补充
×
提示
您因"违规操作"
具体请查看互助需知
我知道了
×
提示
确定
请完成安全验证×
copy
已复制链接
快去分享给好友吧!
我知道了
右上角分享
点击右上角分享
0
联系我们:info@booksci.cn Book学术提供免费学术资源搜索服务,方便国内外学者检索中英文文献。致力于提供最便捷和优质的服务体验。 Copyright © 2023 布克学术 All rights reserved.
京ICP备2023020795号-1
ghs 京公网安备 11010802042870号
Book学术文献互助
Book学术文献互助群
群 号:604180095
Book学术官方微信