Nutritional adequacy of charitable food aid packages to the needs of different household-types: a case study in Spain.

IF 2.2 Q3 NUTRITION & DIETETICS
E Carrillo-Álvarez, J Muñoz-Martínez, I Cussó-Parcerisas, I Palma-Linares, M G Casucci, K Gunes
{"title":"Nutritional adequacy of charitable food aid packages to the needs of different household-types: a case study in Spain.","authors":"E Carrillo-Álvarez, J Muñoz-Martínez, I Cussó-Parcerisas, I Palma-Linares, M G Casucci, K Gunes","doi":"10.1186/s40795-025-01122-1","DOIUrl":null,"url":null,"abstract":"","PeriodicalId":36422,"journal":{"name":"BMC Nutrition","volume":"11 1","pages":"133"},"PeriodicalIF":2.2000,"publicationDate":"2025-07-05","publicationTypes":"Journal Article","fieldsOfStudy":null,"isOpenAccess":false,"openAccessPdf":"https://www.ncbi.nlm.nih.gov/pmc/articles/PMC12228324/pdf/","citationCount":"0","resultStr":null,"platform":"Semanticscholar","paperid":null,"PeriodicalName":"BMC Nutrition","FirstCategoryId":"1085","ListUrlMain":"https://doi.org/10.1186/s40795-025-01122-1","RegionNum":0,"RegionCategory":null,"ArticlePicture":[],"TitleCN":null,"AbstractTextCN":null,"PMCID":null,"EPubDate":"","PubModel":"","JCR":"Q3","JCRName":"NUTRITION & DIETETICS","Score":null,"Total":0}
引用次数: 0

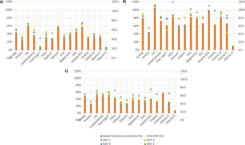
Abstract Image

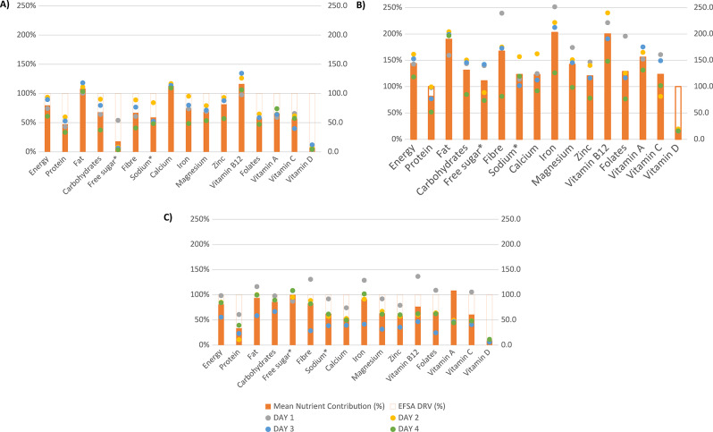
Abstract Image

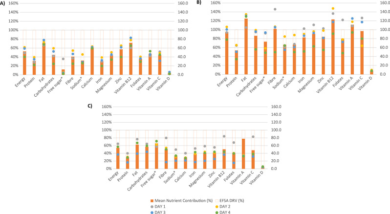
Abstract Image

满足不同家庭类型需要的慈善食品援助包的营养充分性:西班牙个案研究。
本文章由计算机程序翻译,如有差异,请以英文原文为准。
求助全文
约1分钟内获得全文 求助全文
来源期刊
BMC Nutrition
BMC Nutrition Medicine-Public Health, Environmental and Occupational Health
CiteScore
2.80
自引率
0.00%
发文量
131
审稿时长
15 weeks
×
引用
GB/T 7714-2015
复制
MLA
复制
APA
复制
导出至
BibTeX EndNote RefMan NoteFirst NoteExpress
×
提示
您的信息不完整,为了账户安全,请先补充。
现在去补充
×
提示
您因"违规操作"
具体请查看互助需知
我知道了
×
提示
确定
请完成安全验证×
copy
已复制链接
快去分享给好友吧!
我知道了
右上角分享
点击右上角分享
0
联系我们:info@booksci.cn Book学术提供免费学术资源搜索服务,方便国内外学者检索中英文文献。致力于提供最便捷和优质的服务体验。 Copyright © 2023 布克学术 All rights reserved.
京ICP备2023020795号-1
ghs 京公网安备 11010802042870号
Book学术文献互助
Book学术文献互助群
群 号:604180095
Book学术官方微信