Efficacy of Chlorogenic Acid Combined With Cefazolin Against Methicillin-Resistant Staphylococcus aureus Biofilms.

IF 2.6 4区 医学 Q3 INFECTIOUS DISEASES
Borel Ndezo Bisso, Humera Jahan, Jean Paul Dzoyem, M Iqbal Choudhary
{"title":"Efficacy of Chlorogenic Acid Combined With Cefazolin Against Methicillin-Resistant <i>Staphylococcus aureus</i> Biofilms.","authors":"Borel Ndezo Bisso, Humera Jahan, Jean Paul Dzoyem, M Iqbal Choudhary","doi":"10.1155/cjid/6755742","DOIUrl":null,"url":null,"abstract":"<p><p><b>Background:</b> Methicillin-resistant <i>Staphylococcus aureus</i> (MRSA), has the ability to cause biofilm associated chronic infections with a high mortality rate. This creates a demand for the improved antibiofilm therapies. The aim of this study was to evaluate the anti-MRSA and antibiofilm activity of a natural product, chlorogenic acid, in synergy with an antibiotic, cefazolin. <b>Material and Methods:</b> The synergistic effect was measured by the checkerboard method. The antibiofilm activity was analysed by crystal violet staining, MTT assay, and atomic force microscopy (AFM). The cytotoxic effect on Human Embryonic Kidney (HEK 293) cells was determined using the MTT assay. Assays were performed in triplicate, and compared using the one-way ANOVA test. <b>Results:</b> When chlorogenic acid and cefazolin were combined at low concentrations, a strong biofilm inhibition in terms of biofilm biomass (88%), and metabolic activity (82%) was observed, as compared to the results obtained for each compound alone. AFM images of biofilms, treated with chlorogenic acid combined with cefazolin, revealed a high destruction of biofilms and extracellular polymeric substances, as compared to each drug alone. A nontoxic effect on HEK 293 cells was observed for the combination of chlorogenic acid and cefazolin. <b>Conclusion:</b> Chlorogenic acid can be used as an adjuvant with currently used antibiotic in the development of combinatory therapies to treat biofilm-associated bacterial infections.</p>","PeriodicalId":50715,"journal":{"name":"Canadian Journal of Infectious Diseases & Medical Microbiology","volume":"2025 ","pages":"6755742"},"PeriodicalIF":2.6000,"publicationDate":"2025-06-26","publicationTypes":"Journal Article","fieldsOfStudy":null,"isOpenAccess":false,"openAccessPdf":"https://www.ncbi.nlm.nih.gov/pmc/articles/PMC12226163/pdf/","citationCount":"0","resultStr":null,"platform":"Semanticscholar","paperid":null,"PeriodicalName":"Canadian Journal of Infectious Diseases & Medical Microbiology","FirstCategoryId":"3","ListUrlMain":"https://doi.org/10.1155/cjid/6755742","RegionNum":4,"RegionCategory":"医学","ArticlePicture":[],"TitleCN":null,"AbstractTextCN":null,"PMCID":null,"EPubDate":"2025/1/1 0:00:00","PubModel":"eCollection","JCR":"Q3","JCRName":"INFECTIOUS DISEASES","Score":null,"Total":0}
引用次数: 0

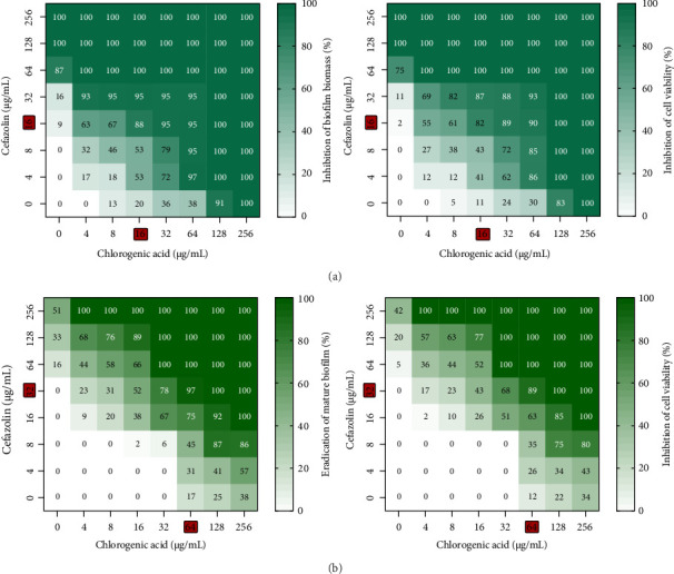
Abstract

Background: Methicillin-resistant Staphylococcus aureus (MRSA), has the ability to cause biofilm associated chronic infections with a high mortality rate. This creates a demand for the improved antibiofilm therapies. The aim of this study was to evaluate the anti-MRSA and antibiofilm activity of a natural product, chlorogenic acid, in synergy with an antibiotic, cefazolin. Material and Methods: The synergistic effect was measured by the checkerboard method. The antibiofilm activity was analysed by crystal violet staining, MTT assay, and atomic force microscopy (AFM). The cytotoxic effect on Human Embryonic Kidney (HEK 293) cells was determined using the MTT assay. Assays were performed in triplicate, and compared using the one-way ANOVA test. Results: When chlorogenic acid and cefazolin were combined at low concentrations, a strong biofilm inhibition in terms of biofilm biomass (88%), and metabolic activity (82%) was observed, as compared to the results obtained for each compound alone. AFM images of biofilms, treated with chlorogenic acid combined with cefazolin, revealed a high destruction of biofilms and extracellular polymeric substances, as compared to each drug alone. A nontoxic effect on HEK 293 cells was observed for the combination of chlorogenic acid and cefazolin. Conclusion: Chlorogenic acid can be used as an adjuvant with currently used antibiotic in the development of combinatory therapies to treat biofilm-associated bacterial infections.

Abstract Image

Abstract Image

Abstract Image

绿原酸联合头孢唑林对耐甲氧西林金黄色葡萄球菌生物膜的疗效观察。
背景:耐甲氧西林金黄色葡萄球菌(MRSA)具有引起生物膜相关慢性感染的能力,死亡率高。这就产生了对改良的抗生素膜疗法的需求。本研究的目的是评估天然产物绿原酸与抗生素头孢唑啉协同作用的抗mrsa和抗生物膜活性。材料与方法:采用棋盘法测定协同效应。采用结晶紫染色法、MTT法和原子力显微镜(AFM)分析其抗菌活性。采用MTT法测定其对人胚胎肾(HEK 293)细胞的细胞毒作用。试验以三份为单位进行,并使用单因素方差分析进行比较。结果:当绿原酸和头孢唑林在低浓度下联合使用时,与单独使用两种化合物相比,在生物膜生物量(88%)和代谢活性(82%)方面观察到较强的生物膜抑制作用。与单独使用每种药物相比,绿原酸联合头孢唑林处理生物膜的AFM图像显示,生物膜和细胞外聚合物物质的破坏程度较高。绿原酸与头孢唑啉联用对HEK 293细胞无毒性作用。结论:绿原酸可作为辅助剂与现有抗生素联合治疗生物膜相关性细菌感染。
本文章由计算机程序翻译,如有差异,请以英文原文为准。
求助全文
约1分钟内获得全文 求助全文
来源期刊
CiteScore
4.30
自引率
0.00%
发文量
108
审稿时长
>12 weeks
期刊介绍: Canadian Journal of Infectious Diseases and Medical Microbiology is a peer-reviewed, Open Access journal that publishes original research articles, review articles, and clinical studies related to infectious diseases of bacterial, viral and parasitic origin. The journal welcomes articles describing research on pathogenesis, epidemiology of infection, diagnosis and treatment, antibiotics and resistance, and immunology.
×
引用
GB/T 7714-2015
复制
MLA
复制
APA
复制
导出至
BibTeX EndNote RefMan NoteFirst NoteExpress
×
提示
您的信息不完整,为了账户安全,请先补充。
现在去补充
×
提示
您因"违规操作"
具体请查看互助需知
我知道了
×
提示
确定
请完成安全验证×
copy
已复制链接
快去分享给好友吧!
我知道了
右上角分享
点击右上角分享
0
联系我们:info@booksci.cn Book学术提供免费学术资源搜索服务,方便国内外学者检索中英文文献。致力于提供最便捷和优质的服务体验。 Copyright © 2023 布克学术 All rights reserved.
京ICP备2023020795号-1
ghs 京公网安备 11010802042870号
Book学术文献互助
Book学术文献互助群
群 号:604180095
Book学术官方微信