Efficacy and Safety of Warm Acupuncture Compared to Gabapentin for Pain Management in Patients with Sciatica in Bhutan: A Randomized Controlled (ACUWARM) Trial.

IF 3.3 Q1 INTEGRATIVE & COMPLEMENTARY MEDICINE
Dorji Gyeltshen, Thinley Dorji, Karma Tenzin, Tshering Choeda, Mongal Singh Gurung, Krit Pongpirul, Li Jing
{"title":"Efficacy and Safety of Warm Acupuncture Compared to Gabapentin for Pain Management in Patients with Sciatica in Bhutan: A Randomized Controlled (ACUWARM) Trial.","authors":"Dorji Gyeltshen, Thinley Dorji, Karma Tenzin, Tshering Choeda, Mongal Singh Gurung, Krit Pongpirul, Li Jing","doi":"10.1177/2515690X251355513","DOIUrl":null,"url":null,"abstract":"<p><p>IntroductionSciatica is a significant health issue, primarily affecting the young population, and causes considerable distress. Acupuncture has been investigated as a potential treatment to address the gap in effective management options for sciatica. This study aimed to compare pain severity, disability, and quality of life, and adverse events in subjects with sciatica receiving warm acupuncture compared those receiving oral gabapentin.MethodsThis randomized controlled non-inferiority clinical trial involved the use of the minimization technique for randomization. Seventy participants were enrolled and divided into two groups: Warm Acupuncture Group and Gabapentin Group.ResultsOn Day 15, the Visual Analogue Scale (VAS) score was significantly lower in the acupuncture group compared to the gabapentin group (4.3 vs 5.2, <i>P</i> = .029). On Day 30, the VAS score further decreased in the acupuncture group (1.4 vs 3.6, <i>P</i> < .001). Warm acupuncture demonstrated non-inferiority in reducing low back pain at Day 30 and showed significant improvement in gluteal, thigh, and leg pain scores on Days 15 and 30. Improvements in disability scores were significantly higher in the acupuncture group on Days 15 (73.7% vs 22.3%) and Day 30 (92.3% vs 44.6%). No adverse events related to warm acupuncture were reported.ConclusionThe standardized protocol of warm acupuncture was non-inferior to gabapentin in reducing pain severity by Days 15 and 30. Warm acupuncture resulted in higher improvements in disability scores with no reported adverse events. Thus, warm acupuncture presents a viable alternative to gabapentin for managing pain in patients with sciatica.</p>","PeriodicalId":15714,"journal":{"name":"Journal of Evidence-based Integrative Medicine","volume":"30 ","pages":"2515690X251355513"},"PeriodicalIF":3.3000,"publicationDate":"2025-01-01","publicationTypes":"Journal Article","fieldsOfStudy":null,"isOpenAccess":false,"openAccessPdf":"https://www.ncbi.nlm.nih.gov/pmc/articles/PMC12227939/pdf/","citationCount":"0","resultStr":null,"platform":"Semanticscholar","paperid":null,"PeriodicalName":"Journal of Evidence-based Integrative Medicine","FirstCategoryId":"1085","ListUrlMain":"https://doi.org/10.1177/2515690X251355513","RegionNum":0,"RegionCategory":null,"ArticlePicture":[],"TitleCN":null,"AbstractTextCN":null,"PMCID":null,"EPubDate":"2025/7/3 0:00:00","PubModel":"Epub","JCR":"Q1","JCRName":"INTEGRATIVE & COMPLEMENTARY MEDICINE","Score":null,"Total":0}
引用次数: 0

Abstract

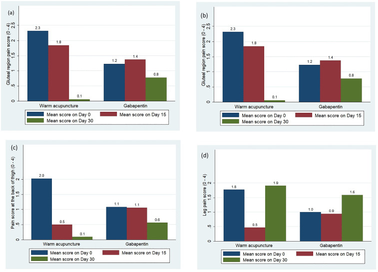
IntroductionSciatica is a significant health issue, primarily affecting the young population, and causes considerable distress. Acupuncture has been investigated as a potential treatment to address the gap in effective management options for sciatica. This study aimed to compare pain severity, disability, and quality of life, and adverse events in subjects with sciatica receiving warm acupuncture compared those receiving oral gabapentin.MethodsThis randomized controlled non-inferiority clinical trial involved the use of the minimization technique for randomization. Seventy participants were enrolled and divided into two groups: Warm Acupuncture Group and Gabapentin Group.ResultsOn Day 15, the Visual Analogue Scale (VAS) score was significantly lower in the acupuncture group compared to the gabapentin group (4.3 vs 5.2, P = .029). On Day 30, the VAS score further decreased in the acupuncture group (1.4 vs 3.6, P < .001). Warm acupuncture demonstrated non-inferiority in reducing low back pain at Day 30 and showed significant improvement in gluteal, thigh, and leg pain scores on Days 15 and 30. Improvements in disability scores were significantly higher in the acupuncture group on Days 15 (73.7% vs 22.3%) and Day 30 (92.3% vs 44.6%). No adverse events related to warm acupuncture were reported.ConclusionThe standardized protocol of warm acupuncture was non-inferior to gabapentin in reducing pain severity by Days 15 and 30. Warm acupuncture resulted in higher improvements in disability scores with no reported adverse events. Thus, warm acupuncture presents a viable alternative to gabapentin for managing pain in patients with sciatica.

Abstract Image

Abstract Image

Abstract Image

温针与加巴喷丁对不丹坐骨神经痛患者疼痛管理的疗效和安全性:一项随机对照(ACUWARM)试验。
坐骨神经痛是一个重要的健康问题,主要影响年轻人,并引起相当大的痛苦。针刺已被研究作为一种潜在的治疗方法,以解决坐骨神经痛的有效管理选择的差距。本研究旨在比较坐骨神经痛患者接受温针治疗与口服加巴喷丁治疗的疼痛严重程度、残疾、生活质量和不良事件。方法本随机对照非劣效性临床试验采用最小化技术进行随机化。70名参与者被分为两组:温针组和加巴喷丁组。结果第15天,针刺组VAS评分显著低于加巴喷丁组(4.3 vs 5.2, P = 0.029)。第30天,针刺组VAS评分进一步下降(1.4 vs 3.6, P
本文章由计算机程序翻译,如有差异,请以英文原文为准。
求助全文
约1分钟内获得全文 求助全文
来源期刊
Journal of Evidence-based Integrative Medicine
Journal of Evidence-based Integrative Medicine INTEGRATIVE & COMPLEMENTARY MEDICINE-
CiteScore
5.90
自引率
0.00%
发文量
43
审稿时长
15 weeks
×
引用
GB/T 7714-2015
复制
MLA
复制
APA
复制
导出至
BibTeX EndNote RefMan NoteFirst NoteExpress
×
提示
您的信息不完整,为了账户安全,请先补充。
现在去补充
×
提示
您因"违规操作"
具体请查看互助需知
我知道了
×
提示
确定
请完成安全验证×
copy
已复制链接
快去分享给好友吧!
我知道了
右上角分享
点击右上角分享
0
联系我们:info@booksci.cn Book学术提供免费学术资源搜索服务,方便国内外学者检索中英文文献。致力于提供最便捷和优质的服务体验。 Copyright © 2023 布克学术 All rights reserved.
京ICP备2023020795号-1
ghs 京公网安备 11010802042870号
Book学术文献互助
Book学术文献互助群
群 号:604180095
Book学术官方微信