Reactivity of [{Cp'Fe(μ-I)}2] toward 3-phospha- and 3-arsaethynolate

IF 3.7 2区 化学 Q2 CHEMISTRY, MULTIDISCIPLINARY
Dr. Katharina Münster, Jasper Mindner, William-Dale Möller, Dr. Dirk Baabe, Dr. Iker del Rosal, Prof. Dr. Laurent Maron, Prof. Dr. Marc D. Walter
{"title":"Reactivity of [{Cp'Fe(μ-I)}2] toward 3-phospha- and 3-arsaethynolate","authors":"Dr. Katharina Münster,&nbsp;Jasper Mindner,&nbsp;William-Dale Möller,&nbsp;Dr. Dirk Baabe,&nbsp;Dr. Iker del Rosal,&nbsp;Prof. Dr. Laurent Maron,&nbsp;Prof. Dr. Marc D. Walter","doi":"10.1002/chem.202501339","DOIUrl":null,"url":null,"abstract":"<p>[{Cp'Fe(μ-I)}<sub>2</sub>] (<b>I</b>; Cp’ = η<sup>5</sup>–1,2,4-(Me<sub>3</sub>C)<sub>3</sub>C<sub>5</sub>H<sub>2</sub>) reacts with [Na(OCP)(1,4-dioxane)<sub>x</sub>] and K(OCAs) to yield [(Cp'Fe)<sub>2</sub>(μ-η<sup>2</sup>:η<sup>2</sup>-P<sub>2</sub>)(μ-CO)] (<b>1</b>) and [(Cp'Fe)<sub>2</sub>(μ-η<sup>2</sup>:η<sup>2</sup>-As<sub>2</sub>)(μ-CO)] (<b>3</b>), respectively. While complex <b>1</b> was previously accessed by <i>Scherer</i> and co-workers using rather harsh reaction conditions, the new synthetic method already proceeds at ambient temperature. UV-light irradiation of <b>1</b> and <b>3</b> induces CO release forming complexes [(Cp'Fe)<sub>2</sub>(μ-η<sup>2</sup>:η<sup>2</sup>-E<sub>2</sub>)] (E = P (<b>2</b>) and As (<b>4</b>)), respectively. However, both reactions also yielded several byproducts which were spectroscopically identified. Furthermore, upon thermally triggered CO elimination from <b>3</b> the Fe<sub>3</sub>As<sub>6</sub>-cluster [(Cp'Fe)<sub>3</sub>(As<sub>3</sub>)<sub>2</sub>] (<b>5</b>) is isolated in low yield. In addition, zero-field <sup>57</sup>Fe Mössbauer spectra were recorded on complexes <b>1</b>–<b>4</b> and computational studies complement the experimental findings and provide additional insights into the bonding in these complexes and the reaction pathways resulting in the formation of complexes <b>1</b>–<b>4</b>.</p>","PeriodicalId":144,"journal":{"name":"Chemistry - A European Journal","volume":"31 41","pages":""},"PeriodicalIF":3.7000,"publicationDate":"2025-07-04","publicationTypes":"Journal Article","fieldsOfStudy":null,"isOpenAccess":false,"openAccessPdf":"https://onlinelibrary.wiley.com/doi/epdf/10.1002/chem.202501339","citationCount":"0","resultStr":null,"platform":"Semanticscholar","paperid":null,"PeriodicalName":"Chemistry - A European Journal","FirstCategoryId":"92","ListUrlMain":"https://chemistry-europe.onlinelibrary.wiley.com/doi/10.1002/chem.202501339","RegionNum":2,"RegionCategory":"化学","ArticlePicture":[],"TitleCN":null,"AbstractTextCN":null,"PMCID":null,"EPubDate":"","PubModel":"","JCR":"Q2","JCRName":"CHEMISTRY, MULTIDISCIPLINARY","Score":null,"Total":0}
引用次数: 0

Abstract

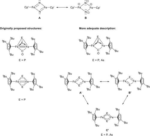
[{Cp'Fe(μ-I)}2] (I; Cp’ = η5–1,2,4-(Me3C)3C5H2) reacts with [Na(OCP)(1,4-dioxane)x] and K(OCAs) to yield [(Cp'Fe)2(μ-η22-P2)(μ-CO)] (1) and [(Cp'Fe)2(μ-η22-As2)(μ-CO)] (3), respectively. While complex 1 was previously accessed by Scherer and co-workers using rather harsh reaction conditions, the new synthetic method already proceeds at ambient temperature. UV-light irradiation of 1 and 3 induces CO release forming complexes [(Cp'Fe)2(μ-η22-E2)] (E = P (2) and As (4)), respectively. However, both reactions also yielded several byproducts which were spectroscopically identified. Furthermore, upon thermally triggered CO elimination from 3 the Fe3As6-cluster [(Cp'Fe)3(As3)2] (5) is isolated in low yield. In addition, zero-field 57Fe Mössbauer spectra were recorded on complexes 14 and computational studies complement the experimental findings and provide additional insights into the bonding in these complexes and the reaction pathways resulting in the formation of complexes 14.

Abstract Image

Abstract Image

Abstract Image

Abstract Image

[{Cp'Fe(μ-I)}2]对3-磷酸和3-氨基乙酯的反应性。
[{Cp 'Fe(μ- I)} 2](我;Cp =η5 - 1,2,4 - (Me3C) 3 c5h2)反应(Na ((OCP)(1,4 -二恶烷)x)和K(亚奥理事会)收益率[(Cp 'Fe) 2(μ-η2:η2 p2)(μco)](1)和((Cp 'Fe) 2(μ-η2:η2-As2)(μ有限公司))(3),分别。先前,Scherer和他的同事在相当苛刻的反应条件下获得了1号复合物,而新的合成方法已经在室温下进行了。紫外光照射1和3诱导CO释放形成配合物[(Cp'Fe)2(μ-η2:η2-E2)] (E = P(2)和As(4))。然而,这两种反应也产生了几种经光谱鉴定的副产物。此外,通过热触发CO从3中消除,fe3as6簇[(Cp'Fe)3(As3)2](5)在低产率下被分离出来。此外,在配合物1-4上记录了零场57Fe Mössbauer光谱,计算研究补充了实验结果,并提供了这些配合物中的键合以及导致配合物1-4形成的反应途径的额外见解。
本文章由计算机程序翻译,如有差异,请以英文原文为准。
求助全文
约1分钟内获得全文 求助全文
来源期刊
Chemistry - A European Journal
Chemistry - A European Journal 化学-化学综合
CiteScore
7.90
自引率
4.70%
发文量
1808
审稿时长
1.8 months
期刊介绍: Chemistry—A European Journal is a truly international journal with top quality contributions (2018 ISI Impact Factor: 5.16). It publishes a wide range of outstanding Reviews, Minireviews, Concepts, Full Papers, and Communications from all areas of chemistry and related fields. Based in Europe Chemistry—A European Journal provides an excellent platform for increasing the visibility of European chemistry as well as for featuring the best research from authors from around the world. All manuscripts are peer-reviewed, and electronic processing ensures accurate reproduction of text and data, plus short publication times. The Concepts section provides nonspecialist readers with a useful conceptual guide to unfamiliar areas and experts with new angles on familiar problems. Chemistry—A European Journal is published on behalf of ChemPubSoc Europe, a group of 16 national chemical societies from within Europe, and supported by the Asian Chemical Editorial Societies. The ChemPubSoc Europe family comprises: Angewandte Chemie, Chemistry—A European Journal, European Journal of Organic Chemistry, European Journal of Inorganic Chemistry, ChemPhysChem, ChemBioChem, ChemMedChem, ChemCatChem, ChemSusChem, ChemPlusChem, ChemElectroChem, and ChemistryOpen.
×
引用
GB/T 7714-2015
复制
MLA
复制
APA
复制
导出至
BibTeX EndNote RefMan NoteFirst NoteExpress
×
提示
您的信息不完整,为了账户安全,请先补充。
现在去补充
×
提示
您因"违规操作"
具体请查看互助需知
我知道了
×
提示
确定
请完成安全验证×
copy
已复制链接
快去分享给好友吧!
我知道了
右上角分享
点击右上角分享
0
联系我们:info@booksci.cn Book学术提供免费学术资源搜索服务,方便国内外学者检索中英文文献。致力于提供最便捷和优质的服务体验。 Copyright © 2023 布克学术 All rights reserved.
京ICP备2023020795号-1
ghs 京公网安备 11010802042870号
Book学术文献互助
Book学术文献互助群
群 号:604180095
Book学术官方微信