Delusional Distress is Associated With Emotion Dysregulation in Schizophrenia-Spectrum Disorders.

IF 2
Schizophrenia bulletin open Pub Date : 2025-05-23 eCollection Date: 2025-01-01 DOI:10.1093/schizbullopen/sgaf010
Essence Leslie, Lauren P Weittenhiller, Ali F Sloan, Julia M Sheffield
{"title":"Delusional Distress is Associated With Emotion Dysregulation in Schizophrenia-Spectrum Disorders.","authors":"Essence Leslie, Lauren P Weittenhiller, Ali F Sloan, Julia M Sheffield","doi":"10.1093/schizbullopen/sgaf010","DOIUrl":null,"url":null,"abstract":"<p><strong>Background and hypothesis: </strong>The distressing nature of delusional beliefs is considered key to their persistence. One potential mechanism underlying delusional distress is global emotion dysregulation. Global emotion dysregulation is associated with general psychotic symptom severity, but its specific relationship to delusional distress has yet to be closely examined.</p><p><strong>Study design: </strong>People with (<i>n</i> = 100) and without (<i>n</i> = 52) schizophrenia-spectrum disorders completed measures of delusional ideation (Peters Delusion Inventory; PDI-21) and global emotion dysregulation (Difficulties in Emotion Regulation Scale; DERS-16). Participants with schizophrenia also completed a measure of delusion severity (Psychotic Symptom Rating Scales; PSYRATS). Relationships between delusion severity and global emotion dysregulation were assessed with linear regression, controlling for age, sex, and group. Associations between delusional distress and aspects of emotion dysregulation were determined using stepwise linear regression.</p><p><strong>Study results: </strong>Global emotion dysregulation was significantly elevated in those with schizophrenia compared to non-clinical controls, across all subscales (<i>P</i> < .001). Emotion dysregulation was significantly associated with delusional distress on both the PDI-21 (<i>P</i> < .001) and PSYRATS (<i>P</i> < .001). Stepwise regressions revealed a specific association between limited access to emotion regulation strategies and delusional distress on both scales (<i>P</i>'s < .001). Delusional distress remained associated with emotion dysregulation when controlling for delusional preoccupation, and emotion dysregulation was not significantly associated with delusional conviction on either scale.</p><p><strong>Conclusions: </strong>Emotion dysregulation, particularly the sense that there is little one can do to regulate themselves when upset, relates to delusional distress. Interventions that increase access to more emotion regulation strategies may help decrease distress associated with delusional thinking.</p>","PeriodicalId":94380,"journal":{"name":"Schizophrenia bulletin open","volume":"6 1","pages":"sgaf010"},"PeriodicalIF":2.0000,"publicationDate":"2025-05-23","publicationTypes":"Journal Article","fieldsOfStudy":null,"isOpenAccess":false,"openAccessPdf":"https://www.ncbi.nlm.nih.gov/pmc/articles/PMC12216900/pdf/","citationCount":"0","resultStr":null,"platform":"Semanticscholar","paperid":null,"PeriodicalName":"Schizophrenia bulletin open","FirstCategoryId":"1085","ListUrlMain":"https://doi.org/10.1093/schizbullopen/sgaf010","RegionNum":0,"RegionCategory":null,"ArticlePicture":[],"TitleCN":null,"AbstractTextCN":null,"PMCID":null,"EPubDate":"2025/1/1 0:00:00","PubModel":"eCollection","JCR":"","JCRName":"","Score":null,"Total":0}
引用次数: 0

Abstract

Background and hypothesis: The distressing nature of delusional beliefs is considered key to their persistence. One potential mechanism underlying delusional distress is global emotion dysregulation. Global emotion dysregulation is associated with general psychotic symptom severity, but its specific relationship to delusional distress has yet to be closely examined.

Study design: People with (n = 100) and without (n = 52) schizophrenia-spectrum disorders completed measures of delusional ideation (Peters Delusion Inventory; PDI-21) and global emotion dysregulation (Difficulties in Emotion Regulation Scale; DERS-16). Participants with schizophrenia also completed a measure of delusion severity (Psychotic Symptom Rating Scales; PSYRATS). Relationships between delusion severity and global emotion dysregulation were assessed with linear regression, controlling for age, sex, and group. Associations between delusional distress and aspects of emotion dysregulation were determined using stepwise linear regression.

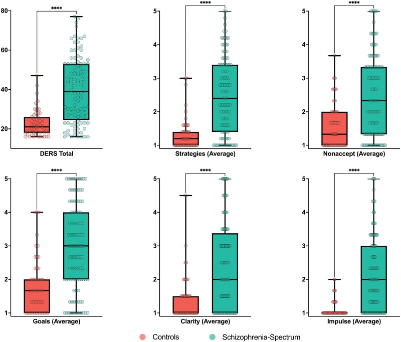
Study results: Global emotion dysregulation was significantly elevated in those with schizophrenia compared to non-clinical controls, across all subscales (P < .001). Emotion dysregulation was significantly associated with delusional distress on both the PDI-21 (P < .001) and PSYRATS (P < .001). Stepwise regressions revealed a specific association between limited access to emotion regulation strategies and delusional distress on both scales (P's < .001). Delusional distress remained associated with emotion dysregulation when controlling for delusional preoccupation, and emotion dysregulation was not significantly associated with delusional conviction on either scale.

Conclusions: Emotion dysregulation, particularly the sense that there is little one can do to regulate themselves when upset, relates to delusional distress. Interventions that increase access to more emotion regulation strategies may help decrease distress associated with delusional thinking.

Abstract Image

Abstract Image

Abstract Image

妄想性痛苦与精神分裂症谱系障碍的情绪失调有关。
背景与假设:妄想信念的痛苦本质被认为是其持续存在的关键。妄想性痛苦的一个潜在机制是整体情绪失调。整体情绪失调与一般精神病症状的严重程度有关,但其与妄想性痛苦的具体关系尚未得到仔细研究。研究设计:有(n = 100)和没有(n = 52)精神分裂症谱系障碍的人完成了妄想观念的测量(彼得斯妄想量表;PDI-21)和整体情绪失调(情绪调节困难量表;DERS-16)。精神分裂症患者还完成了一项妄想严重程度的测量(精神病症状评定量表;PSYRATS)。在控制年龄、性别和群体的情况下,用线性回归评估妄想严重程度与整体情绪失调之间的关系。妄想痛苦和情绪失调各方面之间的关联采用逐步线性回归确定。研究结果:与非临床对照组相比,精神分裂症患者的整体情绪失调在所有亚量表中都显著升高(P P P P结论:情绪失调,特别是当人们感到沮丧时几乎无法调节自己的感觉,与妄想性痛苦有关。增加获得更多情绪调节策略的干预可能有助于减少与妄想思维相关的痛苦。
本文章由计算机程序翻译,如有差异,请以英文原文为准。
求助全文
约1分钟内获得全文 求助全文
来源期刊
CiteScore
2.90
自引率
0.00%
发文量
0
×
引用
GB/T 7714-2015
复制
MLA
复制
APA
复制
导出至
BibTeX EndNote RefMan NoteFirst NoteExpress
×
提示
您的信息不完整,为了账户安全,请先补充。
现在去补充
×
提示
您因"违规操作"
具体请查看互助需知
我知道了
×
提示
确定
请完成安全验证×
copy
已复制链接
快去分享给好友吧!
我知道了
右上角分享
点击右上角分享
0
联系我们:info@booksci.cn Book学术提供免费学术资源搜索服务,方便国内外学者检索中英文文献。致力于提供最便捷和优质的服务体验。 Copyright © 2023 布克学术 All rights reserved.
京ICP备2023020795号-1
ghs 京公网安备 11010802042870号
Book学术文献互助
Book学术文献互助群
群 号:604180095
Book学术官方微信