Impact of peripheral skin cooling on neuroendocrine leukocytic and hematological reactions during Hypergravity.

IF 4.1 1区 物理与天体物理 Q1 MULTIDISCIPLINARY SCIENCES
Michael Nordine, Niklas Kagelmann, Jan Kloka, Hanns-Christian Gunga, Viktor Heinz, Niklas Pilz, Oliver Opatz, Tomas L Bothe
{"title":"Impact of peripheral skin cooling on neuroendocrine leukocytic and hematological reactions during Hypergravity.","authors":"Michael Nordine, Niklas Kagelmann, Jan Kloka, Hanns-Christian Gunga, Viktor Heinz, Niklas Pilz, Oliver Opatz, Tomas L Bothe","doi":"10.1038/s41526-025-00486-9","DOIUrl":null,"url":null,"abstract":"<p><p>Optimal neuroendocrine responses are essential during hypergravity (+Gz) exposure. Peripheral skin cooling (PSC) may enhance neuroendocrine function, potentially improving +Gz resiliency and influencing leukocyte and hematologic factors. This study investigated whether PSC augments the cumulative +Gz stress index (CGSI) and shifts it toward noradrenergic dependency. Eighteen men underwent a graded +Gz profile in a crossover design, with PSC applied using Arctic Sun cooling pads. Neuroendocrine and blood profiles were assessed pre- and post-+Gz. CGSI did not differ between groups, but serum osmolality increased only in PSC (p = 0.03). In PSC, CGSI correlated with norepinephrine (p < 0.01, r = 0.71) and other markers, suggesting enhanced norepinephrine responsiveness despite similar serum levels. This response may be cardio-protective for space missions and ICU patients. Additionally, baseline serum metanephrine emerged as a potential marker for +Gz resilience, with PSC showing potential leukocytic and hematologic involvement in CGSI.</p>","PeriodicalId":54263,"journal":{"name":"npj Microgravity","volume":"11 1","pages":"30"},"PeriodicalIF":4.1000,"publicationDate":"2025-07-02","publicationTypes":"Journal Article","fieldsOfStudy":null,"isOpenAccess":false,"openAccessPdf":"https://www.ncbi.nlm.nih.gov/pmc/articles/PMC12223314/pdf/","citationCount":"0","resultStr":null,"platform":"Semanticscholar","paperid":null,"PeriodicalName":"npj Microgravity","FirstCategoryId":"1085","ListUrlMain":"https://doi.org/10.1038/s41526-025-00486-9","RegionNum":1,"RegionCategory":"物理与天体物理","ArticlePicture":[],"TitleCN":null,"AbstractTextCN":null,"PMCID":null,"EPubDate":"","PubModel":"","JCR":"Q1","JCRName":"MULTIDISCIPLINARY SCIENCES","Score":null,"Total":0}
引用次数: 0

Abstract

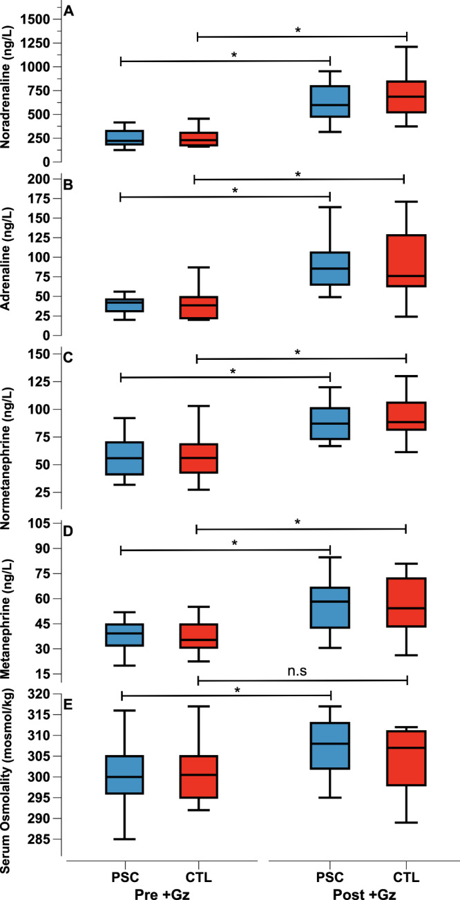
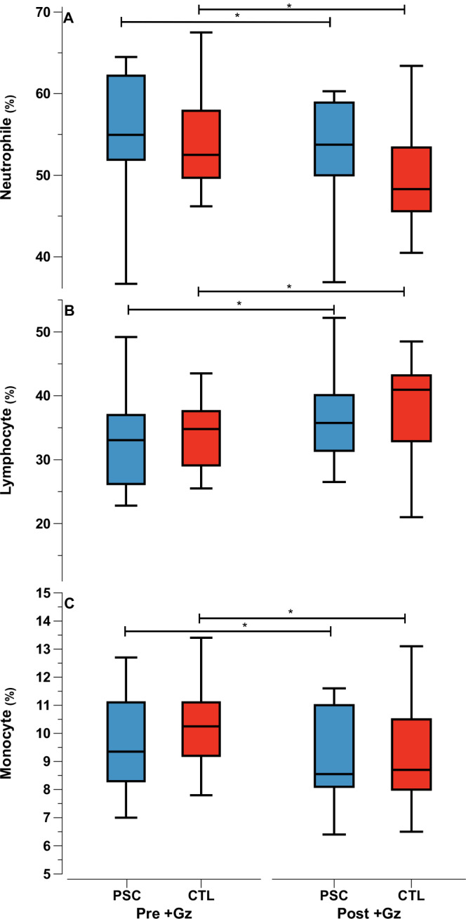
Optimal neuroendocrine responses are essential during hypergravity (+Gz) exposure. Peripheral skin cooling (PSC) may enhance neuroendocrine function, potentially improving +Gz resiliency and influencing leukocyte and hematologic factors. This study investigated whether PSC augments the cumulative +Gz stress index (CGSI) and shifts it toward noradrenergic dependency. Eighteen men underwent a graded +Gz profile in a crossover design, with PSC applied using Arctic Sun cooling pads. Neuroendocrine and blood profiles were assessed pre- and post-+Gz. CGSI did not differ between groups, but serum osmolality increased only in PSC (p = 0.03). In PSC, CGSI correlated with norepinephrine (p < 0.01, r = 0.71) and other markers, suggesting enhanced norepinephrine responsiveness despite similar serum levels. This response may be cardio-protective for space missions and ICU patients. Additionally, baseline serum metanephrine emerged as a potential marker for +Gz resilience, with PSC showing potential leukocytic and hematologic involvement in CGSI.

Abstract Image

Abstract Image

Abstract Image

外周皮肤冷却对超重力时神经内分泌、白细胞和血液学反应的影响。
在超重力(+Gz)暴露期间,最佳的神经内分泌反应是必不可少的。外周皮肤冷却(PSC)可能增强神经内分泌功能,潜在地改善+Gz弹性并影响白细胞和血液因子。本研究探讨了PSC是否增加了累积+Gz应激指数(CGSI)并将其转向去肾上腺素能依赖性。在交叉设计中,18名男性接受了分级+Gz剖面,PSC应用于北极太阳冷却垫。神经内分泌和血液分析评估前和后+Gz。CGSI组间无差异,但血清渗透压仅在PSC组升高(p = 0.03)。PSC中,CGSI与去甲肾上腺素相关(p
本文章由计算机程序翻译,如有差异,请以英文原文为准。
求助全文
约1分钟内获得全文 求助全文
来源期刊
npj Microgravity
npj Microgravity Physics and Astronomy-Physics and Astronomy (miscellaneous)
CiteScore
7.30
自引率
7.80%
发文量
50
审稿时长
9 weeks
期刊介绍: A new open access, online-only, multidisciplinary research journal, npj Microgravity is dedicated to publishing the most important scientific advances in the life sciences, physical sciences, and engineering fields that are facilitated by spaceflight and analogue platforms.
×
引用
GB/T 7714-2015
复制
MLA
复制
APA
复制
导出至
BibTeX EndNote RefMan NoteFirst NoteExpress
×
提示
您的信息不完整,为了账户安全,请先补充。
现在去补充
×
提示
您因"违规操作"
具体请查看互助需知
我知道了
×
提示
确定
请完成安全验证×
copy
已复制链接
快去分享给好友吧!
我知道了
右上角分享
点击右上角分享
0
联系我们:info@booksci.cn Book学术提供免费学术资源搜索服务,方便国内外学者检索中英文文献。致力于提供最便捷和优质的服务体验。 Copyright © 2023 布克学术 All rights reserved.
京ICP备2023020795号-1
ghs 京公网安备 11010802042870号
Book学术文献互助
Book学术文献互助群
群 号:604180095
Book学术官方微信