Allostatic load dynamics, Alzheimer's disease biomarkers, and progression in individuals with mild cognitive impairment: findings from the Alzheimer's Disease Neuroimaging Initiative.

IF 4.4 Q1 CLINICAL NEUROLOGY
Juliana N Souza-Talarico, Yelena Perkhounkova, Maria Hein, Jihye Lee, Marco Hefti, Shireen Sindi
{"title":"Allostatic load dynamics, Alzheimer's disease biomarkers, and progression in individuals with mild cognitive impairment: findings from the Alzheimer's Disease Neuroimaging Initiative.","authors":"Juliana N Souza-Talarico, Yelena Perkhounkova, Maria Hein, Jihye Lee, Marco Hefti, Shireen Sindi","doi":"10.1002/dad2.70140","DOIUrl":null,"url":null,"abstract":"<p><p>Allostatic load (AL), reflecting chronic stress, is linked to cognitive decline, but its role in the Alzheimer's disease (AD) continuum needs further study. We examined the relationship between AL, progression from mild cognitive impairment (MCI) to mild dementia due to AD, and AD biomarkers. We analyzed 385 MCI individuals over 36 months using Alzheimer's Disease Neuroimaging Initiative (ADNI) data. AL index (ALI) changes over 12 months were calculated using plasma neuroendocrine, immunological, and metabolic markers. AD biomarkers included plasma amyloid beta 42 (Aβ42), cerebrospinal fluid (CSF) Aβ1-42, tau, and hippocampus volume. A one-point ALI increase was associated with MCI conversion odds by 15%. ALI increased in those progressing to mild dementia due to AD and decreased in MCI stable participants. ALI increases were linked to high CSF tau, plasma Aβ42, and low CSF Aβ1-42, moderated by age, <i>APOE</i> ε4, and baseline tau levels. AL may interact with age and genetic risk, impacting AD biomarkers and MCI progression.</p><p><strong>Highlights: </strong>ALI increase raises MCI to AD conversion odds by 15%.ALI increases in those progressing to AD and decreases in stable participants.Higher ALI was linked to high CSF tau, plasma Aβ42, and low CSF Aβ1-42These associations were moderated by age, <i>APOE</i> ε4 status, and baseline CSF tau.</p>","PeriodicalId":53226,"journal":{"name":"Alzheimer''s and Dementia: Diagnosis, Assessment and Disease Monitoring","volume":"17 3","pages":"e70140"},"PeriodicalIF":4.4000,"publicationDate":"2025-07-01","publicationTypes":"Journal Article","fieldsOfStudy":null,"isOpenAccess":false,"openAccessPdf":"https://www.ncbi.nlm.nih.gov/pmc/articles/PMC12213454/pdf/","citationCount":"0","resultStr":null,"platform":"Semanticscholar","paperid":null,"PeriodicalName":"Alzheimer''s and Dementia: Diagnosis, Assessment and Disease Monitoring","FirstCategoryId":"1085","ListUrlMain":"https://doi.org/10.1002/dad2.70140","RegionNum":0,"RegionCategory":null,"ArticlePicture":[],"TitleCN":null,"AbstractTextCN":null,"PMCID":null,"EPubDate":"","PubModel":"","JCR":"Q1","JCRName":"CLINICAL NEUROLOGY","Score":null,"Total":0}
引用次数: 0

Abstract

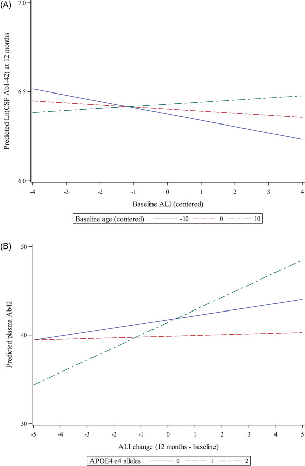
Allostatic load (AL), reflecting chronic stress, is linked to cognitive decline, but its role in the Alzheimer's disease (AD) continuum needs further study. We examined the relationship between AL, progression from mild cognitive impairment (MCI) to mild dementia due to AD, and AD biomarkers. We analyzed 385 MCI individuals over 36 months using Alzheimer's Disease Neuroimaging Initiative (ADNI) data. AL index (ALI) changes over 12 months were calculated using plasma neuroendocrine, immunological, and metabolic markers. AD biomarkers included plasma amyloid beta 42 (Aβ42), cerebrospinal fluid (CSF) Aβ1-42, tau, and hippocampus volume. A one-point ALI increase was associated with MCI conversion odds by 15%. ALI increased in those progressing to mild dementia due to AD and decreased in MCI stable participants. ALI increases were linked to high CSF tau, plasma Aβ42, and low CSF Aβ1-42, moderated by age, APOE ε4, and baseline tau levels. AL may interact with age and genetic risk, impacting AD biomarkers and MCI progression.

Highlights: ALI increase raises MCI to AD conversion odds by 15%.ALI increases in those progressing to AD and decreases in stable participants.Higher ALI was linked to high CSF tau, plasma Aβ42, and low CSF Aβ1-42These associations were moderated by age, APOE ε4 status, and baseline CSF tau.

Abstract Image

Abstract Image

适应负荷动力学、阿尔茨海默病生物标志物和轻度认知障碍个体的进展:来自阿尔茨海默病神经影像学倡议的发现
反映慢性应激的适应负荷(AL)与认知能力下降有关,但其在阿尔茨海默病(AD)连续体中的作用有待进一步研究。我们研究了阿尔茨海默病与阿尔茨海默病生物标志物之间的关系,从轻度认知障碍(MCI)到轻度痴呆的进展。我们使用阿尔茨海默病神经影像学倡议(ADNI)数据分析了385名MCI患者超过36个月。利用血浆神经内分泌、免疫和代谢标志物计算12个月来AL指数(ALI)的变化。AD生物标志物包括血浆淀粉样蛋白β42 (Aβ42)、脑脊液Aβ1-42、tau蛋白和海马体积。ALI每增加1个点,MCI转换几率增加15%。在那些因AD进展为轻度痴呆的患者中,ALI增加,而在MCI稳定的参与者中,ALI降低。ALI升高与高CSF tau、血浆Aβ42和低CSF Aβ1-42有关,并受年龄、APOE ε4和基线tau水平的调节。AL可能与年龄和遗传风险相互作用,影响AD生物标志物和MCI进展。亮点:ALI的增加使MCI转化为AD的几率提高15%。ALI在进展为AD的患者中增加,在病情稳定的患者中减少。ALI升高与高脑脊液tau、血浆Aβ42和低脑脊液a β1-42有关,这些关联与年龄、APOE ε4状态和基线脑脊液tau有关。
本文章由计算机程序翻译,如有差异,请以英文原文为准。
求助全文
约1分钟内获得全文 求助全文
来源期刊
CiteScore
7.80
自引率
7.50%
发文量
101
审稿时长
8 weeks
期刊介绍: Alzheimer''s & Dementia: Diagnosis, Assessment & Disease Monitoring (DADM) is an open access, peer-reviewed, journal from the Alzheimer''s Association® that will publish new research that reports the discovery, development and validation of instruments, technologies, algorithms, and innovative processes. Papers will cover a range of topics interested in the early and accurate detection of individuals with memory complaints and/or among asymptomatic individuals at elevated risk for various forms of memory disorders. The expectation for published papers will be to translate fundamental knowledge about the neurobiology of the disease into practical reports that describe both the conceptual and methodological aspects of the submitted scientific inquiry. Published topics will explore the development of biomarkers, surrogate markers, and conceptual/methodological challenges. Publication priority will be given to papers that 1) describe putative surrogate markers that accurately track disease progression, 2) biomarkers that fulfill international regulatory requirements, 3) reports from large, well-characterized population-based cohorts that comprise the heterogeneity and diversity of asymptomatic individuals and 4) algorithmic development that considers multi-marker arrays (e.g., integrated-omics, genetics, biofluids, imaging, etc.) and advanced computational analytics and technologies.
×
引用
GB/T 7714-2015
复制
MLA
复制
APA
复制
导出至
BibTeX EndNote RefMan NoteFirst NoteExpress
×
提示
您的信息不完整,为了账户安全,请先补充。
现在去补充
×
提示
您因"违规操作"
具体请查看互助需知
我知道了
×
提示
确定
请完成安全验证×
copy
已复制链接
快去分享给好友吧!
我知道了
右上角分享
点击右上角分享
0
联系我们:info@booksci.cn Book学术提供免费学术资源搜索服务,方便国内外学者检索中英文文献。致力于提供最便捷和优质的服务体验。 Copyright © 2023 布克学术 All rights reserved.
京ICP备2023020795号-1
ghs 京公网安备 11010802042870号
Book学术文献互助
Book学术文献互助群
群 号:604180095
Book学术官方微信