Beyond Curriculum Reform: The Influence of Integration on Communication and Presentation Skills in Medical Students: A Mixed-Method Study.

IF 1.7 Q2 EDUCATION, SCIENTIFIC DISCIPLINES
Advances in Medical Education and Practice Pub Date : 2025-06-28 eCollection Date: 2025-01-01 DOI:10.2147/AMEP.S525930
Asmaa F Sharif, Nouran M Moustafa, Sanaa A Abdo, Samar H A Aloshari, Abdulmajeed Al-Dress
{"title":"Beyond Curriculum Reform: The Influence of Integration on Communication and Presentation Skills in Medical Students: A Mixed-Method Study.","authors":"Asmaa F Sharif, Nouran M Moustafa, Sanaa A Abdo, Samar H A Aloshari, Abdulmajeed Al-Dress","doi":"10.2147/AMEP.S525930","DOIUrl":null,"url":null,"abstract":"<p><strong>Purpose: </strong>The present study aimed to explore the current presentation and communication practices among medical students and investigate the influence of adopting an integrated curriculum on communication and presentation skills in different phases, emphasizing the motivating and challenging aspects.</p><p><strong>Methods: </strong>An exploratory mixed-methods two-phase study was conducted among 362 medical students at different phases of the program.</p><p><strong>Results: </strong>The current study conveyed a comparable positive self-perception of the current presentation designs and styles among medical students. More than 72% and 53% of students thought problem and case-based learning positively influenced their communication and presentation skills, respectively. Interns were more likely to identify themselves as storytellers than students in earlier years (7.9/10). Most students (>80%) reported positive perceptions of their pronunciation, tone, volume, and fluency. There was a positive correlation between presentation and communication skills (r=0.534, p=0.000). Approximately 37% of students agreed that problem-based learning and case-based learning improved their presentation and communication skills. The primary reported challenges were the time constraints (40.1%), and the need for more training (34%) and practice (39.2%). Other reported challenges were the high stress levels and complex adaptation to audience expectations. The most motivating factors were the interest in improvement (66.3%), willing to increase self-confidence (64.9%), obtaining high grades (53.3%), and being more efficient (52.5%). Other motivations were exposure to real-world scenarios and the presence of role models. However, while students agreed that their skills are improving, this progress feels slow. Though clinical phase students showed higher achievement of several learning outcomes than younger students, basic science-phase students outperformed their clinical phase counterparts in recognizing the importance of teamwork (93.25% versus 91.16%).</p><p><strong>Conclusion: </strong>The integrated curriculum offers equal opportunities to enhance communication and presentation skills in all phases of the program. Addressing the reported challenges and fostering the motivating factors are advisable.</p>","PeriodicalId":47404,"journal":{"name":"Advances in Medical Education and Practice","volume":"16 ","pages":"1077-1101"},"PeriodicalIF":1.7000,"publicationDate":"2025-06-28","publicationTypes":"Journal Article","fieldsOfStudy":null,"isOpenAccess":false,"openAccessPdf":"https://www.ncbi.nlm.nih.gov/pmc/articles/PMC12219186/pdf/","citationCount":"0","resultStr":null,"platform":"Semanticscholar","paperid":null,"PeriodicalName":"Advances in Medical Education and Practice","FirstCategoryId":"1085","ListUrlMain":"https://doi.org/10.2147/AMEP.S525930","RegionNum":0,"RegionCategory":null,"ArticlePicture":[],"TitleCN":null,"AbstractTextCN":null,"PMCID":null,"EPubDate":"2025/1/1 0:00:00","PubModel":"eCollection","JCR":"Q2","JCRName":"EDUCATION, SCIENTIFIC DISCIPLINES","Score":null,"Total":0}
引用次数: 0

Abstract

Purpose: The present study aimed to explore the current presentation and communication practices among medical students and investigate the influence of adopting an integrated curriculum on communication and presentation skills in different phases, emphasizing the motivating and challenging aspects.

Methods: An exploratory mixed-methods two-phase study was conducted among 362 medical students at different phases of the program.

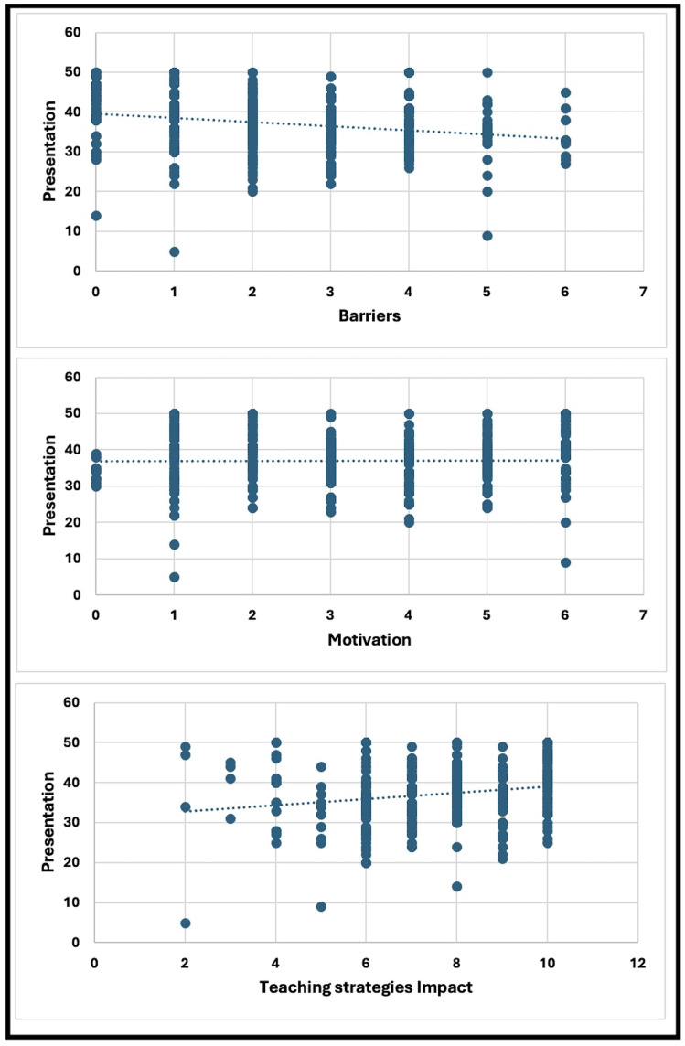
Results: The current study conveyed a comparable positive self-perception of the current presentation designs and styles among medical students. More than 72% and 53% of students thought problem and case-based learning positively influenced their communication and presentation skills, respectively. Interns were more likely to identify themselves as storytellers than students in earlier years (7.9/10). Most students (>80%) reported positive perceptions of their pronunciation, tone, volume, and fluency. There was a positive correlation between presentation and communication skills (r=0.534, p=0.000). Approximately 37% of students agreed that problem-based learning and case-based learning improved their presentation and communication skills. The primary reported challenges were the time constraints (40.1%), and the need for more training (34%) and practice (39.2%). Other reported challenges were the high stress levels and complex adaptation to audience expectations. The most motivating factors were the interest in improvement (66.3%), willing to increase self-confidence (64.9%), obtaining high grades (53.3%), and being more efficient (52.5%). Other motivations were exposure to real-world scenarios and the presence of role models. However, while students agreed that their skills are improving, this progress feels slow. Though clinical phase students showed higher achievement of several learning outcomes than younger students, basic science-phase students outperformed their clinical phase counterparts in recognizing the importance of teamwork (93.25% versus 91.16%).

Conclusion: The integrated curriculum offers equal opportunities to enhance communication and presentation skills in all phases of the program. Addressing the reported challenges and fostering the motivating factors are advisable.

Abstract Image

Abstract Image

Abstract Image

超越课程改革:整合对医学生沟通和表达能力的影响:一项混合方法研究。
摘要目的:本研究旨在探讨医学生的表达与沟通实践现状,探讨采用综合课程对不同阶段医学生表达与沟通技巧的影响,重点关注激励与挑战两个方面。方法:采用探索性混合方法对362名不同阶段的医学生进行两期研究。结果:本研究显示医学生对当前的演讲设计和风格有相当积极的自我认知。超过72%和53%的学生分别认为问题学习和案例学习对他们的沟通和表达能力有积极影响。实习生比早期的学生更有可能认为自己是讲故事的人(7.9/10)。大多数学生(约80%)对自己的发音、语调、音量和流利度有积极的评价。表达能力与沟通能力呈正相关(r=0.534, p=0.000)。大约37%的学生认为基于问题的学习和基于案例的学习提高了他们的表达和沟通技巧。报告的主要挑战是时间限制(40.1%),需要更多的培训(34%)和实践(39.2%)。其他报告的挑战是高压力水平和复杂的适应观众的期望。最主要的激励因素是对改进的兴趣(66.3%),愿意增加自信(64.9%),获得高分(53.3%)和更有效率(52.5%)。其他动机是接触真实世界的场景和榜样的存在。然而,尽管学生们一致认为他们的技能正在提高,但这种进步感觉很慢。虽然临床阶段的学生在多项学习成果上的成就高于低年级学生,但基础科学阶段的学生在认识团队合作重要性方面的表现优于临床阶段的学生(93.25%比91.16%)。总结:综合课程在课程的各个阶段提供了平等的机会来提高沟通和表达能力。解决所报告的挑战并培养激励因素是可取的。
本文章由计算机程序翻译,如有差异,请以英文原文为准。
求助全文
约1分钟内获得全文 求助全文
来源期刊
Advances in Medical Education and Practice
Advances in Medical Education and Practice EDUCATION, SCIENTIFIC DISCIPLINES-
CiteScore
3.10
自引率
10.00%
发文量
189
审稿时长
16 weeks
×
引用
GB/T 7714-2015
复制
MLA
复制
APA
复制
导出至
BibTeX EndNote RefMan NoteFirst NoteExpress
×
提示
您的信息不完整,为了账户安全,请先补充。
现在去补充
×
提示
您因"违规操作"
具体请查看互助需知
我知道了
×
提示
确定
请完成安全验证×
copy
已复制链接
快去分享给好友吧!
我知道了
右上角分享
点击右上角分享
0
联系我们:info@booksci.cn Book学术提供免费学术资源搜索服务,方便国内外学者检索中英文文献。致力于提供最便捷和优质的服务体验。 Copyright © 2023 布克学术 All rights reserved.
京ICP备2023020795号-1
ghs 京公网安备 11010802042870号
Book学术文献互助
Book学术文献互助群
群 号:604180095
Book学术官方微信