Clinical value and applicability of radiomics in differential diagnosis of dual-phenotype hepatocellular carcinoma and intrahepatic cholangiocarcinoma.

IF 1.5 Q3 RADIOLOGY, NUCLEAR MEDICINE & MEDICAL IMAGING
Chen-Cai Zhang, Da Lu, Jun Yang, Ling Zhang, Xia-Feng Zeng, Xiang-Ming Fang, Cun-Geng Fan
{"title":"Clinical value and applicability of radiomics in differential diagnosis of dual-phenotype hepatocellular carcinoma and intrahepatic cholangiocarcinoma.","authors":"Chen-Cai Zhang, Da Lu, Jun Yang, Ling Zhang, Xia-Feng Zeng, Xiang-Ming Fang, Cun-Geng Fan","doi":"10.4329/wjr.v17.i6.108247","DOIUrl":null,"url":null,"abstract":"<p><strong>Background: </strong>Dual-phenotype hepatocellular carcinoma (HCC) is a relatively new subtype of HCC. Studies have shown that in the context of chronic hepatitis, liver cirrhosis, and other liver conditions, some intrahepatic cholangiocarcinomas (ICCs) exhibit an enhancement pattern similar to that of HCC. Both dual-phenotype HCC (DPHCC) and ICC can express biliary markers, making imaging and pathology differentiation difficult. Currently, radiomics is widely used in the differentiation, clinical staging, and prognosis assessment of various diseases. Radiomics can effectively differentiate DPHCC and ICC preoperatively.</p><p><strong>Aim: </strong>To evaluate the value of radiomics in the differential diagnosis of DPHCC and ICC and to validate its clinical applicability.</p><p><strong>Methods: </strong>In this retrospective study, the data of 53 DPHCC patients and 124 ICC patients were collected retrospectively and randomly divided into training and testing sets at a ratio of 7: 3. After delineation of regions of interest and feature extraction and selection, radiomics models were constructed. Receiver operating characteristic curve analysis was conducted to calculate the area under the curve (AUC) for each model. The AUC values of radiologists with and without assistance from the model were also assessed.</p><p><strong>Results: </strong>In the training set, the AUC value of the radiomic model was the highest, and the combined model and the radiomic model had similar AUC (<i>P</i> > 0.05); the differences in the AUC values between the combined model and the clinical-sign model was statistically significant (<i>P</i> < 0.05). In the testing set, the AUC value of the combined model was the highest, and the differences in the AUC values between the combined model and the clinical-sign model was statistically significant (<i>P</i> < 0.05). With model assistance, the AUC values of Doctor D (10 years of experience in abdominal imaging diagnosis) and Doctor E (5 years of experience in abdominal imaging diagnosis) both increased.</p><p><strong>Conclusion: </strong>Radiomics can differentiate DPHCC and ICC, and with assistance from the developed model, the accuracy of less experienced doctors in the differential diagnosis of these two diseases can be improved.</p>","PeriodicalId":23819,"journal":{"name":"World journal of radiology","volume":"17 6","pages":"108247"},"PeriodicalIF":1.5000,"publicationDate":"2025-06-28","publicationTypes":"Journal Article","fieldsOfStudy":null,"isOpenAccess":false,"openAccessPdf":"https://www.ncbi.nlm.nih.gov/pmc/articles/PMC12210198/pdf/","citationCount":"0","resultStr":null,"platform":"Semanticscholar","paperid":null,"PeriodicalName":"World journal of radiology","FirstCategoryId":"1085","ListUrlMain":"https://doi.org/10.4329/wjr.v17.i6.108247","RegionNum":0,"RegionCategory":null,"ArticlePicture":[],"TitleCN":null,"AbstractTextCN":null,"PMCID":null,"EPubDate":"","PubModel":"","JCR":"Q3","JCRName":"RADIOLOGY, NUCLEAR MEDICINE & MEDICAL IMAGING","Score":null,"Total":0}
引用次数: 0

Abstract

Background: Dual-phenotype hepatocellular carcinoma (HCC) is a relatively new subtype of HCC. Studies have shown that in the context of chronic hepatitis, liver cirrhosis, and other liver conditions, some intrahepatic cholangiocarcinomas (ICCs) exhibit an enhancement pattern similar to that of HCC. Both dual-phenotype HCC (DPHCC) and ICC can express biliary markers, making imaging and pathology differentiation difficult. Currently, radiomics is widely used in the differentiation, clinical staging, and prognosis assessment of various diseases. Radiomics can effectively differentiate DPHCC and ICC preoperatively.

Aim: To evaluate the value of radiomics in the differential diagnosis of DPHCC and ICC and to validate its clinical applicability.

Methods: In this retrospective study, the data of 53 DPHCC patients and 124 ICC patients were collected retrospectively and randomly divided into training and testing sets at a ratio of 7: 3. After delineation of regions of interest and feature extraction and selection, radiomics models were constructed. Receiver operating characteristic curve analysis was conducted to calculate the area under the curve (AUC) for each model. The AUC values of radiologists with and without assistance from the model were also assessed.

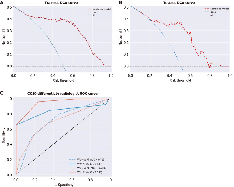
Results: In the training set, the AUC value of the radiomic model was the highest, and the combined model and the radiomic model had similar AUC (P > 0.05); the differences in the AUC values between the combined model and the clinical-sign model was statistically significant (P < 0.05). In the testing set, the AUC value of the combined model was the highest, and the differences in the AUC values between the combined model and the clinical-sign model was statistically significant (P < 0.05). With model assistance, the AUC values of Doctor D (10 years of experience in abdominal imaging diagnosis) and Doctor E (5 years of experience in abdominal imaging diagnosis) both increased.

Conclusion: Radiomics can differentiate DPHCC and ICC, and with assistance from the developed model, the accuracy of less experienced doctors in the differential diagnosis of these two diseases can be improved.

Abstract Image

Abstract Image

Abstract Image

放射组学在双表型肝细胞癌和肝内胆管癌鉴别诊断中的临床价值和适用性。
背景:双表型肝细胞癌(HCC)是一种相对较新的肝癌亚型。研究表明,在慢性肝炎、肝硬化和其他肝脏疾病的背景下,一些肝内胆管癌(ICCs)表现出与HCC相似的增强模式。双表型HCC (DPHCC)和ICC均可表达胆道标志物,使影像学和病理鉴别变得困难。目前,放射组学已广泛应用于各种疾病的鉴别、临床分期和预后评估。术前放射组学可以有效区分DPHCC和ICC。目的:评价放射组学在DPHCC和ICC鉴别诊断中的价值,验证其临床适用性。方法:回顾性收集53例DPHCC患者和124例ICC患者的资料,按7:3的比例随机分为训练组和测试组。在对感兴趣区域进行划分、特征提取和选择后,构建放射组学模型。进行受试者工作特征曲线分析,计算各模型的曲线下面积(AUC)。还评估了有和没有模型帮助的放射科医生的AUC值。结果:在训练集中,放射组学模型的AUC值最高,联合模型与放射组学模型的AUC值相近(P < 0.05);联合模型与临床体征模型的AUC值差异有统计学意义(P < 0.05)。在测试集中,联合模型的AUC值最高,联合模型与临床体征模型的AUC值差异有统计学意义(P < 0.05)。在模型的帮助下,医生D(10年腹部影像诊断经验)和医生E(5年腹部影像诊断经验)的AUC值都增加了。结论:放射组学可以区分DPHCC和ICC,在建立的模型的帮助下,可以提高经验不足的医生对这两种疾病鉴别诊断的准确性。
本文章由计算机程序翻译,如有差异,请以英文原文为准。
求助全文
约1分钟内获得全文 求助全文
来源期刊
World journal of radiology
World journal of radiology RADIOLOGY, NUCLEAR MEDICINE & MEDICAL IMAGING-
自引率
8.00%
发文量
35
×
引用
GB/T 7714-2015
复制
MLA
复制
APA
复制
导出至
BibTeX EndNote RefMan NoteFirst NoteExpress
×
提示
您的信息不完整,为了账户安全,请先补充。
现在去补充
×
提示
您因"违规操作"
具体请查看互助需知
我知道了
×
提示
确定
请完成安全验证×
copy
已复制链接
快去分享给好友吧!
我知道了
右上角分享
点击右上角分享
0
联系我们:info@booksci.cn Book学术提供免费学术资源搜索服务,方便国内外学者检索中英文文献。致力于提供最便捷和优质的服务体验。 Copyright © 2023 布克学术 All rights reserved.
京ICP备2023020795号-1
ghs 京公网安备 11010802042870号
Book学术文献互助
Book学术文献互助群
群 号:604180095
Book学术官方微信