Short-term impact of tirzepatide on metabolic hypogonadism and body composition in patients with obesity: a controlled pilot study.

IF 4.7 2区 医学 Q1 ENDOCRINOLOGY & METABOLISM
Sandro La Vignera, Rossella Cannarella, Vincenzo Garofalo, Andrea Crafa, Federica Barbagallo, Rosita A Condorelli, Aldo E Calogero
{"title":"Short-term impact of tirzepatide on metabolic hypogonadism and body composition in patients with obesity: a controlled pilot study.","authors":"Sandro La Vignera, Rossella Cannarella, Vincenzo Garofalo, Andrea Crafa, Federica Barbagallo, Rosita A Condorelli, Aldo E Calogero","doi":"10.1186/s12958-025-01425-9","DOIUrl":null,"url":null,"abstract":"<p><strong>Background: </strong>Tirzepatide (TZP), a dual agonist of glucose-dependent insulinotropic peptide (GIP) and glucagon-like peptide-1 (GLP-1) receptors, has recently been introduced in Italy for the treatment of obesity. Obesity is frequently associated with metabolic hypogonadism, which is characterized by low testosterone levels and normal low levels of gonadotropin. This condition exacerbates metabolic dysfunction and increases the risk of type 2 diabetes mellitus (DM). This study aims to evaluate the effects of TZP on metabolic hypogonadism in patients with obesity.</p><p><strong>Methods: </strong>Male patients with obesity and metabolic hypogonadism were enrolled. Exclusion criteria included recent use of medications for hypertension, dyslipidemia, DM, anti-androgens, or hyperprolactinemia. All participants followed a hypocaloric diet and engaged in 20 min of daily brisk walking. Patients were allocated to one of the following treatment groups: Group A received 2.5 mg of TZP weekly for the first month, with the dose increased to 5 mg from the second month; Group B received no pharmacological treatment: Group C received transdermal testosterone. Clinical evaluations were conducted at 2 months including assessment of body composition, the Binge Eating Scale (BES), 5-item International Index of Erectile Function (IIEF-5) questionnaire to evaluate erectile dysfunction (ED), and serum levels of luteinizing hormone (LH), follicle-stimulating hormone (FSH), sex hormone-binding globulin (SHBG), total testosterone (TT), and 17β-estradiol (E<sub>2</sub>). Free (fT) and bioavailable testosterone (bioT) were calculated using the Vermeulen formula.</p><p><strong>Results: </strong>A total of 83 patients with obesity (mean age 55.3 ± 5.5 years) were included in the study, divided into three groups: Group A (28 patients, mean age 56.3 ± 4.7 years), Group B (30 patients, mean age 55.1 ± 5.2 years), and Group C (25 patients, mean age 54.0 ± 6.5 years). At baseline, significant differences were observed in waist circumference (WC), which was higher in Group B, as well as in the BES score, lean mass (LM), and serum LH levels, all of which were higher in Group A. After 2 months, Group A showed significantly greater reductions in body weight, WC, BES score, and fat mass, along with a notable increase in LM and IIEF-5 score compared to Groups B and C. Additionally, Group A exhibited significantly higher serum levels of LH, FSH, SHBG, TT, fT, and bioT, while E<sub>2</sub> levels were significantly lower than both Groups B and C.</p><p><strong>Conclusion: </strong>The results of this study suggest that TZP is effective in improving both metabolic parameters, ED, and gonadal hormone levels in patients with obesity and metabolic hypogonadism. These findings position TZP as a promising treatment for obese patients with functional hypogonadism arising from metabolic-related alterations.</p>","PeriodicalId":21011,"journal":{"name":"Reproductive Biology and Endocrinology","volume":"23 1","pages":"92"},"PeriodicalIF":4.7000,"publicationDate":"2025-07-02","publicationTypes":"Journal Article","fieldsOfStudy":null,"isOpenAccess":false,"openAccessPdf":"https://www.ncbi.nlm.nih.gov/pmc/articles/PMC12220628/pdf/","citationCount":"0","resultStr":null,"platform":"Semanticscholar","paperid":null,"PeriodicalName":"Reproductive Biology and Endocrinology","FirstCategoryId":"3","ListUrlMain":"https://doi.org/10.1186/s12958-025-01425-9","RegionNum":2,"RegionCategory":"医学","ArticlePicture":[],"TitleCN":null,"AbstractTextCN":null,"PMCID":null,"EPubDate":"","PubModel":"","JCR":"Q1","JCRName":"ENDOCRINOLOGY & METABOLISM","Score":null,"Total":0}
引用次数: 0

Abstract

Background: Tirzepatide (TZP), a dual agonist of glucose-dependent insulinotropic peptide (GIP) and glucagon-like peptide-1 (GLP-1) receptors, has recently been introduced in Italy for the treatment of obesity. Obesity is frequently associated with metabolic hypogonadism, which is characterized by low testosterone levels and normal low levels of gonadotropin. This condition exacerbates metabolic dysfunction and increases the risk of type 2 diabetes mellitus (DM). This study aims to evaluate the effects of TZP on metabolic hypogonadism in patients with obesity.

Methods: Male patients with obesity and metabolic hypogonadism were enrolled. Exclusion criteria included recent use of medications for hypertension, dyslipidemia, DM, anti-androgens, or hyperprolactinemia. All participants followed a hypocaloric diet and engaged in 20 min of daily brisk walking. Patients were allocated to one of the following treatment groups: Group A received 2.5 mg of TZP weekly for the first month, with the dose increased to 5 mg from the second month; Group B received no pharmacological treatment: Group C received transdermal testosterone. Clinical evaluations were conducted at 2 months including assessment of body composition, the Binge Eating Scale (BES), 5-item International Index of Erectile Function (IIEF-5) questionnaire to evaluate erectile dysfunction (ED), and serum levels of luteinizing hormone (LH), follicle-stimulating hormone (FSH), sex hormone-binding globulin (SHBG), total testosterone (TT), and 17β-estradiol (E2). Free (fT) and bioavailable testosterone (bioT) were calculated using the Vermeulen formula.

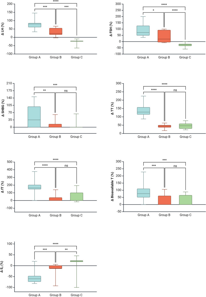
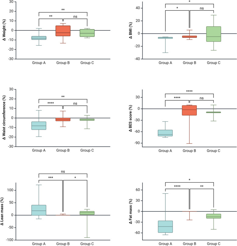
Results: A total of 83 patients with obesity (mean age 55.3 ± 5.5 years) were included in the study, divided into three groups: Group A (28 patients, mean age 56.3 ± 4.7 years), Group B (30 patients, mean age 55.1 ± 5.2 years), and Group C (25 patients, mean age 54.0 ± 6.5 years). At baseline, significant differences were observed in waist circumference (WC), which was higher in Group B, as well as in the BES score, lean mass (LM), and serum LH levels, all of which were higher in Group A. After 2 months, Group A showed significantly greater reductions in body weight, WC, BES score, and fat mass, along with a notable increase in LM and IIEF-5 score compared to Groups B and C. Additionally, Group A exhibited significantly higher serum levels of LH, FSH, SHBG, TT, fT, and bioT, while E2 levels were significantly lower than both Groups B and C.

Conclusion: The results of this study suggest that TZP is effective in improving both metabolic parameters, ED, and gonadal hormone levels in patients with obesity and metabolic hypogonadism. These findings position TZP as a promising treatment for obese patients with functional hypogonadism arising from metabolic-related alterations.

Abstract Image

Abstract Image

Abstract Image

替西肽对肥胖患者代谢性性腺功能减退和体成分的短期影响:一项对照先导研究。
背景:tizepatide (TZP)是一种葡萄糖依赖性胰岛素性肽(GIP)和胰高血糖素样肽-1 (GLP-1)受体的双重激动剂,最近在意大利被引入治疗肥胖。肥胖通常与代谢性性腺功能减退有关,其特征是睾酮水平低,促性腺激素水平正常低。这种情况加剧了代谢功能障碍,增加了2型糖尿病(DM)的风险。本研究旨在评估TZP对肥胖患者代谢性性腺功能减退的影响。方法:男性肥胖合并代谢性性腺功能减退患者为研究对象。排除标准包括近期使用高血压、血脂异常、糖尿病、抗雄激素或高泌乳素血症的药物。所有参与者都遵循低热量饮食,每天快走20分钟。患者被分配到以下治疗组之一:A组在第一个月接受每周2.5 mg的TZP治疗,从第二个月开始剂量增加到5mg;B组不给予药物治疗,C组经皮给予睾酮治疗。2个月后进行临床评估,包括身体成分评估、暴饮暴食量表(BES)、5项国际勃起功能指数(IIEF-5)问卷评估勃起功能障碍(ED)、血清黄体生成素(LH)、促卵泡激素(FSH)、性激素结合球蛋白(SHBG)、总睾酮(TT)、17β-雌二醇(E2)水平。使用Vermeulen公式计算游离睾酮(fT)和生物可利用睾酮(bioT)。结果:共纳入83例肥胖患者,平均年龄55.3±5.5岁,分为3组:A组28例,平均年龄56.3±4.7岁,B组30例,平均年龄55.1±5.2岁,C组25例,平均年龄54.0±6.5岁。在基线,显著差异被观察到腰围(WC),高于B组,以及BES得分,精益质量(LM)和血清LH水平,所有这些高在A组2个月后,A组明显显示更大的减少体重,WC, BES分数,和脂肪质量,显著增加LM和IIEF-5分数组相比,B和c .此外,A组表现出明显高于血清LH、FSH、SHBG, TT,英国《金融时报》,结论:本研究结果提示,TZP对肥胖合并代谢性性腺功能减退患者的代谢参数、ED及性腺激素水平均有改善作用。这些发现表明,对于代谢相关改变引起的功能性性腺功能减退的肥胖患者,TZP是一种有希望的治疗方法。
本文章由计算机程序翻译,如有差异,请以英文原文为准。
求助全文
约1分钟内获得全文 求助全文
来源期刊
Reproductive Biology and Endocrinology
Reproductive Biology and Endocrinology 医学-内分泌学与代谢
CiteScore
7.90
自引率
2.30%
发文量
161
审稿时长
4-8 weeks
期刊介绍: Reproductive Biology and Endocrinology publishes and disseminates high-quality results from excellent research in the reproductive sciences. The journal publishes on topics covering gametogenesis, fertilization, early embryonic development, embryo-uterus interaction, reproductive development, pregnancy, uterine biology, endocrinology of reproduction, control of reproduction, reproductive immunology, neuroendocrinology, and veterinary and human reproductive medicine, including all vertebrate species.
×
引用
GB/T 7714-2015
复制
MLA
复制
APA
复制
导出至
BibTeX EndNote RefMan NoteFirst NoteExpress
×
提示
您的信息不完整,为了账户安全,请先补充。
现在去补充
×
提示
您因"违规操作"
具体请查看互助需知
我知道了
×
提示
确定
请完成安全验证×
copy
已复制链接
快去分享给好友吧!
我知道了
右上角分享
点击右上角分享
0
联系我们:info@booksci.cn Book学术提供免费学术资源搜索服务,方便国内外学者检索中英文文献。致力于提供最便捷和优质的服务体验。 Copyright © 2023 布克学术 All rights reserved.
京ICP备2023020795号-1
ghs 京公网安备 11010802042870号
Book学术文献互助
Book学术文献互助群
群 号:604180095
Book学术官方微信