Auditory Processing in Stuttering Children: Behavioral and Electrophysiological Assessments.

IF 1.1 Q3 OTORHINOLARYNGOLOGY
International Archives of Otorhinolaryngology Pub Date : 2025-07-01 eCollection Date: 2025-04-01 DOI:10.1055/s-0045-1804518
Letícia Gregory, Milaine Dominici Sanfins, Piotr Henryk Skarzynski, Rafael Fabiano Machado Rosa, Paulo Ricardo Gazzola Zen, Pricila Sleifer
{"title":"Auditory Processing in Stuttering Children: Behavioral and Electrophysiological Assessments.","authors":"Letícia Gregory, Milaine Dominici Sanfins, Piotr Henryk Skarzynski, Rafael Fabiano Machado Rosa, Paulo Ricardo Gazzola Zen, Pricila Sleifer","doi":"10.1055/s-0045-1804518","DOIUrl":null,"url":null,"abstract":"<p><p><b>Introduction</b>  Stuttering is a human communication disorder characterized by involuntary interruptions to speech flow. Electrophysiological tests and behavioral evaluations allow the neuroaudiological processes involved in stuttering to be investigated. <b>Objective</b>  To investigate group differences in the central auditory system using long-latency auditory evoked potentials, cognitive potentials, and behavioral assessments in children who stutter and compare them with fluent children. <b>Methods</b>  We assessed 18 children with stuttering and compared them with a control group of 18 children without speech or language impairment. All children were evaluated with pure tone and speech audiometry, acoustic immittance measures, brainstem auditory evoked potentials, long latency auditory evoked potentials, cognitive potentials, and behavioral tests of auditory processing - Random Gap Detection Test (RGDT), Dichotic Digit Test (DDT); Duration Pattern Test (DPT); Pediatric Speech Intelligibility (PSI); and Masking Level Difference (MLD). The Scale of Auditory Behaviors (SAB) questionnaire was also applied. <b>Results</b>  Children who stuttered had longer latencies of the P2 and P3 waves compared with the fluent group. There was no difference in P2 amplitudes, but there was a smaller P3 amplitude in children who stuttered, and they also showed significant alterations in the DDT and DPT. Furthermore, an association was found between increased P2 and P3 latency and SAB scores. <b>Conclusion</b>  The present study indicates that children who stutter tend to have decreased auditory ability in terms of central auditory processing, and this shows up psychophysically and on the SAB questionnaire.</p>","PeriodicalId":13731,"journal":{"name":"International Archives of Otorhinolaryngology","volume":"29 2","pages":"1-11"},"PeriodicalIF":1.1000,"publicationDate":"2025-07-01","publicationTypes":"Journal Article","fieldsOfStudy":null,"isOpenAccess":false,"openAccessPdf":"https://www.ncbi.nlm.nih.gov/pmc/articles/PMC12213077/pdf/","citationCount":"0","resultStr":null,"platform":"Semanticscholar","paperid":null,"PeriodicalName":"International Archives of Otorhinolaryngology","FirstCategoryId":"1085","ListUrlMain":"https://doi.org/10.1055/s-0045-1804518","RegionNum":0,"RegionCategory":null,"ArticlePicture":[],"TitleCN":null,"AbstractTextCN":null,"PMCID":null,"EPubDate":"2025/4/1 0:00:00","PubModel":"eCollection","JCR":"Q3","JCRName":"OTORHINOLARYNGOLOGY","Score":null,"Total":0}
引用次数: 0

Abstract

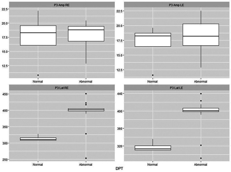
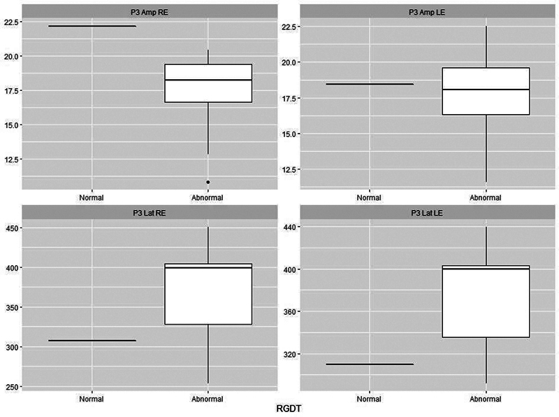
Introduction  Stuttering is a human communication disorder characterized by involuntary interruptions to speech flow. Electrophysiological tests and behavioral evaluations allow the neuroaudiological processes involved in stuttering to be investigated. Objective  To investigate group differences in the central auditory system using long-latency auditory evoked potentials, cognitive potentials, and behavioral assessments in children who stutter and compare them with fluent children. Methods  We assessed 18 children with stuttering and compared them with a control group of 18 children without speech or language impairment. All children were evaluated with pure tone and speech audiometry, acoustic immittance measures, brainstem auditory evoked potentials, long latency auditory evoked potentials, cognitive potentials, and behavioral tests of auditory processing - Random Gap Detection Test (RGDT), Dichotic Digit Test (DDT); Duration Pattern Test (DPT); Pediatric Speech Intelligibility (PSI); and Masking Level Difference (MLD). The Scale of Auditory Behaviors (SAB) questionnaire was also applied. Results  Children who stuttered had longer latencies of the P2 and P3 waves compared with the fluent group. There was no difference in P2 amplitudes, but there was a smaller P3 amplitude in children who stuttered, and they also showed significant alterations in the DDT and DPT. Furthermore, an association was found between increased P2 and P3 latency and SAB scores. Conclusion  The present study indicates that children who stutter tend to have decreased auditory ability in terms of central auditory processing, and this shows up psychophysically and on the SAB questionnaire.

Abstract Image

Abstract Image

Abstract Image

口吃儿童的听觉加工:行为和电生理评估。
口吃是一种人类交流障碍,其特征是言语不自觉地中断。电生理测试和行为评估允许调查涉及口吃的神经听力学过程。目的利用长潜伏期听觉诱发电位、认知电位和行为评价研究口吃儿童中枢听觉系统的组间差异,并与流利儿童进行比较。方法对18名口吃儿童进行评估,并与对照组18名无言语或语言障碍的儿童进行比较。所有儿童均采用纯音和语音听力学、声阻抗测量、脑干听觉诱发电位、长潜伏期听觉诱发电位、认知电位和听觉处理行为测试-随机间隙检测测试(RGDT)、双指测试(DDT)进行评估;持续模式测验;儿童言语清晰度(PSI);和掩蔽水平差(MLD)。采用听力行为量表(SAB)进行问卷调查。结果与流利组相比,口吃组的P2和P3波潜伏期更长。在P2振幅上没有差异,但在口吃儿童中P3振幅较小,并且他们在DDT和DPT上也显示出显著的变化。此外,发现P2和P3潜伏期增加与SAB评分之间存在关联。结论本研究表明,口吃儿童在中枢听觉加工方面存在听觉能力下降的趋势,这在心理生理和SAB问卷上都有表现。
本文章由计算机程序翻译,如有差异,请以英文原文为准。
求助全文
约1分钟内获得全文 求助全文
来源期刊
CiteScore
2.80
自引率
0.00%
发文量
84
审稿时长
12 weeks
×
引用
GB/T 7714-2015
复制
MLA
复制
APA
复制
导出至
BibTeX EndNote RefMan NoteFirst NoteExpress
×
提示
您的信息不完整,为了账户安全,请先补充。
现在去补充
×
提示
您因"违规操作"
具体请查看互助需知
我知道了
×
提示
确定
请完成安全验证×
copy
已复制链接
快去分享给好友吧!
我知道了
右上角分享
点击右上角分享
0
联系我们:info@booksci.cn Book学术提供免费学术资源搜索服务,方便国内外学者检索中英文文献。致力于提供最便捷和优质的服务体验。 Copyright © 2023 布克学术 All rights reserved.
京ICP备2023020795号-1
ghs 京公网安备 11010802042870号
Book学术文献互助
Book学术文献互助群
群 号:604180095
Book学术官方微信