Stability of Ceftobiprole Medocaril in Portable Elastomeric Infusion Devices.

IF 5.3 3区 医学 Q1 INFECTIOUS DISEASES
Infectious Diseases and Therapy Pub Date : 2025-08-01 Epub Date: 2025-07-02 DOI:10.1007/s40121-025-01174-7
Beatriz Esteban-Cartelle, Brayan J Anaya, Covadonga Pérez Menéndez-Conde, Noelia Vicente-Oliveros, Dolores R Serrano, Ana Álvarez-Díaz, Jesús Fortún-Abete, Pilar Martín-Dávila
{"title":"Stability of Ceftobiprole Medocaril in Portable Elastomeric Infusion Devices.","authors":"Beatriz Esteban-Cartelle, Brayan J Anaya, Covadonga Pérez Menéndez-Conde, Noelia Vicente-Oliveros, Dolores R Serrano, Ana Álvarez-Díaz, Jesús Fortún-Abete, Pilar Martín-Dávila","doi":"10.1007/s40121-025-01174-7","DOIUrl":null,"url":null,"abstract":"<p><strong>Introduction: </strong>Ceftobiprole medocaril is a new fifth-generation cephalosporin commercially available as a prodrug. Since it is newly introduced in therapy, there is limited data on its physicochemical stability for outpatient parenteral antimicrobial therapy (OPAT). This work aimed to demonstrate the suitability of ceftobiprole medocaril in OPAT, determining the physicochemical stability within portable elastomeric infusion devices (Accufuser C0100L 10 mL/h 300 mL).</p><p><strong>Methods: </strong>Physicochemical stability was evaluated in 6.25 mg/mL solutions in sodium chloride 0.9% and dextrose 5% at three temperatures (2-8 °C, 25 °C, and 32 °C) using a previously validated liquid chromatography triple quadrupole mass spectrometry (LC-QQQ-MS) method. Drug adsorption onto device walls was also determined at the end of the study.</p><p><strong>Results: </strong>Ceftobiprole medocaril remained above 95% of the initial concentration in sodium chloride 0.9% for up to 24 h at both refrigerated (2-8 °C) and ambient conditions (25 °C). Stability was reduced in dextrose 5% solutions. While pH increased slightly over time, it remained within acceptable limits for intravenous administration, and no particle formation was detected. Drug adsorption to the elastomeric device was negligible (< 0.1%).</p><p><strong>Conclusion: </strong>Ceftobiprole medocaril is suitable for administration in OPAT at 6.25 mg/mL in sodium chloride 0.9% over 24 h at 25 °C using Accufuser<sup>®</sup> portable elastomeric infusion devices. These findings support the development of practical administration protocols for ceftobiprole medocaril in home-based antimicrobial therapy. Ceftobiprole medocaril is a new antibiotic used to treat serious infections. Because it was recently introduced, there is limited information about its stability when used for outpatient parenteral antimicrobial therapy (OPAT), a treatment that allows patients to receive intravenous antibiotics at home using portable elastomeric infusion devices. This study examined how stable ceftobiprole medocaril remains when stored and administered in portable elastomeric infusion devices. The antibiotic was diluted in two commonly used fluids (saline and dextrose) and kept at different temperatures: refrigerated (2-8 °C), room temperature (25 °C), and body temperature (32 °C). Researchers measured how much of the drug remained active over 24 hours and whether it adhered to the inside of the device. The results showed that ceftobiprole medocaril in saline solution (sodium chloride 0.9%) remained stable for 24 hours at room temperature and when refrigerated, keeping over 95% of its original amount. In dextrose, the drug was less stable. The pH changed slightly, but no harmful particles formed, and less than 0.1% of the drug stuck to the infusion device, confirming that the device is suitable for this use. On the basis of these findings, ceftobiprole medocaril can be safely administered in saline solution over 24 hours at room temperature using portable infusion devices. This helps support safe and effective use of the antibiotic in OPAT settings.</p>","PeriodicalId":13592,"journal":{"name":"Infectious Diseases and Therapy","volume":" ","pages":"1685-1696"},"PeriodicalIF":5.3000,"publicationDate":"2025-08-01","publicationTypes":"Journal Article","fieldsOfStudy":null,"isOpenAccess":false,"openAccessPdf":"https://www.ncbi.nlm.nih.gov/pmc/articles/PMC12339844/pdf/","citationCount":"0","resultStr":null,"platform":"Semanticscholar","paperid":null,"PeriodicalName":"Infectious Diseases and Therapy","FirstCategoryId":"3","ListUrlMain":"https://doi.org/10.1007/s40121-025-01174-7","RegionNum":3,"RegionCategory":"医学","ArticlePicture":[],"TitleCN":null,"AbstractTextCN":null,"PMCID":null,"EPubDate":"2025/7/2 0:00:00","PubModel":"Epub","JCR":"Q1","JCRName":"INFECTIOUS DISEASES","Score":null,"Total":0}
引用次数: 0

Abstract

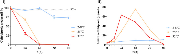
Introduction: Ceftobiprole medocaril is a new fifth-generation cephalosporin commercially available as a prodrug. Since it is newly introduced in therapy, there is limited data on its physicochemical stability for outpatient parenteral antimicrobial therapy (OPAT). This work aimed to demonstrate the suitability of ceftobiprole medocaril in OPAT, determining the physicochemical stability within portable elastomeric infusion devices (Accufuser C0100L 10 mL/h 300 mL).

Methods: Physicochemical stability was evaluated in 6.25 mg/mL solutions in sodium chloride 0.9% and dextrose 5% at three temperatures (2-8 °C, 25 °C, and 32 °C) using a previously validated liquid chromatography triple quadrupole mass spectrometry (LC-QQQ-MS) method. Drug adsorption onto device walls was also determined at the end of the study.

Results: Ceftobiprole medocaril remained above 95% of the initial concentration in sodium chloride 0.9% for up to 24 h at both refrigerated (2-8 °C) and ambient conditions (25 °C). Stability was reduced in dextrose 5% solutions. While pH increased slightly over time, it remained within acceptable limits for intravenous administration, and no particle formation was detected. Drug adsorption to the elastomeric device was negligible (< 0.1%).

Conclusion: Ceftobiprole medocaril is suitable for administration in OPAT at 6.25 mg/mL in sodium chloride 0.9% over 24 h at 25 °C using Accufuser® portable elastomeric infusion devices. These findings support the development of practical administration protocols for ceftobiprole medocaril in home-based antimicrobial therapy. Ceftobiprole medocaril is a new antibiotic used to treat serious infections. Because it was recently introduced, there is limited information about its stability when used for outpatient parenteral antimicrobial therapy (OPAT), a treatment that allows patients to receive intravenous antibiotics at home using portable elastomeric infusion devices. This study examined how stable ceftobiprole medocaril remains when stored and administered in portable elastomeric infusion devices. The antibiotic was diluted in two commonly used fluids (saline and dextrose) and kept at different temperatures: refrigerated (2-8 °C), room temperature (25 °C), and body temperature (32 °C). Researchers measured how much of the drug remained active over 24 hours and whether it adhered to the inside of the device. The results showed that ceftobiprole medocaril in saline solution (sodium chloride 0.9%) remained stable for 24 hours at room temperature and when refrigerated, keeping over 95% of its original amount. In dextrose, the drug was less stable. The pH changed slightly, but no harmful particles formed, and less than 0.1% of the drug stuck to the infusion device, confirming that the device is suitable for this use. On the basis of these findings, ceftobiprole medocaril can be safely administered in saline solution over 24 hours at room temperature using portable infusion devices. This helps support safe and effective use of the antibiotic in OPAT settings.

Abstract Image

Abstract Image

Abstract Image

头孢双prole Medocaril在便携式弹性体输液装置中的稳定性。
Ceftobiprole medocaril是一种新的第五代头孢菌素,可作为前药在市售。由于它是新引入的治疗,有有限的数据,其物理化学稳定性门诊肠外抗菌治疗(OPAT)。本研究旨在证明头孢双prole medocaril在OPAT中的适用性,确定便携式弹性输液器(Accufuser C0100L 10 mL/h 300 mL)内的物理化学稳定性。方法:采用液相色谱三重四极杆质谱(LC-QQQ-MS)方法,在6.25 mg/mL氯化钠0.9%和葡萄糖5%的溶液中,在2-8°C、25°C和32°C三种温度下评价其理化稳定性。在研究结束时,还测定了药物在装置壁上的吸附。结果:Ceftobiprole medocaril在冷藏(2-8℃)和环境条件(25℃)下,在0.9%氯化钠溶液中可保持超过95%的初始浓度达24 h。葡萄糖在5%溶液中稳定性降低。虽然pH值随着时间的推移略有增加,但仍在静脉注射的可接受范围内,并且未检测到颗粒形成。结论:Ceftobiprole medocaril适用于使用Accufuser®便携式弹性体输液器,在25°C下,以6.25 mg/mL氯化钠溶液(0.9%)在24 h内给药。这些发现支持头孢双prole medocaril在家庭抗菌治疗中实际给药方案的发展。Ceftobiprole medocaril是一种用于治疗严重感染的新型抗生素。由于它是最近才引进的,关于其用于门诊静脉外抗菌治疗(OPAT)的稳定性的信息有限,OPAT是一种允许患者在家中使用便携式弹性体输液器接受静脉注射抗生素的治疗。本研究考察了在便携式弹性体输液器中储存和使用头孢双prole medocaril时的稳定性。将抗生素稀释在两种常用的液体(生理盐水和葡萄糖)中,并在不同的温度下保存:冷藏(2-8℃)、室温(25℃)和体温(32℃)。研究人员测量了药物在24小时内保持活性的程度,以及它是否粘附在设备内部。结果表明,头孢双prole medocaril在食盐溶液(氯化钠0.9%)中室温保存24小时,冷藏保存量在95%以上。在葡萄糖中,该药的稳定性较差。pH值略有变化,但未形成有害颗粒,且药物粘附在输液器上的比例小于0.1%,证实输液器适合此用途。基于这些发现,头孢双prole medocaril可在室温下使用便携式输液器在生理盐水溶液中安全给药24小时以上。这有助于支持在OPAT环境中安全有效地使用抗生素。
本文章由计算机程序翻译,如有差异,请以英文原文为准。
求助全文
约1分钟内获得全文 求助全文
来源期刊
Infectious Diseases and Therapy
Infectious Diseases and Therapy Medicine-Microbiology (medical)
CiteScore
8.60
自引率
1.90%
发文量
136
审稿时长
6 weeks
期刊介绍: Infectious Diseases and Therapy is an international, open access, peer-reviewed, rapid publication journal dedicated to the publication of high-quality clinical (all phases), observational, real-world, and health outcomes research around the discovery, development, and use of infectious disease therapies and interventions, including vaccines and devices. Studies relating to diagnostic products and diagnosis, pharmacoeconomics, public health, epidemiology, quality of life, and patient care, management, and education are also encouraged. Areas of focus include, but are not limited to, bacterial and fungal infections, viral infections (including HIV/AIDS and hepatitis), parasitological diseases, tuberculosis and other mycobacterial diseases, vaccinations and other interventions, and drug-resistance, chronic infections, epidemiology and tropical, emergent, pediatric, dermal and sexually-transmitted diseases.
×
引用
GB/T 7714-2015
复制
MLA
复制
APA
复制
导出至
BibTeX EndNote RefMan NoteFirst NoteExpress
×
提示
您的信息不完整,为了账户安全,请先补充。
现在去补充
×
提示
您因"违规操作"
具体请查看互助需知
我知道了
×
提示
确定
请完成安全验证×
copy
已复制链接
快去分享给好友吧!
我知道了
右上角分享
点击右上角分享
0
联系我们:info@booksci.cn Book学术提供免费学术资源搜索服务,方便国内外学者检索中英文文献。致力于提供最便捷和优质的服务体验。 Copyright © 2023 布克学术 All rights reserved.
京ICP备2023020795号-1
ghs 京公网安备 11010802042870号
Book学术文献互助
Book学术文献互助群
群 号:604180095
Book学术官方微信