Functional independence during hospitalization in patients with intensive care unit-acquired weakness.

Shinichi Watanabe, Tomohiro Yoshikawa, Yoshie Hirota, Yuji Naito, Daisetsu Yasumura, Kota Yamauchi, Keisuke Suzuki, Takayasu Koike, Yasunari Morita
{"title":"Functional independence during hospitalization in patients with intensive care unit-acquired weakness.","authors":"Shinichi Watanabe, Tomohiro Yoshikawa, Yoshie Hirota, Yuji Naito, Daisetsu Yasumura, Kota Yamauchi, Keisuke Suzuki, Takayasu Koike, Yasunari Morita","doi":"10.1589/jpts.37.355","DOIUrl":null,"url":null,"abstract":"<p><p>[Purpose] To examine the association between intensive care unit-acquired weakness and functional disability, specifically hospitalization-associated disability. [Participants and Methods] This <i>post-hoc</i> analysis of an investigation of the physical activity of mechanical ventilated patients in intensive care units involved nine hospitals. Consecutive patients, intubated in the intensive care unit for >48 h, were eligible. The exposure variable was intensive-care-unit-acquired weakness. The primary outcomes were the Barthel Index and incidence of hospitalization-associated disability. Multiple logistic regression analysis was used to analyze the association between intensive-care-unit-acquired weakness and both outcomes. [Results] Of the 121 patients, 46 were assigned to the intensive-care-unit-acquired weakness group and 75 to the non-intensive-care-unit-acquired weakness group. The Barthel Index scores were consistently different between intensive care unit discharge and hospital discharge. No significant difference in the incidence of hospitalization-associated disability was found from intensive care unit discharge to 28 days post-ICU discharge. A significant difference between the two groups was observed only at the time of hospital discharge. The Medical Research Council score correlated linearly with the Barthel Index at 7, 14, and 28 days and with hospital discharge. [Conclusion] Intensive-care-unit-acquired weakness is significantly associated with functional disability and hospitalization-associated disability in critically ill patients admitted with acute illness.</p>","PeriodicalId":16834,"journal":{"name":"Journal of Physical Therapy Science","volume":"37 7","pages":"355-360"},"PeriodicalIF":0.0000,"publicationDate":"2025-07-01","publicationTypes":"Journal Article","fieldsOfStudy":null,"isOpenAccess":false,"openAccessPdf":"https://www.ncbi.nlm.nih.gov/pmc/articles/PMC12208693/pdf/","citationCount":"0","resultStr":null,"platform":"Semanticscholar","paperid":null,"PeriodicalName":"Journal of Physical Therapy Science","FirstCategoryId":"1085","ListUrlMain":"https://doi.org/10.1589/jpts.37.355","RegionNum":0,"RegionCategory":null,"ArticlePicture":[],"TitleCN":null,"AbstractTextCN":null,"PMCID":null,"EPubDate":"","PubModel":"","JCR":"","JCRName":"","Score":null,"Total":0}
引用次数: 0

Abstract

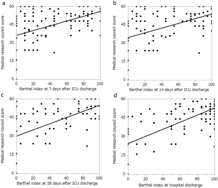
[Purpose] To examine the association between intensive care unit-acquired weakness and functional disability, specifically hospitalization-associated disability. [Participants and Methods] This post-hoc analysis of an investigation of the physical activity of mechanical ventilated patients in intensive care units involved nine hospitals. Consecutive patients, intubated in the intensive care unit for >48 h, were eligible. The exposure variable was intensive-care-unit-acquired weakness. The primary outcomes were the Barthel Index and incidence of hospitalization-associated disability. Multiple logistic regression analysis was used to analyze the association between intensive-care-unit-acquired weakness and both outcomes. [Results] Of the 121 patients, 46 were assigned to the intensive-care-unit-acquired weakness group and 75 to the non-intensive-care-unit-acquired weakness group. The Barthel Index scores were consistently different between intensive care unit discharge and hospital discharge. No significant difference in the incidence of hospitalization-associated disability was found from intensive care unit discharge to 28 days post-ICU discharge. A significant difference between the two groups was observed only at the time of hospital discharge. The Medical Research Council score correlated linearly with the Barthel Index at 7, 14, and 28 days and with hospital discharge. [Conclusion] Intensive-care-unit-acquired weakness is significantly associated with functional disability and hospitalization-associated disability in critically ill patients admitted with acute illness.

Abstract Image

重症监护病房获得性虚弱患者住院期间的功能独立
[目的]探讨重症监护病房获得性虚弱与功能残疾,特别是住院相关残疾之间的关系。[参与者和方法]本研究对九家医院重症监护病房机械通气患者的身体活动调查进行了事后分析。连续在重症监护病房插管48小时的患者符合条件。暴露变量为重症监护病房获得性虚弱。主要结局是Barthel指数和住院相关残疾的发生率。采用多元logistic回归分析重症监护单元获得性虚弱与两种结果的关系。[结果]121例患者中,46例被分配到重症监护单元获得性虚弱组,75例被分配到非重症监护单元获得性虚弱组。Barthel指数得分在重症监护病房出院和医院出院之间始终存在差异。从重症监护病房出院到icu出院后28天,住院相关残疾的发生率无显著差异。两组之间的显著差异仅在出院时观察到。医学研究委员会评分与Barthel指数在7、14和28天以及出院呈线性相关。[结论]重症监护病房获得性虚弱与急性病住院危重患者功能失能及住院相关失能显著相关。
本文章由计算机程序翻译,如有差异,请以英文原文为准。
求助全文
约1分钟内获得全文 求助全文
来源期刊
自引率
0.00%
发文量
137
审稿时长
4-8 weeks
×
引用
GB/T 7714-2015
复制
MLA
复制
APA
复制
导出至
BibTeX EndNote RefMan NoteFirst NoteExpress
×
提示
您的信息不完整,为了账户安全,请先补充。
现在去补充
×
提示
您因"违规操作"
具体请查看互助需知
我知道了
×
提示
确定
请完成安全验证×
copy
已复制链接
快去分享给好友吧!
我知道了
右上角分享
点击右上角分享
0
联系我们:info@booksci.cn Book学术提供免费学术资源搜索服务,方便国内外学者检索中英文文献。致力于提供最便捷和优质的服务体验。 Copyright © 2023 布克学术 All rights reserved.
京ICP备2023020795号-1
ghs 京公网安备 11010802042870号
Book学术文献互助
Book学术文献互助群
群 号:604180095
Book学术官方微信