Neuroprotective effect of ripasudil on retinal ganglion cells via an antioxidative mechanism.

IF 1.9 3区 医学 Q2 OPHTHALMOLOGY
Japanese Journal of Ophthalmology Pub Date : 2025-09-01 Epub Date: 2025-07-02 DOI:10.1007/s10384-025-01243-x
Reiko Yamagishi-Kimura, Megumi Honjo, Makoto Aihara
{"title":"Neuroprotective effect of ripasudil on retinal ganglion cells via an antioxidative mechanism.","authors":"Reiko Yamagishi-Kimura, Megumi Honjo, Makoto Aihara","doi":"10.1007/s10384-025-01243-x","DOIUrl":null,"url":null,"abstract":"<p><strong>Purpose: </strong>To evaluate the neuroprotective effect of ripasudil, a rho-kinase inhibitor that is a commercially available glaucoma medication that lowers intraocular pressure. We explored the effects of ripasudil on retinal damage via oxidative stress (OS) in primary rat retinal ganglion cell (RGC) cultures and NMDA-induced retinal damage in mice.</p><p><strong>Study design: </strong>Experimental investigation METHODS: Primary rat RGCs were isolated via a 2-step immunopanning method and cultured under normal cultivation conditions for 72 h and for a further 24 h in antioxidant-free medium for OS. We measured the number of living RGCs by use of calcein-AM and calpain activity via calpain immunoreactivity assays. Furthermore, we evaluated the effects of ripasudil via RGC counting in retinal flat-mounts from Thy1-CFP mice, retinal thickness via optical coherence tomography, and reduced glutathione levels via GSSG/GSH assays in NMDA-induced retinal damage.</p><p><strong>Results: </strong>The living RGC counts of normal, OS, 0.1, 1, 10, and 100 uM ripasudil under OS were 236.0 ± 21.6, 155.0 ± 13.2, 155.9 ± 17.1, 158.9 ± 12.0, 184.8 ± 26.9, and 201.1 ± 24.8 cells, respectively. 10 or 100 uM ripasudil significantly inhibited the OS-induced RGC reduction (P < 0.05 or 0.01). Furthermore, the enhanced calpain activity induced by OS was suppressed by 100 uM ripasudil (P < 0.05). In an in vivo study, the RGC counts in the NMDA-treated group were lower than those of the non-NMDA-treated group. NMDA-induced RGC loss was significantly suppressed by ripasudil (P < 0.01). Retinal thinning after 3 weeks of NMDA injection was also inhibited by ripasudil (P < 0.01 or 0.05). Furthermore, NMDA increased the glutathione level, whereas ripasudil suppressed it (P < 0.05).</p><p><strong>Conclusions: </strong>Ripasudil may have neuroprotective effects via an antioxidative mechanism, which could be useful as an intraocular pressure-independent additive.</p>","PeriodicalId":14563,"journal":{"name":"Japanese Journal of Ophthalmology","volume":" ","pages":"823-832"},"PeriodicalIF":1.9000,"publicationDate":"2025-09-01","publicationTypes":"Journal Article","fieldsOfStudy":null,"isOpenAccess":false,"openAccessPdf":"https://www.ncbi.nlm.nih.gov/pmc/articles/PMC12391152/pdf/","citationCount":"0","resultStr":null,"platform":"Semanticscholar","paperid":null,"PeriodicalName":"Japanese Journal of Ophthalmology","FirstCategoryId":"3","ListUrlMain":"https://doi.org/10.1007/s10384-025-01243-x","RegionNum":3,"RegionCategory":"医学","ArticlePicture":[],"TitleCN":null,"AbstractTextCN":null,"PMCID":null,"EPubDate":"2025/7/2 0:00:00","PubModel":"Epub","JCR":"Q2","JCRName":"OPHTHALMOLOGY","Score":null,"Total":0}
引用次数: 0

Abstract

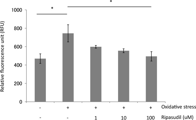
Purpose: To evaluate the neuroprotective effect of ripasudil, a rho-kinase inhibitor that is a commercially available glaucoma medication that lowers intraocular pressure. We explored the effects of ripasudil on retinal damage via oxidative stress (OS) in primary rat retinal ganglion cell (RGC) cultures and NMDA-induced retinal damage in mice.

Study design: Experimental investigation METHODS: Primary rat RGCs were isolated via a 2-step immunopanning method and cultured under normal cultivation conditions for 72 h and for a further 24 h in antioxidant-free medium for OS. We measured the number of living RGCs by use of calcein-AM and calpain activity via calpain immunoreactivity assays. Furthermore, we evaluated the effects of ripasudil via RGC counting in retinal flat-mounts from Thy1-CFP mice, retinal thickness via optical coherence tomography, and reduced glutathione levels via GSSG/GSH assays in NMDA-induced retinal damage.

Results: The living RGC counts of normal, OS, 0.1, 1, 10, and 100 uM ripasudil under OS were 236.0 ± 21.6, 155.0 ± 13.2, 155.9 ± 17.1, 158.9 ± 12.0, 184.8 ± 26.9, and 201.1 ± 24.8 cells, respectively. 10 or 100 uM ripasudil significantly inhibited the OS-induced RGC reduction (P < 0.05 or 0.01). Furthermore, the enhanced calpain activity induced by OS was suppressed by 100 uM ripasudil (P < 0.05). In an in vivo study, the RGC counts in the NMDA-treated group were lower than those of the non-NMDA-treated group. NMDA-induced RGC loss was significantly suppressed by ripasudil (P < 0.01). Retinal thinning after 3 weeks of NMDA injection was also inhibited by ripasudil (P < 0.01 or 0.05). Furthermore, NMDA increased the glutathione level, whereas ripasudil suppressed it (P < 0.05).

Conclusions: Ripasudil may have neuroprotective effects via an antioxidative mechanism, which could be useful as an intraocular pressure-independent additive.

Abstract Image

Abstract Image

Abstract Image

利帕舒地尔通过抗氧化机制对视网膜神经节细胞的神经保护作用。
目的:评估利帕舒地尔的神经保护作用,利帕舒地尔是一种rho激酶抑制剂,是一种市售的降低眼压的青光眼药物。我们探讨了利帕舒地尔通过氧化应激(OS)对大鼠视网膜神经节细胞(RGC)培养和nmda诱导的小鼠视网膜损伤的影响。方法:采用两步免疫计划法分离大鼠原代RGCs,在正常培养条件下培养72 h,在无抗氧化剂培养基中培养24 h。我们使用calcein-AM测定活rgc的数量,并通过calpain免疫反应性测定calpain活性。此外,我们通过对Thy1-CFP小鼠视网膜平片的RGC计数,通过光学相干断层扫描评估视网膜厚度,通过GSSG/GSH测定降低谷胱甘肽水平来评估利帕舒地尔对nmda诱导的视网膜损伤的影响。结果:正常、OS、0.1、1、10、100 μ m利帕舒地尔OS下活RGC细胞计数分别为236.0±21.6、155.0±13.2、155.9±17.1、158.9±12.0、184.8±26.9、201.1±24.8个。10、100 μ m利帕舒地尔显著抑制os诱导的RGC减少(P < 0.05或0.01)。此外,100 μ m利帕舒地尔可抑制OS诱导的calpain活性增强(P < 0.05)。在体内研究中,nmda治疗组的RGC计数低于非nmda治疗组。利帕舒地尔显著抑制nmda诱导的RGC丢失(P < 0.01)。利帕舒地尔也能抑制NMDA注射后3周视网膜变薄(P < 0.01或0.05)。NMDA能提高大鼠谷胱甘肽水平,而利帕舒地尔能抑制谷胱甘肽水平(P < 0.05)。结论:利帕舒地尔可能通过抗氧化机制具有神经保护作用,可作为眼压不依赖性添加剂使用。
本文章由计算机程序翻译,如有差异,请以英文原文为准。
求助全文
约1分钟内获得全文 求助全文
来源期刊
CiteScore
4.80
自引率
8.30%
发文量
65
审稿时长
6-12 weeks
期刊介绍: The Japanese Journal of Ophthalmology (JJO) was inaugurated in 1957 as a quarterly journal published in English by the Ophthalmology Department of the University of Tokyo, with the aim of disseminating the achievements of Japanese ophthalmologists worldwide. JJO remains the only Japanese ophthalmology journal published in English. In 1997, the Japanese Ophthalmological Society assumed the responsibility for publishing the Japanese Journal of Ophthalmology as its official English-language publication. Currently the journal is published bimonthly and accepts papers from authors worldwide. JJO has become an international interdisciplinary forum for the publication of basic science and clinical research papers.
×
引用
GB/T 7714-2015
复制
MLA
复制
APA
复制
导出至
BibTeX EndNote RefMan NoteFirst NoteExpress
×
提示
您的信息不完整,为了账户安全,请先补充。
现在去补充
×
提示
您因"违规操作"
具体请查看互助需知
我知道了
×
提示
确定
请完成安全验证×
copy
已复制链接
快去分享给好友吧!
我知道了
右上角分享
点击右上角分享
0
联系我们:info@booksci.cn Book学术提供免费学术资源搜索服务,方便国内外学者检索中英文文献。致力于提供最便捷和优质的服务体验。 Copyright © 2023 布克学术 All rights reserved.
京ICP备2023020795号-1
ghs 京公网安备 11010802042870号
Book学术文献互助
Book学术文献互助群
群 号:604180095
Book学术官方微信