Establishment of age-related AMH screening cutoffs in Chinese women with PCOS: a retrospective study using propensity score matching analysis.

IF 3.3 3区 医学 Q3 ENDOCRINOLOGY & METABOLISM
Zhen Wang, Xiaojing Teng, Yanfei Liu, Yonghai Shen, Lin Ma, Yu Chen
{"title":"Establishment of age-related AMH screening cutoffs in Chinese women with PCOS: a retrospective study using propensity score matching analysis.","authors":"Zhen Wang, Xiaojing Teng, Yanfei Liu, Yonghai Shen, Lin Ma, Yu Chen","doi":"10.1186/s12902-025-01975-4","DOIUrl":null,"url":null,"abstract":"<p><strong>Background: </strong>Polycystic ovary syndrome (PCOS) is a common endocrine disorder that affects 5-18% of women worldwide. This disorder is characterized by two core pathological features: ovulatory dysfunction and hyperandrogenism.</p><p><strong>Method: </strong>A retrospective analysis was conducted on cases treated at Hangzhou Women's Hospital from July 2021 to November 2023. Based on age, we conducted propensity score matching analysis in a 1:1 ratio and statistical analysis using SPSS software, plotted receiver operating characteristic curves, and obtained the area under the curve, the optimal anti-Müllerian hormone screening threshold, corresponding sensitivity, specificity, Youden index, correct diagnostic rate, positive predictive value, negative predictive value. Age-related anti-Müllerian hormone screening criteria with polycystic ovary syndrome were established and evaluated based on the optimal anti-Müllerian hormone screening cutoff for each group. The above results were validated by the validation group. And Kappa consistency test was conducted between the age-related anti-Müllerian hormone screening test and 2003 Rotterdam criteria for polycystic ovary syndrome.</p><p><strong>Results: </strong>The screening criteria for age-related anti-Müllerian hormone with polycystic ovary syndrome were: ≥7.46 ng/ml (20-24-year-old), ≥ 4.55 ng/ml (25-29-year-old), ≥ 4.19 ng/ml (30-34-year-old), ≥ 3.57 ng/ml (35-39-year-old).</p><p><strong>Conclusion: </strong>Our research indicates that age specific AMH threshold values show promising sensitivity and specificity for PCOS screening in the validation cohort. These findings indicate the potential utility of AMH based screening, but emphasize the need for optimization and validation in larger multicenter studies before clinical implementation.</p><p><strong>Clinical trial number: </strong>Not applicable.</p>","PeriodicalId":9152,"journal":{"name":"BMC Endocrine Disorders","volume":"25 1","pages":"153"},"PeriodicalIF":3.3000,"publicationDate":"2025-07-01","publicationTypes":"Journal Article","fieldsOfStudy":null,"isOpenAccess":false,"openAccessPdf":"https://www.ncbi.nlm.nih.gov/pmc/articles/PMC12210944/pdf/","citationCount":"0","resultStr":null,"platform":"Semanticscholar","paperid":null,"PeriodicalName":"BMC Endocrine Disorders","FirstCategoryId":"3","ListUrlMain":"https://doi.org/10.1186/s12902-025-01975-4","RegionNum":3,"RegionCategory":"医学","ArticlePicture":[],"TitleCN":null,"AbstractTextCN":null,"PMCID":null,"EPubDate":"","PubModel":"","JCR":"Q3","JCRName":"ENDOCRINOLOGY & METABOLISM","Score":null,"Total":0}
引用次数: 0

Abstract

Background: Polycystic ovary syndrome (PCOS) is a common endocrine disorder that affects 5-18% of women worldwide. This disorder is characterized by two core pathological features: ovulatory dysfunction and hyperandrogenism.

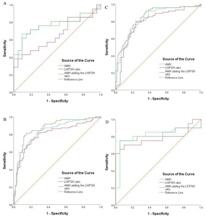
Method: A retrospective analysis was conducted on cases treated at Hangzhou Women's Hospital from July 2021 to November 2023. Based on age, we conducted propensity score matching analysis in a 1:1 ratio and statistical analysis using SPSS software, plotted receiver operating characteristic curves, and obtained the area under the curve, the optimal anti-Müllerian hormone screening threshold, corresponding sensitivity, specificity, Youden index, correct diagnostic rate, positive predictive value, negative predictive value. Age-related anti-Müllerian hormone screening criteria with polycystic ovary syndrome were established and evaluated based on the optimal anti-Müllerian hormone screening cutoff for each group. The above results were validated by the validation group. And Kappa consistency test was conducted between the age-related anti-Müllerian hormone screening test and 2003 Rotterdam criteria for polycystic ovary syndrome.

Results: The screening criteria for age-related anti-Müllerian hormone with polycystic ovary syndrome were: ≥7.46 ng/ml (20-24-year-old), ≥ 4.55 ng/ml (25-29-year-old), ≥ 4.19 ng/ml (30-34-year-old), ≥ 3.57 ng/ml (35-39-year-old).

Conclusion: Our research indicates that age specific AMH threshold values show promising sensitivity and specificity for PCOS screening in the validation cohort. These findings indicate the potential utility of AMH based screening, but emphasize the need for optimization and validation in larger multicenter studies before clinical implementation.

Clinical trial number: Not applicable.

Abstract Image

Abstract Image

中国女性多囊卵巢综合征年龄相关性AMH筛查截止点的建立:使用倾向评分匹配分析的回顾性研究
背景:多囊卵巢综合征(PCOS)是一种常见的内分泌疾病,影响全球5-18%的女性。这种疾病的特点是两个核心病理特征:排卵功能障碍和高雄激素症。方法:对杭州市妇女医院2021年7月至2023年11月收治的病例进行回顾性分析。基于年龄,进行1:1比例的倾向评分匹配分析,并使用SPSS软件进行统计分析,绘制受试者工作特征曲线,得到曲线下面积、最佳抗勒氏激素筛查阈值、相应的敏感性、特异性、约登指数、正确诊出率、阳性预测值、阴性预测值。建立多囊卵巢综合征年龄相关性抗勒氏激素筛查标准,并根据各组最佳抗勒氏激素筛查截止值进行评价。以上结果经验证组验证。将年龄相关性抗勒氏激素筛查试验与2003年多囊卵巢综合征鹿特丹标准进行Kappa一致性检验。结果:多囊卵巢综合征年龄相关性抗勒氏激素筛查标准为:≥7.46 ng/ml(20-24岁)、≥4.55 ng/ml(25-29岁)、≥4.19 ng/ml(30-34岁)、≥3.57 ng/ml(35-39岁)。结论:我们的研究表明,在验证队列中,年龄特异性AMH阈值对PCOS筛查具有良好的敏感性和特异性。这些发现表明基于AMH筛查的潜在效用,但强调在临床实施之前需要在更大的多中心研究中进行优化和验证。临床试验号:不适用。
本文章由计算机程序翻译,如有差异,请以英文原文为准。
求助全文
约1分钟内获得全文 求助全文
来源期刊
BMC Endocrine Disorders
BMC Endocrine Disorders ENDOCRINOLOGY & METABOLISM-
CiteScore
4.40
自引率
0.00%
发文量
280
审稿时长
>12 weeks
期刊介绍: BMC Endocrine Disorders is an open access, peer-reviewed journal that considers articles on all aspects of the prevention, diagnosis and management of endocrine disorders, as well as related molecular genetics, pathophysiology, and epidemiology.
×
引用
GB/T 7714-2015
复制
MLA
复制
APA
复制
导出至
BibTeX EndNote RefMan NoteFirst NoteExpress
×
提示
您的信息不完整,为了账户安全,请先补充。
现在去补充
×
提示
您因"违规操作"
具体请查看互助需知
我知道了
×
提示
确定
请完成安全验证×
copy
已复制链接
快去分享给好友吧!
我知道了
右上角分享
点击右上角分享
0
联系我们:info@booksci.cn Book学术提供免费学术资源搜索服务,方便国内外学者检索中英文文献。致力于提供最便捷和优质的服务体验。 Copyright © 2023 布克学术 All rights reserved.
京ICP备2023020795号-1
ghs 京公网安备 11010802042870号
Book学术文献互助
Book学术文献互助群
群 号:604180095
Book学术官方微信