In vitro metabolic profiling of methylenedioxy-substituted synthetic cathinones for enhanced detection in urine sample analysis.

IF 3 3区 农林科学 Q2 FOOD SCIENCE & TECHNOLOGY
Ya-Ling Yeh, Chin-Lin Hsieh, Yi-Jia Huang, Yu-Hsiang Chang, Sheng-Meng Wang
{"title":"In vitro metabolic profiling of methylenedioxy-substituted synthetic cathinones for enhanced detection in urine sample analysis.","authors":"Ya-Ling Yeh, Chin-Lin Hsieh, Yi-Jia Huang, Yu-Hsiang Chang, Sheng-Meng Wang","doi":"10.38212/2224-6614.3543","DOIUrl":null,"url":null,"abstract":"<p><p>Synthetic cathinones are a widely abused class of new psychoactive substances that pose significant challenges in forensic toxicology owing to their complex metabolic pathways and lack of verified reference standards. This study investigated the in vitro metabolism of nine methylenedioxy-substituted synthetic cathinones, including methylone and eight structural isomers, which were categorized into three groups: Group 1 (dimethylone, ethylone, and butylone), Group 2 (dibutylone, pentylone, and eutylone), and Group 3 (N-ethylpentylone and dipentylone). Pooled human liver microsomes, cytosol, and uridine diphosphate glucuronic acid were used to identify phase I and II metabolites by liquid chromatography-quadrupole time-of-flight mass spectrometry. Key pathways included N-dealkylation, β-ketone reduction, aliphatic hydroxylation, demethylenation, and glucuronide conjugation, with the analytes containing N, N-dimethylamino moieties showing higher N-dealkylation and β-ketone reduction ratios. Metabolic differences were semiquantitatively assessed using peak area ratios, which revealed relative trends among the analytes. Differences in the retention times and mass spectral fragmentation patterns enabled effective isomer differentiation, which was validated using a metabolite database. Analysis of 29 urine samples confirmed that the metabolites generated from β-ketone reduction (M2) and demethylenation followed by O-methylation (M3-5) were reliable detection targets. For instance, even when the parent drug concentrations were as low as 11 ng/mL (semiquantitative peak area ratio ~70.0%) for methylone (M-6) and 23 ng/mL (semiquantitative peak area ratio ~2.9%) for dibutylone (DB-8), multiple metabolites were detected. These metabolites extended the detection window beyond Taiwan's legal threshold of 50 ng/mL. Overall, this study provides a unified comparison of the products of synthetic cathinone metabolism, and highlights the importance of metabolites as key markers for enhanced identification accuracy in forensic toxicology.</p>","PeriodicalId":358,"journal":{"name":"Journal of Food and Drug Analysis","volume":"33 2","pages":"132-149"},"PeriodicalIF":3.0000,"publicationDate":"2025-06-13","publicationTypes":"Journal Article","fieldsOfStudy":null,"isOpenAccess":false,"openAccessPdf":"https://www.ncbi.nlm.nih.gov/pmc/articles/PMC12213143/pdf/","citationCount":"0","resultStr":null,"platform":"Semanticscholar","paperid":null,"PeriodicalName":"Journal of Food and Drug Analysis","FirstCategoryId":"97","ListUrlMain":"https://doi.org/10.38212/2224-6614.3543","RegionNum":3,"RegionCategory":"农林科学","ArticlePicture":[],"TitleCN":null,"AbstractTextCN":null,"PMCID":null,"EPubDate":"","PubModel":"","JCR":"Q2","JCRName":"FOOD SCIENCE & TECHNOLOGY","Score":null,"Total":0}
引用次数: 0

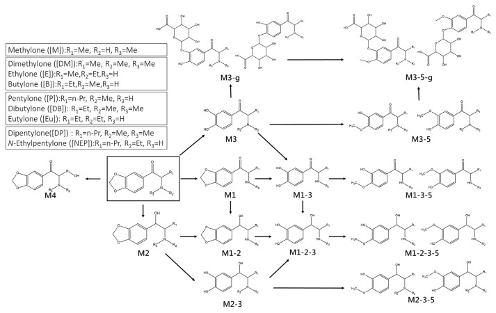
Abstract

Synthetic cathinones are a widely abused class of new psychoactive substances that pose significant challenges in forensic toxicology owing to their complex metabolic pathways and lack of verified reference standards. This study investigated the in vitro metabolism of nine methylenedioxy-substituted synthetic cathinones, including methylone and eight structural isomers, which were categorized into three groups: Group 1 (dimethylone, ethylone, and butylone), Group 2 (dibutylone, pentylone, and eutylone), and Group 3 (N-ethylpentylone and dipentylone). Pooled human liver microsomes, cytosol, and uridine diphosphate glucuronic acid were used to identify phase I and II metabolites by liquid chromatography-quadrupole time-of-flight mass spectrometry. Key pathways included N-dealkylation, β-ketone reduction, aliphatic hydroxylation, demethylenation, and glucuronide conjugation, with the analytes containing N, N-dimethylamino moieties showing higher N-dealkylation and β-ketone reduction ratios. Metabolic differences were semiquantitatively assessed using peak area ratios, which revealed relative trends among the analytes. Differences in the retention times and mass spectral fragmentation patterns enabled effective isomer differentiation, which was validated using a metabolite database. Analysis of 29 urine samples confirmed that the metabolites generated from β-ketone reduction (M2) and demethylenation followed by O-methylation (M3-5) were reliable detection targets. For instance, even when the parent drug concentrations were as low as 11 ng/mL (semiquantitative peak area ratio ~70.0%) for methylone (M-6) and 23 ng/mL (semiquantitative peak area ratio ~2.9%) for dibutylone (DB-8), multiple metabolites were detected. These metabolites extended the detection window beyond Taiwan's legal threshold of 50 ng/mL. Overall, this study provides a unified comparison of the products of synthetic cathinone metabolism, and highlights the importance of metabolites as key markers for enhanced identification accuracy in forensic toxicology.

Abstract Image

Abstract Image

Abstract Image

亚甲二氧基取代的合成卡西酮体外代谢谱分析在尿样分析中的增强检测。
合成卡西酮是一类被广泛滥用的新型精神活性物质,由于其复杂的代谢途径和缺乏经过验证的参考标准,对法医毒理学构成了重大挑战。本研究研究了九种亚二氧基取代合成卡西酮的体外代谢,包括甲基酮和八种结构异构体,分为三组:第1组(二甲基酮、乙炔酮和丁酮),第2组(二丁酮、戊酮和真酮),第3组(n -乙基戊酮和二戊酮)。采用液相色谱-四极杆飞行时间质谱法,将人肝微粒体、细胞质和尿苷二磷酸葡萄糖醛酸混合,鉴定第一和第二相代谢物。关键途径包括N-脱烷基、β-酮还原、脂肪羟基化、去甲基化和葡萄糖醛酸偶联,含有N, N-二甲胺的分析物具有较高的N-脱烷基和β-酮还原率。利用峰面积比半定量地评估代谢差异,这揭示了分析物之间的相对趋势。保留时间和质谱碎片模式的差异可以有效地区分异构体,并通过代谢物数据库进行了验证。29份尿样的分析证实,β-酮还原(M2)和去甲基化后的o -甲基化(M3-5)产生的代谢物是可靠的检测靶点。例如,即使母体药物浓度低至甲基酮(M-6) 11 ng/mL(半定量峰面积比~70.0%)和二丁酮(DB-8) 23 ng/mL(半定量峰面积比~2.9%),也能检测到多种代谢物。这些代谢物延长了检测窗口,超出了台湾50 ng/mL的法定阈值。总的来说,本研究提供了合成卡西酮代谢产物的统一比较,并强调了代谢物作为法医毒理学中提高鉴定准确性的关键标记的重要性。
本文章由计算机程序翻译,如有差异,请以英文原文为准。
求助全文
约1分钟内获得全文 求助全文
来源期刊
Journal of Food and Drug Analysis
Journal of Food and Drug Analysis 医学-食品科技
CiteScore
6.30
自引率
2.80%
发文量
36
审稿时长
3.8 months
期刊介绍: The journal aims to provide an international platform for scientists, researchers and academicians to promote, share and discuss new findings, current issues, and developments in the different areas of food and drug analysis. The scope of the Journal includes analytical methodologies and biological activities in relation to food, drugs, cosmetics and traditional Chinese medicine, as well as related disciplines of topical interest to public health professionals.
×
引用
GB/T 7714-2015
复制
MLA
复制
APA
复制
导出至
BibTeX EndNote RefMan NoteFirst NoteExpress
×
提示
您的信息不完整,为了账户安全,请先补充。
现在去补充
×
提示
您因"违规操作"
具体请查看互助需知
我知道了
×
提示
确定
请完成安全验证×
copy
已复制链接
快去分享给好友吧!
我知道了
右上角分享
点击右上角分享
0
联系我们:info@booksci.cn Book学术提供免费学术资源搜索服务,方便国内外学者检索中英文文献。致力于提供最便捷和优质的服务体验。 Copyright © 2023 布克学术 All rights reserved.
京ICP备2023020795号-1
ghs 京公网安备 11010802042870号
Book学术文献互助
Book学术文献互助群
群 号:604180095
Book学术官方微信