Education- and income-based inequalities of functional dentition by dental service utilization.

IF 3.1 Q1 DENTISTRY, ORAL SURGERY & MEDICINE
Frontiers in oral health Pub Date : 2025-06-13 eCollection Date: 2025-01-01 DOI:10.3389/froh.2025.1557008
Anna Rachel Dos Santos Soares, Carlos Antonio Gomes da Cruz, Maria Luíza Viana Fonseca, Líria Sheila Chamane, Loliza Luiz Figueiredo Houri Chalub, Raquel Conceição Ferreira
{"title":"Education- and income-based inequalities of functional dentition by dental service utilization.","authors":"Anna Rachel Dos Santos Soares, Carlos Antonio Gomes da Cruz, Maria Luíza Viana Fonseca, Líria Sheila Chamane, Loliza Luiz Figueiredo Houri Chalub, Raquel Conceição Ferreira","doi":"10.3389/froh.2025.1557008","DOIUrl":null,"url":null,"abstract":"<p><strong>Introduction: </strong>This study analyzed the magnitude of education- and income-based inequalities in functional dentition (FD) among Brazilian adults between 2013 and 2019, considering dental service utilization.</p><p><strong>Methods: </strong>This study based on repeated cross-sectional surveys using secondary data from a probabilistic sample of adults (18-59 years old) who participated in the 2013 and 2019 National Health Survey (NHS). Only individuals who reported having used dental services were included. FD was defined as having ≥21 teeth, based on self-reported tooth loss in the maxillary and mandibular arches. Variables included sex, age, education (years of study), and per capita family income (measured in minimum wages). Dental service utilization was assessed using the question \"When was the last time you visited a dentist?\" with responses dichotomized into \">1 year\" and \"≤1 year\". Absolute and relative inequalities in FD were assessed using the slope index of inequality (SII) and the relative index of inequality (RII), respectively, based on education and income. Generalized linear models (log-binomial regression) were applied with a logarithmic link function to estimate RII (rate ratios) and an identity link function to estimate SII (rate differences), adjusting for sex and age. Trends between 2013 and 2019 and differences in SII and RII by dental service utilization were assessed through two-way interaction terms in the models. All analyses accounted for the survey's complex sampling design and sample weights.</p><p><strong>Results: </strong>The prevalence of FD was 85.95% (2013) and 89.45% (2019) (<i>p</i> < 0.001). SII and RII indicated greater FD prevalence among higher socioeconomic groups, with the magnitude of education-based inequality higher than income-based inequality. Education-based inequalities decreased from 2013-2019. Educational inequalities were more pronounced among those who used dental services >1 year (<i>p</i> < 0.001), whereas income-based inequalities did not differ by dental service utilization (<i>p</i> > 0.05).</p><p><strong>Conclusions: </strong>Despite the reduction in FD education-based inequality in Brazil, persistent disparities were observed between socioeconomic groups, with the lowest inequalities found among adults who used dental services ≤1 year. This indicates the importance of interventions aimed at reducing barriers and promoting access to services for the most vulnerable populations.</p>","PeriodicalId":94016,"journal":{"name":"Frontiers in oral health","volume":"6 ","pages":"1557008"},"PeriodicalIF":3.1000,"publicationDate":"2025-06-13","publicationTypes":"Journal Article","fieldsOfStudy":null,"isOpenAccess":false,"openAccessPdf":"https://www.ncbi.nlm.nih.gov/pmc/articles/PMC12202351/pdf/","citationCount":"0","resultStr":null,"platform":"Semanticscholar","paperid":null,"PeriodicalName":"Frontiers in oral health","FirstCategoryId":"1085","ListUrlMain":"https://doi.org/10.3389/froh.2025.1557008","RegionNum":0,"RegionCategory":null,"ArticlePicture":[],"TitleCN":null,"AbstractTextCN":null,"PMCID":null,"EPubDate":"2025/1/1 0:00:00","PubModel":"eCollection","JCR":"Q1","JCRName":"DENTISTRY, ORAL SURGERY & MEDICINE","Score":null,"Total":0}
引用次数: 0

Abstract

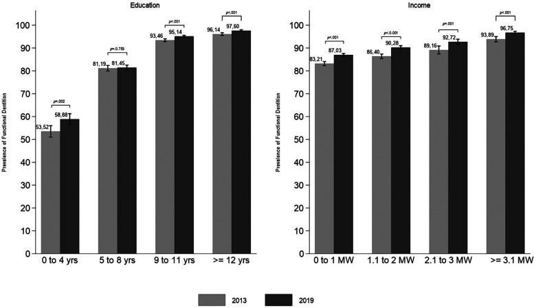
Introduction: This study analyzed the magnitude of education- and income-based inequalities in functional dentition (FD) among Brazilian adults between 2013 and 2019, considering dental service utilization.

Methods: This study based on repeated cross-sectional surveys using secondary data from a probabilistic sample of adults (18-59 years old) who participated in the 2013 and 2019 National Health Survey (NHS). Only individuals who reported having used dental services were included. FD was defined as having ≥21 teeth, based on self-reported tooth loss in the maxillary and mandibular arches. Variables included sex, age, education (years of study), and per capita family income (measured in minimum wages). Dental service utilization was assessed using the question "When was the last time you visited a dentist?" with responses dichotomized into ">1 year" and "≤1 year". Absolute and relative inequalities in FD were assessed using the slope index of inequality (SII) and the relative index of inequality (RII), respectively, based on education and income. Generalized linear models (log-binomial regression) were applied with a logarithmic link function to estimate RII (rate ratios) and an identity link function to estimate SII (rate differences), adjusting for sex and age. Trends between 2013 and 2019 and differences in SII and RII by dental service utilization were assessed through two-way interaction terms in the models. All analyses accounted for the survey's complex sampling design and sample weights.

Results: The prevalence of FD was 85.95% (2013) and 89.45% (2019) (p < 0.001). SII and RII indicated greater FD prevalence among higher socioeconomic groups, with the magnitude of education-based inequality higher than income-based inequality. Education-based inequalities decreased from 2013-2019. Educational inequalities were more pronounced among those who used dental services >1 year (p < 0.001), whereas income-based inequalities did not differ by dental service utilization (p > 0.05).

Conclusions: Despite the reduction in FD education-based inequality in Brazil, persistent disparities were observed between socioeconomic groups, with the lowest inequalities found among adults who used dental services ≤1 year. This indicates the importance of interventions aimed at reducing barriers and promoting access to services for the most vulnerable populations.

Abstract Image

Abstract Image

Abstract Image

基于教育和收入的牙科服务利用的功能性牙齿不平等。
本研究分析了2013年至2019年期间巴西成年人在功能性牙齿(FD)方面基于教育和收入的不平等程度,并考虑了牙科服务的利用。方法:本研究基于重复横断面调查,使用来自参加2013年和2019年国民健康调查(NHS)的成年人(18-59岁)的概率样本的二次数据。仅包括报告曾使用牙科服务的个人。根据自我报告的上颌和下颌弓牙齿缺失,FD定义为有≥21颗牙齿。变量包括性别、年龄、受教育程度(学习年限)和人均家庭收入(以最低工资衡量)。通过“你上次看牙医是什么时候?”这个问题来评估牙科服务的利用情况,回答分为“10年”和“≤1年”。基于教育和收入,分别使用不平等斜率指数(SII)和相对不平等指数(RII)评估FD的绝对和相对不平等。采用广义线性模型(对数二项回归),采用对数联系函数估计RII(比率比),采用身份联系函数估计SII(比率差),并对性别和年龄进行调整。通过模型中的双向交互项评估2013 - 2019年的趋势以及牙科服务利用的SII和RII差异。所有的分析都考虑到了调查复杂的抽样设计和样本权重。结果:FD患病率分别为85.95%(2013年)和89.45%(2019年)(p < 0.05)。结论:尽管巴西基于FD教育的不平等有所减少,但在社会经济群体之间存在持续的差异,在使用牙科服务≤1年的成年人中发现的不平等最低。这表明旨在减少障碍和促进最脆弱人口获得服务的干预措施的重要性。
本文章由计算机程序翻译,如有差异,请以英文原文为准。
求助全文
约1分钟内获得全文 求助全文
来源期刊
CiteScore
3.30
自引率
0.00%
发文量
0
审稿时长
13 weeks
×
引用
GB/T 7714-2015
复制
MLA
复制
APA
复制
导出至
BibTeX EndNote RefMan NoteFirst NoteExpress
×
提示
您的信息不完整,为了账户安全,请先补充。
现在去补充
×
提示
您因"违规操作"
具体请查看互助需知
我知道了
×
提示
确定
请完成安全验证×
copy
已复制链接
快去分享给好友吧!
我知道了
右上角分享
点击右上角分享
0
联系我们:info@booksci.cn Book学术提供免费学术资源搜索服务,方便国内外学者检索中英文文献。致力于提供最便捷和优质的服务体验。 Copyright © 2023 布克学术 All rights reserved.
京ICP备2023020795号-1
ghs 京公网安备 11010802042870号
Book学术文献互助
Book学术文献互助群
群 号:604180095
Book学术官方微信