Anterior Cingulate Cortex Glutamate Levels and Sensory Integration Are Associated in Individuals With Social Anhedonia: A Comparison Between 3T and 7T MRS.

IF 1.3 4区 心理学 Q3 PSYCHOLOGY, MULTIDISCIPLINARY
PsyCh journal Pub Date : 2025-08-01 Epub Date: 2025-06-29 DOI:10.1002/pchj.70029
Yun-Ru Wang, Xuan Wang, Xin-Lu Cai, Ling-Ling Wang, Yu-Xi Zhao, Li-Xian Wang, Wei Mao, Zhu-Jun Wei, Fangrong Zong, Yi Wang, Simon S Y Lui, Rong Xue, Raymond C K Chan
{"title":"Anterior Cingulate Cortex Glutamate Levels and Sensory Integration Are Associated in Individuals With Social Anhedonia: A Comparison Between 3T and 7T MRS.","authors":"Yun-Ru Wang, Xuan Wang, Xin-Lu Cai, Ling-Ling Wang, Yu-Xi Zhao, Li-Xian Wang, Wei Mao, Zhu-Jun Wei, Fangrong Zong, Yi Wang, Simon S Y Lui, Rong Xue, Raymond C K Chan","doi":"10.1002/pchj.70029","DOIUrl":null,"url":null,"abstract":"<p><p>Deficits in schizophrenia are linked to abnormalities in the glutamate (Glu) system, which are believed to result in neurological soft signs (NSS) and negative symptoms. This study investigated the relationship between Glu levels of the anterior cingulate cortex (ACC) and NSS, particularly sensory integration, in individuals with high and low levels of social anhedonia using 3 Tesla (T) and 7T Magnetic Resonance Spectroscopy (MRS). We recruited 16 participants with high social anhedonia and 18 with low social anhedonia and correlated their NSS scores with ACC Glu levels. While spectral quality metrics differed between field strengths, with 7T showing better spectral resolution and metabolite quantification reliability, both 3T and 7T data showed consistent correlation patterns. Our findings demonstrated that higher ACC Glu levels were associated with poorer sensory integration in high levels of social anhedonia across both field strengths, supported by both Pearson and Spearman rank correlations. Notably, the opposite pattern of association was found in people with low levels of social anhedonia at 7T. The Glu systems may be the common mechanisms for negative symptoms and NSS, highlighting its potential as a therapeutic target.</p>","PeriodicalId":20804,"journal":{"name":"PsyCh journal","volume":" ","pages":"560-572"},"PeriodicalIF":1.3000,"publicationDate":"2025-08-01","publicationTypes":"Journal Article","fieldsOfStudy":null,"isOpenAccess":false,"openAccessPdf":"https://www.ncbi.nlm.nih.gov/pmc/articles/PMC12318597/pdf/","citationCount":"0","resultStr":null,"platform":"Semanticscholar","paperid":null,"PeriodicalName":"PsyCh journal","FirstCategoryId":"102","ListUrlMain":"https://doi.org/10.1002/pchj.70029","RegionNum":4,"RegionCategory":"心理学","ArticlePicture":[],"TitleCN":null,"AbstractTextCN":null,"PMCID":null,"EPubDate":"2025/6/29 0:00:00","PubModel":"Epub","JCR":"Q3","JCRName":"PSYCHOLOGY, MULTIDISCIPLINARY","Score":null,"Total":0}
引用次数: 0

Abstract

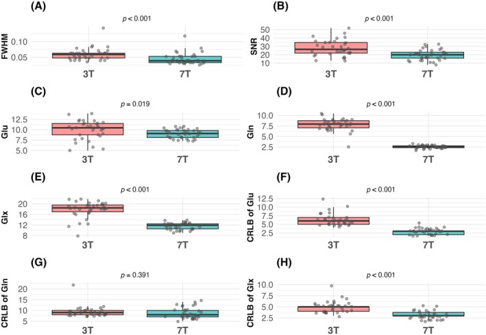
Deficits in schizophrenia are linked to abnormalities in the glutamate (Glu) system, which are believed to result in neurological soft signs (NSS) and negative symptoms. This study investigated the relationship between Glu levels of the anterior cingulate cortex (ACC) and NSS, particularly sensory integration, in individuals with high and low levels of social anhedonia using 3 Tesla (T) and 7T Magnetic Resonance Spectroscopy (MRS). We recruited 16 participants with high social anhedonia and 18 with low social anhedonia and correlated their NSS scores with ACC Glu levels. While spectral quality metrics differed between field strengths, with 7T showing better spectral resolution and metabolite quantification reliability, both 3T and 7T data showed consistent correlation patterns. Our findings demonstrated that higher ACC Glu levels were associated with poorer sensory integration in high levels of social anhedonia across both field strengths, supported by both Pearson and Spearman rank correlations. Notably, the opposite pattern of association was found in people with low levels of social anhedonia at 7T. The Glu systems may be the common mechanisms for negative symptoms and NSS, highlighting its potential as a therapeutic target.

Abstract Image

Abstract Image

Abstract Image

社交快感缺乏症患者前扣带皮层谷氨酸水平与感觉统合的关系:3T和7T MRS的比较
精神分裂症的缺陷与谷氨酸(Glu)系统的异常有关,这被认为会导致神经软症状(NSS)和阴性症状。本研究利用3特斯拉(T)和7T磁共振波谱(MRS)研究了高水平和低水平社交快感缺乏症患者前扣带皮层(ACC)谷氨酸水平与NSS,特别是感觉统合之间的关系。我们招募了16名高社交快感缺乏症患者和18名低社交快感缺乏症患者,并将他们的NSS评分与ACC Glu水平相关联。虽然不同场强的光谱质量指标存在差异,其中7T场强的光谱分辨率和代谢物定量可靠性更高,但3T和7T场强的数据显示出一致的相关模式。我们的研究结果表明,高水平的ACC - Glu水平与高水平的社交快感缺乏症中较差的感觉整合有关,这在两种领域优势中都得到了Pearson和Spearman等级相关性的支持。值得注意的是,在7岁时社交快感缺乏程度较低的人群中发现了相反的联系模式。Glu系统可能是阴性症状和NSS的共同机制,突出了其作为治疗靶点的潜力。
本文章由计算机程序翻译,如有差异,请以英文原文为准。
求助全文
约1分钟内获得全文 求助全文
来源期刊
PsyCh journal
PsyCh journal PSYCHOLOGY, MULTIDISCIPLINARY-
CiteScore
2.70
自引率
12.50%
发文量
109
期刊介绍: PsyCh Journal, China''s first international psychology journal, publishes peer‑reviewed research articles, research reports and integrated research reviews spanning the entire spectrum of scientific psychology and its applications. PsyCh Journal is the flagship journal of the Institute of Psychology, Chinese Academy of Sciences – the only national psychology research institute in China – and reflects the high research standards of the nation. Launched in 2012, PsyCh Journal is devoted to the publication of advanced research exploring basic mechanisms of the human mind and behavior, and delivering scientific knowledge to enhance understanding of culture and society. Towards that broader goal, the Journal will provide a forum for academic exchange and a “knowledge bridge” between China and the World by showcasing high-quality, cutting-edge research related to the science and practice of psychology both within and outside of China. PsyCh Journal features original articles of both empirical and theoretical research in scientific psychology and interdisciplinary sciences, across all levels, from molecular, cellular and system, to individual, group and society. The Journal also publishes evaluative and integrative review papers on any significant research contribution in any area of scientific psychology
×
引用
GB/T 7714-2015
复制
MLA
复制
APA
复制
导出至
BibTeX EndNote RefMan NoteFirst NoteExpress
×
提示
您的信息不完整,为了账户安全,请先补充。
现在去补充
×
提示
您因"违规操作"
具体请查看互助需知
我知道了
×
提示
确定
请完成安全验证×
copy
已复制链接
快去分享给好友吧!
我知道了
右上角分享
点击右上角分享
0
联系我们:info@booksci.cn Book学术提供免费学术资源搜索服务,方便国内外学者检索中英文文献。致力于提供最便捷和优质的服务体验。 Copyright © 2023 布克学术 All rights reserved.
京ICP备2023020795号-1
ghs 京公网安备 11010802042870号
Book学术文献互助
Book学术文献互助群
群 号:604180095
Book学术官方微信