Expression level, correlation, and diagnostic value of serum miR-99a in pulmonary fibrosis in patients with acute respiratory distress syndrome.

IF 1.5 4区 医学 Q3 CARDIAC & CARDIOVASCULAR SYSTEMS
Lanlan Chen, Qihong Zhuang
{"title":"Expression level, correlation, and diagnostic value of serum miR-99a in pulmonary fibrosis in patients with acute respiratory distress syndrome.","authors":"Lanlan Chen, Qihong Zhuang","doi":"10.1186/s13019-025-03511-w","DOIUrl":null,"url":null,"abstract":"<p><strong>Background: </strong>Acute respiratory distress syndrome (ARDS) is a prevalent critical condition encountered in clinical settings and is characterized by high mortality. This research investigated miR-99a in diagnosing ARDS and its role in predicting pulmonary fibrosis (PF) among ARDS patients, to identify novel and effective biomarkers for ARDS.</p><p><strong>Materials and methods: </strong>In this study, 128 patients with ARDS were selected as the experimental group, and 98 healthy people were included as the control group. ELISA measured the expression levels of IL-6, TNF-α, and IL-8, and the expression of miR-99a was measured by qRT-PCR. ROC curve evaluated the diagnostic value of miR-99a in ARDS patients and PF. Logistic regression evaluated the independent risk factors for PF in ARDS patients.</p><p><strong>Results: </strong>This research demonstrated that miR-99a and inflammatory factors (IL-6, TNF-α, and IL-8) were markedly elevated in ARDS patients. The expression levels of miR-99a exhibited a significant correlation with the Murray score, PaO2/FiO2 ratio, APACHE II score, and occurrence of PF in ARDS patients. Furthermore, miR-99a displayed a robust distinguishing capacity for ARDS patients. Notably, miR-99a was found to be highly expressed within the PF subgroup of ARDS patients. It was recognized as a critical risk factor for PF occurrence in ARDS individuals and demonstrated considerable predictive potential.</p><p><strong>Conclusion: </strong>The miR-99a could potentially be a promising biomarker for ARDS and predict the risk of PF in ARDS patients.</p>","PeriodicalId":15201,"journal":{"name":"Journal of Cardiothoracic Surgery","volume":"20 1","pages":"276"},"PeriodicalIF":1.5000,"publicationDate":"2025-06-28","publicationTypes":"Journal Article","fieldsOfStudy":null,"isOpenAccess":false,"openAccessPdf":"https://www.ncbi.nlm.nih.gov/pmc/articles/PMC12205493/pdf/","citationCount":"0","resultStr":null,"platform":"Semanticscholar","paperid":null,"PeriodicalName":"Journal of Cardiothoracic Surgery","FirstCategoryId":"3","ListUrlMain":"https://doi.org/10.1186/s13019-025-03511-w","RegionNum":4,"RegionCategory":"医学","ArticlePicture":[],"TitleCN":null,"AbstractTextCN":null,"PMCID":null,"EPubDate":"","PubModel":"","JCR":"Q3","JCRName":"CARDIAC & CARDIOVASCULAR SYSTEMS","Score":null,"Total":0}
引用次数: 0

Abstract

Background: Acute respiratory distress syndrome (ARDS) is a prevalent critical condition encountered in clinical settings and is characterized by high mortality. This research investigated miR-99a in diagnosing ARDS and its role in predicting pulmonary fibrosis (PF) among ARDS patients, to identify novel and effective biomarkers for ARDS.

Materials and methods: In this study, 128 patients with ARDS were selected as the experimental group, and 98 healthy people were included as the control group. ELISA measured the expression levels of IL-6, TNF-α, and IL-8, and the expression of miR-99a was measured by qRT-PCR. ROC curve evaluated the diagnostic value of miR-99a in ARDS patients and PF. Logistic regression evaluated the independent risk factors for PF in ARDS patients.

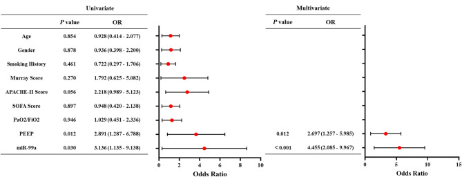
Results: This research demonstrated that miR-99a and inflammatory factors (IL-6, TNF-α, and IL-8) were markedly elevated in ARDS patients. The expression levels of miR-99a exhibited a significant correlation with the Murray score, PaO2/FiO2 ratio, APACHE II score, and occurrence of PF in ARDS patients. Furthermore, miR-99a displayed a robust distinguishing capacity for ARDS patients. Notably, miR-99a was found to be highly expressed within the PF subgroup of ARDS patients. It was recognized as a critical risk factor for PF occurrence in ARDS individuals and demonstrated considerable predictive potential.

Conclusion: The miR-99a could potentially be a promising biomarker for ARDS and predict the risk of PF in ARDS patients.

Abstract Image

Abstract Image

Abstract Image

血清miR-99a在急性呼吸窘迫综合征患者肺纤维化中的表达水平、相关性及诊断价值
背景:急性呼吸窘迫综合征(ARDS)是临床常见的危重疾病,其特点是死亡率高。本研究探讨了miR-99a在ARDS诊断中的作用及其在ARDS患者肺纤维化(PF)预测中的作用,以确定新的有效的ARDS生物标志物。材料与方法:本研究选择128例ARDS患者作为实验组,98例健康人作为对照组。ELISA检测IL-6、TNF-α、IL-8表达水平,qRT-PCR检测miR-99a表达水平。ROC曲线评价miR-99a对ARDS患者和PF的诊断价值,Logistic回归评价ARDS患者PF的独立危险因素。结果:本研究表明,miR-99a和炎症因子(IL-6、TNF-α和IL-8)在ARDS患者中明显升高。miR-99a的表达水平与ARDS患者Murray评分、PaO2/FiO2比值、APACHE II评分、PF的发生有显著相关性。此外,miR-99a对ARDS患者显示出强大的区分能力。值得注意的是,miR-99a在ARDS患者的PF亚组中被发现高表达。它被认为是ARDS患者发生PF的关键危险因素,并显示出相当大的预测潜力。结论:miR-99a可能是一种很有前景的ARDS生物标志物,可以预测ARDS患者发生PF的风险。
本文章由计算机程序翻译,如有差异,请以英文原文为准。
求助全文
约1分钟内获得全文 求助全文
来源期刊
Journal of Cardiothoracic Surgery
Journal of Cardiothoracic Surgery 医学-心血管系统
CiteScore
2.50
自引率
6.20%
发文量
286
审稿时长
4-8 weeks
期刊介绍: Journal of Cardiothoracic Surgery is an open access journal that encompasses all aspects of research in the field of Cardiology, and Cardiothoracic and Vascular Surgery. The journal publishes original scientific research documenting clinical and experimental advances in cardiac, vascular and thoracic surgery, and related fields. Topics of interest include surgical techniques, survival rates, surgical complications and their outcomes; along with basic sciences, pediatric conditions, transplantations and clinical trials. Journal of Cardiothoracic Surgery is of interest to cardiothoracic and vascular surgeons, cardiothoracic anaesthesiologists, cardiologists, chest physicians, and allied health professionals.
×
引用
GB/T 7714-2015
复制
MLA
复制
APA
复制
导出至
BibTeX EndNote RefMan NoteFirst NoteExpress
×
提示
您的信息不完整,为了账户安全,请先补充。
现在去补充
×
提示
您因"违规操作"
具体请查看互助需知
我知道了
×
提示
确定
请完成安全验证×
copy
已复制链接
快去分享给好友吧!
我知道了
右上角分享
点击右上角分享
0
联系我们:info@booksci.cn Book学术提供免费学术资源搜索服务,方便国内外学者检索中英文文献。致力于提供最便捷和优质的服务体验。 Copyright © 2023 布克学术 All rights reserved.
京ICP备2023020795号-1
ghs 京公网安备 11010802042870号
Book学术文献互助
Book学术文献互助群
群 号:604180095
Book学术官方微信