Assessing the efficiency and the side effects of atrazine-degrading biocomposites amended to atrazine-contaminated soil.

IF 3.2 3区 生物学 Q2 MICROBIOLOGY
Sakineh Abbasi, Marion Devers-Lamrani, Fabrice Martin-Laurent, Caroline Michel, Sana Romdhane, Nadine Rouard, Aymé Spor
{"title":"Assessing the efficiency and the side effects of atrazine-degrading biocomposites amended to atrazine-contaminated soil.","authors":"Sakineh Abbasi, Marion Devers-Lamrani, Fabrice Martin-Laurent, Caroline Michel, Sana Romdhane, Nadine Rouard, Aymé Spor","doi":"10.1093/femsec/fiaf071","DOIUrl":null,"url":null,"abstract":"<p><p>Even decades after being banned in Europe, atrazine and its main metabolites can still be found in soils. While bioaugmentation using pesticide-degrading bacteria is already employed for remediating polluted soils, there is a need to improve its efficiency. Investigating the use of carrier materials to deliver pesticide-degrading microorganisms in situ emerges as a promising approach. Here, we generated atrazine-degrading biocomposites by cultivating either a bacterial strain or a four-species consortium on zeolite as the carrier material. Using a microcosm approach, we evaluated their efficiency to mineralize 14C-atrazine in soil compared to free-living cells, and assessed their side effects on the native soil bacterial community using 16S rRNA metabarcoding. We showed that, right after inoculation, atrazine mineralization potential of the free-living cells was higher than that of the biocomposites. However, microcosms inoculated with the biocomposites displayed significantly higher atrazine mineralization potential after 15 and 45 days of incubation, indicating a higher efficiency but also a better stability in soil. Inoculation of free-living cells and biocomposites differently influenced the diversity and composition of the native microbial community, their impacts being modulated by the atrazine contamination scenario. Altogether, our results provide a thorough evaluation of the efficiency and the ecological impact of atrazine-degrading biocomposites in soil.</p>","PeriodicalId":12312,"journal":{"name":"FEMS microbiology ecology","volume":" ","pages":""},"PeriodicalIF":3.2000,"publicationDate":"2025-06-24","publicationTypes":"Journal Article","fieldsOfStudy":null,"isOpenAccess":false,"openAccessPdf":"https://www.ncbi.nlm.nih.gov/pmc/articles/PMC12231133/pdf/","citationCount":"0","resultStr":null,"platform":"Semanticscholar","paperid":null,"PeriodicalName":"FEMS microbiology ecology","FirstCategoryId":"99","ListUrlMain":"https://doi.org/10.1093/femsec/fiaf071","RegionNum":3,"RegionCategory":"生物学","ArticlePicture":[],"TitleCN":null,"AbstractTextCN":null,"PMCID":null,"EPubDate":"","PubModel":"","JCR":"Q2","JCRName":"MICROBIOLOGY","Score":null,"Total":0}
引用次数: 0

Abstract

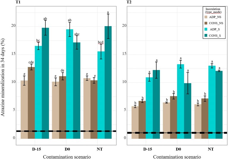
Even decades after being banned in Europe, atrazine and its main metabolites can still be found in soils. While bioaugmentation using pesticide-degrading bacteria is already employed for remediating polluted soils, there is a need to improve its efficiency. Investigating the use of carrier materials to deliver pesticide-degrading microorganisms in situ emerges as a promising approach. Here, we generated atrazine-degrading biocomposites by cultivating either a bacterial strain or a four-species consortium on zeolite as the carrier material. Using a microcosm approach, we evaluated their efficiency to mineralize 14C-atrazine in soil compared to free-living cells, and assessed their side effects on the native soil bacterial community using 16S rRNA metabarcoding. We showed that, right after inoculation, atrazine mineralization potential of the free-living cells was higher than that of the biocomposites. However, microcosms inoculated with the biocomposites displayed significantly higher atrazine mineralization potential after 15 and 45 days of incubation, indicating a higher efficiency but also a better stability in soil. Inoculation of free-living cells and biocomposites differently influenced the diversity and composition of the native microbial community, their impacts being modulated by the atrazine contamination scenario. Altogether, our results provide a thorough evaluation of the efficiency and the ecological impact of atrazine-degrading biocomposites in soil.

Abstract Image

Abstract Image

Abstract Image

评价阿特拉津污染土壤中降解阿特拉津生物复合材料的效率和副作用。
即使在欧洲被禁用几十年后,阿特拉津及其主要代谢物仍然可以在土壤中找到。虽然利用农药降解细菌进行生物强化已被用于修复受污染的土壤,但仍需要提高其效率。研究使用载体材料来原位递送农药降解微生物是一种很有前途的方法。本研究以沸石为载体,通过培养菌株或4种菌群,制备了降解阿特拉津的生物复合材料。采用微观方法,与自由活细胞相比,我们评估了它们在土壤中矿化14c -阿特拉津的效率,并使用16S rRNA元条形码评估了它们对原生土壤细菌群落的副作用。我们发现,接种后,自由活细胞的阿特拉津矿化电位高于生物复合材料。然而,接种了生物复合材料的微生物在培养15天和45天后显示出更高的阿特拉津矿化潜力,表明其在土壤中的效率更高,稳定性也更好。接种自由活细胞和生物复合材料对本地微生物群落的多样性和组成有不同的影响,其影响受到阿特拉津污染情景的调节。总之,我们的研究结果为土壤中降解阿特拉津的生物复合材料的效率和生态影响提供了全面的评估。
本文章由计算机程序翻译,如有差异,请以英文原文为准。
求助全文
约1分钟内获得全文 求助全文
来源期刊
FEMS microbiology ecology
FEMS microbiology ecology 生物-微生物学
CiteScore
7.50
自引率
2.40%
发文量
132
审稿时长
3 months
期刊介绍: FEMS Microbiology Ecology aims to ensure efficient publication of high-quality papers that are original and provide a significant contribution to the understanding of microbial ecology. The journal contains Research Articles and MiniReviews on fundamental aspects of the ecology of microorganisms in natural soil, aquatic and atmospheric habitats, including extreme environments, and in artificial or managed environments. Research papers on pure cultures and in the areas of plant pathology and medical, food or veterinary microbiology will be published where they provide valuable generic information on microbial ecology. Papers can deal with culturable and non-culturable forms of any type of microorganism: bacteria, archaea, filamentous fungi, yeasts, protozoa, cyanobacteria, algae or viruses. In addition, the journal will publish Perspectives, Current Opinion and Controversy Articles, Commentaries and Letters to the Editor on topical issues in microbial ecology. - Application of ecological theory to microbial ecology - Interactions and signalling between microorganisms and with plants and animals - Interactions between microorganisms and their physicochemical enviornment - Microbial aspects of biogeochemical cycles and processes - Microbial community ecology - Phylogenetic and functional diversity of microbial communities - Evolutionary biology of microorganisms
×
引用
GB/T 7714-2015
复制
MLA
复制
APA
复制
导出至
BibTeX EndNote RefMan NoteFirst NoteExpress
×
提示
您的信息不完整,为了账户安全,请先补充。
现在去补充
×
提示
您因"违规操作"
具体请查看互助需知
我知道了
×
提示
确定
请完成安全验证×
copy
已复制链接
快去分享给好友吧!
我知道了
右上角分享
点击右上角分享
0
联系我们:info@booksci.cn Book学术提供免费学术资源搜索服务,方便国内外学者检索中英文文献。致力于提供最便捷和优质的服务体验。 Copyright © 2023 布克学术 All rights reserved.
京ICP备2023020795号-1
ghs 京公网安备 11010802042870号
Book学术文献互助
Book学术文献互助群
群 号:604180095
Book学术官方微信