Bayesian Analysis of Time-To-Event Data in a Cluster-Randomized Trial: Major Outcomes With Personalized Dialysate TEMPerature (MyTEMP) Trial.

IF 1.5 Q3 UROLOGY & NEPHROLOGY
Canadian Journal of Kidney Health and Disease Pub Date : 2025-06-28 eCollection Date: 2025-01-01 DOI:10.1177/20543581251341710
Yongdong Ouyang, Bin Luo, Stephanie N Dixon, Ahmed A Al-Jaishi, P J Devereaux, Michael Walsh, Ron Wald, Merrick Zwarenstein, Sierra Anderson, Amit X Garg
{"title":"Bayesian Analysis of Time-To-Event Data in a Cluster-Randomized Trial: Major Outcomes With Personalized Dialysate TEMPerature (MyTEMP) Trial.","authors":"Yongdong Ouyang, Bin Luo, Stephanie N Dixon, Ahmed A Al-Jaishi, P J Devereaux, Michael Walsh, Ron Wald, Merrick Zwarenstein, Sierra Anderson, Amit X Garg","doi":"10.1177/20543581251341710","DOIUrl":null,"url":null,"abstract":"<p><strong>Background: </strong>MyTEMP was a cluster-randomized trial to assess the effect of using a personalized cooler dialysate compared to standard temperature dialysate for potential cardiovascular benefits in patients receiving maintenance hemodialysis in Ontario, Canada.</p><p><strong>Objective: </strong>To conduct Bayesian analyses of the MyTEMP trial, which sought to determine whether adopting a center-wide policy of personalized cooler dialysate is superior to a standard dialysate temperature of 36.5°C in reducing the risk of a composite outcome of cardiovascular-related deaths or hospitalizations.</p><p><strong>Design: </strong>Secondary analysis of a parallel-group cluster-randomized trial.</p><p><strong>Setting: </strong>In total, 84 dialysis centers in Ontario, Canada, were randomly allocated to the 2 groups.</p><p><strong>Patients: </strong>Adult outpatients receiving in-center maintenance hemodialysis from dialysis centers participating in the trial.</p><p><strong>Measurements: </strong>The primary composite outcome was cardiovascular-related death or hospital admission with myocardial infarction, ischemic stroke, or congestive heart failure during the 4-year trial period.</p><p><strong>Methods: </strong>MyTEMP trial data were analyzed using Bayesian cause-specific parametric Weibull methods to model the survival time with 6 pre-defined reference priors of normal distributions on the log hazard ratio for the treatment effect (strongly enthusiastic, moderately enthusiastic, non-informative, moderately skeptical, skeptical, strongly skeptical). For each analysis, we reported the posterior mean, 2nd, 50th, and 98th percentiles of the treatment effects (hazard ratios) and 96% credible interval (CrI). We also reported the estimated posterior probabilities for different magnitudes of treatment effects.</p><p><strong>Results: </strong>Regardless of priors, Bayesian analysis yielded consistent posterior means and a 96% CrI. The posterior distribution of the hazard ratio was concentrated between 0.95 and 1.05, indicating there was probably no substantial difference between the 2 trial arms.</p><p><strong>Limitations: </strong>The interpretation of Bayesian methods highly depends on the prior distributions. In our study, the prior distributions were determined by 2 experts without a formal elicitation method. A formal elicitation is encouraged in future trials to better quantify experts' uncertainty about the treatment effect. In addition, we used cause-specific parametric Weibull methods to model survival time, as semi-parametric methods were not available in the standard Bayesian statistical software package at the time of analysis.</p><p><strong>Conclusions: </strong>Our Bayesian analysis indicated that implementing personalized cooler dialysate as a center-wide policy is unlikely to yield meaningful benefits in reducing the composite outcome of cardiovascular-related deaths and hospitalizations, regardless of prior expectations, whether optimistic or skeptical, about the intervention's effectiveness.</p>","PeriodicalId":9426,"journal":{"name":"Canadian Journal of Kidney Health and Disease","volume":"12 ","pages":"20543581251341710"},"PeriodicalIF":1.5000,"publicationDate":"2025-06-28","publicationTypes":"Journal Article","fieldsOfStudy":null,"isOpenAccess":false,"openAccessPdf":"https://www.ncbi.nlm.nih.gov/pmc/articles/PMC12206259/pdf/","citationCount":"0","resultStr":null,"platform":"Semanticscholar","paperid":null,"PeriodicalName":"Canadian Journal of Kidney Health and Disease","FirstCategoryId":"1085","ListUrlMain":"https://doi.org/10.1177/20543581251341710","RegionNum":0,"RegionCategory":null,"ArticlePicture":[],"TitleCN":null,"AbstractTextCN":null,"PMCID":null,"EPubDate":"2025/1/1 0:00:00","PubModel":"eCollection","JCR":"Q3","JCRName":"UROLOGY & NEPHROLOGY","Score":null,"Total":0}
引用次数: 0

Abstract

Background: MyTEMP was a cluster-randomized trial to assess the effect of using a personalized cooler dialysate compared to standard temperature dialysate for potential cardiovascular benefits in patients receiving maintenance hemodialysis in Ontario, Canada.

Objective: To conduct Bayesian analyses of the MyTEMP trial, which sought to determine whether adopting a center-wide policy of personalized cooler dialysate is superior to a standard dialysate temperature of 36.5°C in reducing the risk of a composite outcome of cardiovascular-related deaths or hospitalizations.

Design: Secondary analysis of a parallel-group cluster-randomized trial.

Setting: In total, 84 dialysis centers in Ontario, Canada, were randomly allocated to the 2 groups.

Patients: Adult outpatients receiving in-center maintenance hemodialysis from dialysis centers participating in the trial.

Measurements: The primary composite outcome was cardiovascular-related death or hospital admission with myocardial infarction, ischemic stroke, or congestive heart failure during the 4-year trial period.

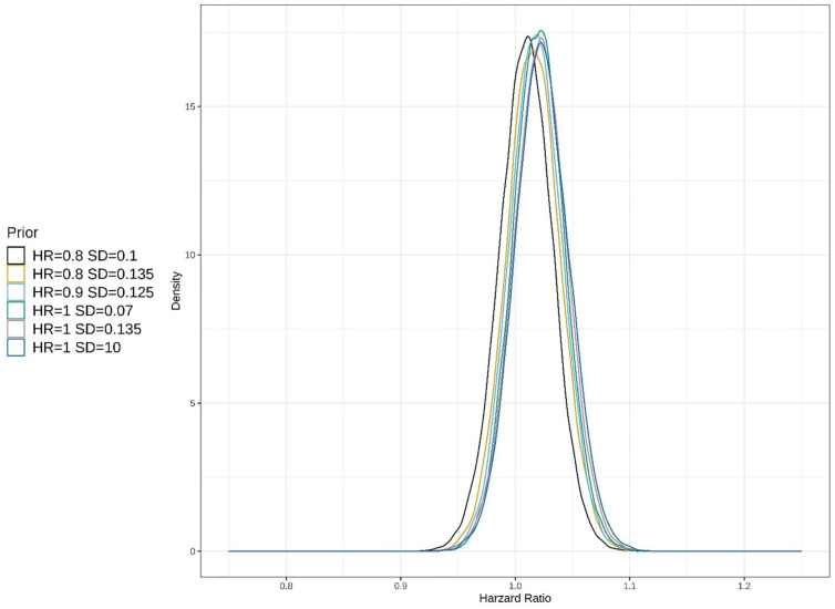
Methods: MyTEMP trial data were analyzed using Bayesian cause-specific parametric Weibull methods to model the survival time with 6 pre-defined reference priors of normal distributions on the log hazard ratio for the treatment effect (strongly enthusiastic, moderately enthusiastic, non-informative, moderately skeptical, skeptical, strongly skeptical). For each analysis, we reported the posterior mean, 2nd, 50th, and 98th percentiles of the treatment effects (hazard ratios) and 96% credible interval (CrI). We also reported the estimated posterior probabilities for different magnitudes of treatment effects.

Results: Regardless of priors, Bayesian analysis yielded consistent posterior means and a 96% CrI. The posterior distribution of the hazard ratio was concentrated between 0.95 and 1.05, indicating there was probably no substantial difference between the 2 trial arms.

Limitations: The interpretation of Bayesian methods highly depends on the prior distributions. In our study, the prior distributions were determined by 2 experts without a formal elicitation method. A formal elicitation is encouraged in future trials to better quantify experts' uncertainty about the treatment effect. In addition, we used cause-specific parametric Weibull methods to model survival time, as semi-parametric methods were not available in the standard Bayesian statistical software package at the time of analysis.

Conclusions: Our Bayesian analysis indicated that implementing personalized cooler dialysate as a center-wide policy is unlikely to yield meaningful benefits in reducing the composite outcome of cardiovascular-related deaths and hospitalizations, regardless of prior expectations, whether optimistic or skeptical, about the intervention's effectiveness.

Abstract Image

Abstract Image

Abstract Image

聚类随机试验中事件发生时间数据的贝叶斯分析:个性化透析液温度(MyTEMP)试验的主要结果
背景:MyTEMP是一项聚类随机试验,旨在评估在加拿大安大略省接受维持性血液透析的患者中,使用个性化低温透析液与标准温度透析液相比对潜在心血管益处的影响。目的:对MyTEMP试验进行贝叶斯分析,该试验旨在确定在降低心血管相关死亡或住院的综合结局风险方面,采用全中心范围的个性化较冷透析液政策是否优于标准透析液温度36.5°C。设计:平行组群随机试验的二次分析。环境:加拿大安大略省共有84个透析中心被随机分为两组。患者:参与试验的透析中心接受中心内维持性血液透析的成年门诊患者。测量:在4年的试验期间,主要的综合结局是心血管相关死亡或因心肌梗死、缺血性中风或充血性心力衰竭住院。方法:使用贝叶斯原因特异性参数威布尔方法对MyTEMP试验数据进行分析,以治疗效果对数风险比正态分布的6个预定义参考先验(强烈热情、中度热情、非信息性、中度怀疑、怀疑、强烈怀疑)对生存时间进行建模。对于每个分析,我们报告了治疗效果的后验均值、第2、第50和第98百分位数(风险比)和96%可信区间(CrI)。我们还报告了不同程度治疗效果的估计后验概率。结果:无论先验情况如何,贝叶斯分析得出一致的后验均值和96%的CrI。风险比的后验分布集中在0.95 ~ 1.05之间,说明两个试验组之间可能没有显著差异。局限性:贝叶斯方法的解释高度依赖于先验分布。在我们的研究中,先验分布是由2位专家确定的,没有正式的启发方法。鼓励在未来的试验中进行正式的启发,以更好地量化专家对治疗效果的不确定性。此外,由于在分析时标准贝叶斯统计软件包中没有半参数方法,我们使用了特定原因的参数威布尔方法来建模生存时间。结论:我们的贝叶斯分析表明,无论先前对干预有效性的预期是乐观还是怀疑,将个性化的冷却透析液作为一项中心范围的政策,不太可能在减少心血管相关死亡和住院的综合结果方面产生有意义的好处。
本文章由计算机程序翻译,如有差异,请以英文原文为准。
求助全文
约1分钟内获得全文 求助全文
来源期刊
CiteScore
3.00
自引率
5.90%
发文量
84
审稿时长
12 weeks
期刊介绍: Canadian Journal of Kidney Health and Disease, the official journal of the Canadian Society of Nephrology, is an open access, peer-reviewed online journal that encourages high quality submissions focused on clinical, translational and health services delivery research in the field of chronic kidney disease, dialysis, kidney transplantation and organ donation. Our mandate is to promote and advocate for kidney health as it impacts national and international communities. Basic science, translational studies and clinical studies will be peer reviewed and processed by an Editorial Board comprised of geographically diverse Canadian and international nephrologists, internists and allied health professionals; this Editorial Board is mandated to ensure highest quality publications.
×
引用
GB/T 7714-2015
复制
MLA
复制
APA
复制
导出至
BibTeX EndNote RefMan NoteFirst NoteExpress
×
提示
您的信息不完整,为了账户安全,请先补充。
现在去补充
×
提示
您因"违规操作"
具体请查看互助需知
我知道了
×
提示
确定
请完成安全验证×
copy
已复制链接
快去分享给好友吧!
我知道了
右上角分享
点击右上角分享
0
联系我们:info@booksci.cn Book学术提供免费学术资源搜索服务,方便国内外学者检索中英文文献。致力于提供最便捷和优质的服务体验。 Copyright © 2023 布克学术 All rights reserved.
京ICP备2023020795号-1
ghs 京公网安备 11010802042870号
Book学术文献互助
Book学术文献互助群
群 号:604180095
Book学术官方微信