Novel breeding resources for the underutilised legume, lablab, based on a pangenome approach.

IF 2.2 4区 农林科学 Q2 AGRONOMY
Breeding Science Pub Date : 2025-03-01 Epub Date: 2025-02-05 DOI:10.1270/jsbbs.24055
Mark A Chapman
{"title":"Novel breeding resources for the underutilised legume, lablab, based on a pangenome approach.","authors":"Mark A Chapman","doi":"10.1270/jsbbs.24055","DOIUrl":null,"url":null,"abstract":"<p><p>Individuals across a species exhibit substantial presence-absence variation, to the extent that a reference genome from a single individual only contains a subset of the species' genome. Cataloguing genome regions absent from a reference genome can therefore reveal novel genome regions, and some of this variation can be adaptive. In this work, existing short sequencing reads for the underutilised crop lablab (<i>Lablab purpureus</i> (L.) Sweet) were used to identify regions of the genome absent from the reference genome. Lablab is made up of two distinct gene pools, each with wild and domesticated types therefore represents an opportunity to identify gene pool-specific variation. Approximately 7.7% of the reads from eight accessions failed to map to the lablab reference genome (cv. Highworth), putatively being novel, and these were assembled and collapsed into between 735 and 12,304 contigs. Four samples were focussed on (one each wild and domesticated from each of the gene pools) and the novel contigs compared, to identify those present only in subsets of samples. Whilst the number of contigs containing sequenced with similarity to known genes in other legumes was low, there were some enriched gene ontology (GO) terms that could relate to adaptive differences between the groups and therefore contain novel genes for future lablab breeding. The approached used here has potential use in any other species.</p>","PeriodicalId":9258,"journal":{"name":"Breeding Science","volume":"75 1","pages":"61-66"},"PeriodicalIF":2.2000,"publicationDate":"2025-03-01","publicationTypes":"Journal Article","fieldsOfStudy":null,"isOpenAccess":false,"openAccessPdf":"https://www.ncbi.nlm.nih.gov/pmc/articles/PMC12203249/pdf/","citationCount":"0","resultStr":null,"platform":"Semanticscholar","paperid":null,"PeriodicalName":"Breeding Science","FirstCategoryId":"97","ListUrlMain":"https://doi.org/10.1270/jsbbs.24055","RegionNum":4,"RegionCategory":"农林科学","ArticlePicture":[],"TitleCN":null,"AbstractTextCN":null,"PMCID":null,"EPubDate":"2025/2/5 0:00:00","PubModel":"Epub","JCR":"Q2","JCRName":"AGRONOMY","Score":null,"Total":0}
引用次数: 0

Abstract

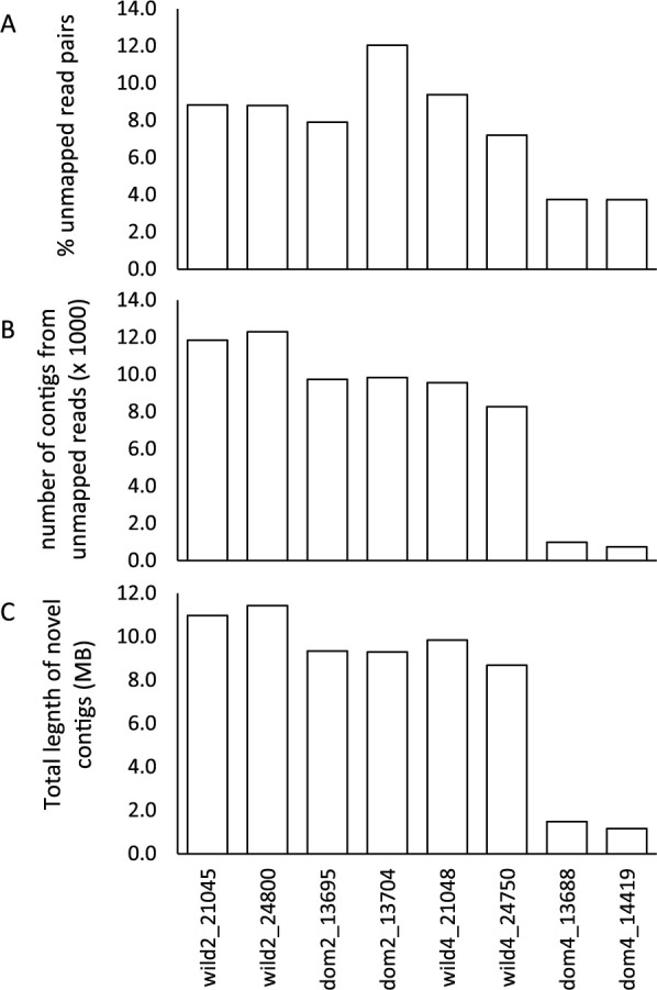
Individuals across a species exhibit substantial presence-absence variation, to the extent that a reference genome from a single individual only contains a subset of the species' genome. Cataloguing genome regions absent from a reference genome can therefore reveal novel genome regions, and some of this variation can be adaptive. In this work, existing short sequencing reads for the underutilised crop lablab (Lablab purpureus (L.) Sweet) were used to identify regions of the genome absent from the reference genome. Lablab is made up of two distinct gene pools, each with wild and domesticated types therefore represents an opportunity to identify gene pool-specific variation. Approximately 7.7% of the reads from eight accessions failed to map to the lablab reference genome (cv. Highworth), putatively being novel, and these were assembled and collapsed into between 735 and 12,304 contigs. Four samples were focussed on (one each wild and domesticated from each of the gene pools) and the novel contigs compared, to identify those present only in subsets of samples. Whilst the number of contigs containing sequenced with similarity to known genes in other legumes was low, there were some enriched gene ontology (GO) terms that could relate to adaptive differences between the groups and therefore contain novel genes for future lablab breeding. The approached used here has potential use in any other species.

Abstract Image

Abstract Image

未充分利用的豆科植物的新育种资源,实验室,基于泛基因组方法。
同一物种的个体表现出存在-缺失差异,以至于单个个体的参考基因组只包含该物种基因组的一个子集。因此,编目参考基因组中缺失的基因组区域可以揭示新的基因组区域,并且其中一些变异可以是自适应的。在这项工作中,现有的短测序读取未充分利用的作物实验室(lablab purpureus (L.))Sweet)用于鉴定参考基因组中缺失的基因组区域。Lablab由两个不同的基因库组成,每个基因库都有野生型和驯化型,因此代表了识别基因库特定变异的机会。来自8个条目的约7.7%的reads未能映射到lablab参考基因组(cv。Highworth),被认为是新颖的,它们被组装并折叠成735到12304个组件。四个样本(每个基因库中各有一个野生和驯化的样本)和新组合进行了比较,以确定只存在于样本子集中的那些。虽然含有与其他豆类中已知基因相似序列的contigs数量很少,但有一些丰富的基因本体(GO)术语可能与群体之间的适应性差异有关,因此包含未来实验室育种的新基因。这里使用的方法在任何其他物种中都有潜在的用途。
本文章由计算机程序翻译,如有差异,请以英文原文为准。
求助全文
约1分钟内获得全文 求助全文
来源期刊
Breeding Science
Breeding Science 农林科学-农艺学
CiteScore
4.90
自引率
4.20%
发文量
37
审稿时长
1.5 months
期刊介绍: Breeding Science is published by the Japanese Society of Breeding. Breeding Science publishes research papers, notes and reviews related to breeding. Research Papers are standard original articles. Notes report new cultivars, breeding lines, germplasms, genetic stocks, mapping populations, database, software, and techniques significant and useful for breeding. Reviews summarize recent and historical events related breeding. Manuscripts should be submitted by corresponding author. Corresponding author must have obtained permission from all authors prior to submission. Correspondence, proofs, and charges of excess page and color figures should be handled by the corresponding author.
×
引用
GB/T 7714-2015
复制
MLA
复制
APA
复制
导出至
BibTeX EndNote RefMan NoteFirst NoteExpress
×
提示
您的信息不完整,为了账户安全,请先补充。
现在去补充
×
提示
您因"违规操作"
具体请查看互助需知
我知道了
×
提示
确定
请完成安全验证×
copy
已复制链接
快去分享给好友吧!
我知道了
右上角分享
点击右上角分享
0
联系我们:info@booksci.cn Book学术提供免费学术资源搜索服务,方便国内外学者检索中英文文献。致力于提供最便捷和优质的服务体验。 Copyright © 2023 布克学术 All rights reserved.
京ICP备2023020795号-1
ghs 京公网安备 11010802042870号
Book学术文献互助
Book学术文献互助群
群 号:604180095
Book学术官方微信