Secondary Analysis of PSA and BCR-Free Survival in Asian Prostate Cancer Patients.

IF 2.6 4区 医学 Q3 ONCOLOGY
Cancer Management and Research Pub Date : 2025-06-24 eCollection Date: 2025-01-01 DOI:10.2147/CMAR.S527092
Xin Gao, Yijun Fu, Zimei Mo, Yongtong Ruan
{"title":"Secondary Analysis of PSA and BCR-Free Survival in Asian Prostate Cancer Patients.","authors":"Xin Gao, Yijun Fu, Zimei Mo, Yongtong Ruan","doi":"10.2147/CMAR.S527092","DOIUrl":null,"url":null,"abstract":"<p><strong>Background: </strong>Prostate cancer remains a significant global health burden, with biochemical recurrence (BCR) affecting 20-50% of patients post-radical prostatectomy. This study aimed to investigate the relationship between preoperative PSA levels and BCR-free survival in Asian populations.</p><p><strong>Methods: </strong>We conducted a retrospective cohort study of 3,092 prostate cancer patients who underwent radical prostatectomy at Yonsei University College of Medicine, Korea (1992-2014). The exposure variable was preoperative PSA level, and the primary outcome was BCR-free survival. Covariates included age, Gleason score, pathological stage, surgical margins, and other clinical factors. Patients were followed quarterly for two years post-surgery, semi-annually for three years, then annually thereafter (median follow-up: 66 months).</p><p><strong>Results: </strong>Using piecewise linear regression, we identified a significant threshold effect at PSA 5.1 ng/mL. Above this threshold, each unit increase in LnPSA was associated with a 6.10-month reduction in BCR-free survival (95% CI: -7.64 to -4.56, P<0.0001). Higher PSA levels correlated with increased adverse pathological features and shorter BCR-free survival across all risk groups.</p><p><strong>Conclusion: </strong>This study establishes a critical PSA threshold of 5.1 ng/mL for BCR risk stratification in Asian populations. Above this threshold, each unit increase in LnPSA correlates with a 6.10-month reduction in BCR-free survival, providing valuable guidance for post-operative monitoring and personalized treatment strategies.</p>","PeriodicalId":9479,"journal":{"name":"Cancer Management and Research","volume":"17 ","pages":"1205-1214"},"PeriodicalIF":2.6000,"publicationDate":"2025-06-24","publicationTypes":"Journal Article","fieldsOfStudy":null,"isOpenAccess":false,"openAccessPdf":"https://www.ncbi.nlm.nih.gov/pmc/articles/PMC12205703/pdf/","citationCount":"0","resultStr":null,"platform":"Semanticscholar","paperid":null,"PeriodicalName":"Cancer Management and Research","FirstCategoryId":"3","ListUrlMain":"https://doi.org/10.2147/CMAR.S527092","RegionNum":4,"RegionCategory":"医学","ArticlePicture":[],"TitleCN":null,"AbstractTextCN":null,"PMCID":null,"EPubDate":"2025/1/1 0:00:00","PubModel":"eCollection","JCR":"Q3","JCRName":"ONCOLOGY","Score":null,"Total":0}
引用次数: 0

Abstract

Background: Prostate cancer remains a significant global health burden, with biochemical recurrence (BCR) affecting 20-50% of patients post-radical prostatectomy. This study aimed to investigate the relationship between preoperative PSA levels and BCR-free survival in Asian populations.

Methods: We conducted a retrospective cohort study of 3,092 prostate cancer patients who underwent radical prostatectomy at Yonsei University College of Medicine, Korea (1992-2014). The exposure variable was preoperative PSA level, and the primary outcome was BCR-free survival. Covariates included age, Gleason score, pathological stage, surgical margins, and other clinical factors. Patients were followed quarterly for two years post-surgery, semi-annually for three years, then annually thereafter (median follow-up: 66 months).

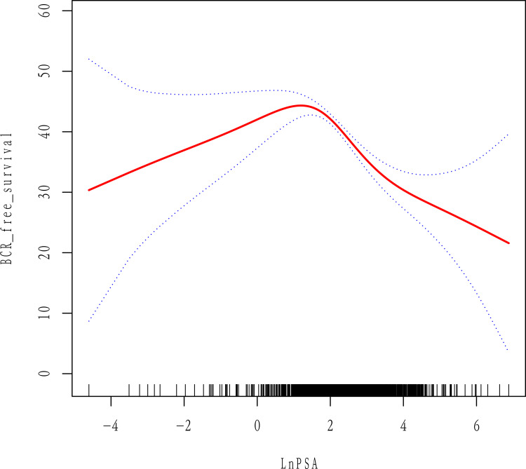
Results: Using piecewise linear regression, we identified a significant threshold effect at PSA 5.1 ng/mL. Above this threshold, each unit increase in LnPSA was associated with a 6.10-month reduction in BCR-free survival (95% CI: -7.64 to -4.56, P<0.0001). Higher PSA levels correlated with increased adverse pathological features and shorter BCR-free survival across all risk groups.

Conclusion: This study establishes a critical PSA threshold of 5.1 ng/mL for BCR risk stratification in Asian populations. Above this threshold, each unit increase in LnPSA correlates with a 6.10-month reduction in BCR-free survival, providing valuable guidance for post-operative monitoring and personalized treatment strategies.

Abstract Image

亚洲前列腺癌患者PSA和无bcr生存率的二次分析。
背景:前列腺癌仍然是一个重要的全球健康负担,20-50%的根治性前列腺切除术后患者存在生化复发(BCR)。本研究旨在探讨术前PSA水平与亚洲人群无bcr生存之间的关系。方法:我们对韩国延世大学医学院(1992-2014)接受根治性前列腺切除术的3092例前列腺癌患者进行了回顾性队列研究。暴露变量为术前PSA水平,主要结局为无bcr生存期。协变量包括年龄、Gleason评分、病理分期、手术切缘及其他临床因素。术后两年每季度随访一次,三年每半年随访一次,之后每年随访一次(中位随访:66个月)。结果:通过分段线性回归,我们发现PSA为5.1 ng/mL时存在显著的阈值效应。超过这个阈值,LnPSA每增加一个单位,BCR无生存期减少6.10个月(95% CI: -7.64至-4.56)。结论:本研究建立了亚洲人群BCR危险分层的临界PSA阈值为5.1 ng/mL。高于该阈值,LnPSA每增加一个单位,无bcr生存期减少6.10个月,为术后监测和个性化治疗策略提供了有价值的指导。
本文章由计算机程序翻译,如有差异,请以英文原文为准。
求助全文
约1分钟内获得全文 求助全文
来源期刊
Cancer Management and Research
Cancer Management and Research Medicine-Oncology
CiteScore
7.40
自引率
0.00%
发文量
448
审稿时长
16 weeks
期刊介绍: Cancer Management and Research is an international, peer reviewed, open access journal focusing on cancer research and the optimal use of preventative and integrated treatment interventions to achieve improved outcomes, enhanced survival, and quality of life for cancer patients. Specific topics covered in the journal include: ◦Epidemiology, detection and screening ◦Cellular research and biomarkers ◦Identification of biotargets and agents with novel mechanisms of action ◦Optimal clinical use of existing anticancer agents, including combination therapies ◦Radiation and surgery ◦Palliative care ◦Patient adherence, quality of life, satisfaction The journal welcomes submitted papers covering original research, basic science, clinical & epidemiological studies, reviews & evaluations, guidelines, expert opinion and commentary, and case series that shed novel insights on a disease or disease subtype.
×
引用
GB/T 7714-2015
复制
MLA
复制
APA
复制
导出至
BibTeX EndNote RefMan NoteFirst NoteExpress
×
提示
您的信息不完整,为了账户安全,请先补充。
现在去补充
×
提示
您因"违规操作"
具体请查看互助需知
我知道了
×
提示
确定
请完成安全验证×
copy
已复制链接
快去分享给好友吧!
我知道了
右上角分享
点击右上角分享
0
联系我们:info@booksci.cn Book学术提供免费学术资源搜索服务,方便国内外学者检索中英文文献。致力于提供最便捷和优质的服务体验。 Copyright © 2023 布克学术 All rights reserved.
京ICP备2023020795号-1
ghs 京公网安备 11010802042870号
Book学术文献互助
Book学术文献互助群
群 号:604180095
Book学术官方微信