Torpor use in response to predation risk in a small, free-living bird.

IF 2.2 3区 环境科学与生态学 Q2 BEHAVIORAL SCIENCES
Behavioral Ecology Pub Date : 2025-06-11 eCollection Date: 2025-07-01 DOI:10.1093/beheco/araf069
Alice Barratt, Justin Welbergen, Ben Moore, Christopher Turbill
{"title":"Torpor use in response to predation risk in a small, free-living bird.","authors":"Alice Barratt, Justin Welbergen, Ben Moore, Christopher Turbill","doi":"10.1093/beheco/araf069","DOIUrl":null,"url":null,"abstract":"<p><p>Animal decisions trade-off the mortality risks of starvation and predation, and anti-predator behaviors generally incur a cost of reduced energy intake. Torpor and shallow rest-phase heterothermy are widespread physiological responses to starvation risk among small mammals and birds. Here, we present a field-based experimental test of the hypothesis that energy savings from torpor use can also reduce predation risk by moderating the energy cost of anti-predator behavioral responses in a small bird during winter. We manipulated perceived predation risk in wild populations of the superb fairy-wren (<i>Malurus cyaneus</i>) by playback of conspecific alarm calls during the daytime active-phase and tested for effects on body temperature measured continuously by telemetry during the nocturnal rest-phase. We found that alarm call playback was associated with subsequent rest-phase torpor bouts that were significantly deeper (minimum skin temperature: 28.7 ± 1.7 °C vs. 30.0 ± 1.5 °C) and longer (duration in torpor: 6.0 ± 2.7 h vs. 3.8 ± 2.3 h) compared to control periods. By demonstrating the connection between resting energy expenditure and energy costs of behavioral decisions during activity, our study has implications for understanding both the ecological functions of torpor and survival consequences of behavioral responses by small birds to environmental challenges.</p>","PeriodicalId":8840,"journal":{"name":"Behavioral Ecology","volume":"36 4","pages":"araf069"},"PeriodicalIF":2.2000,"publicationDate":"2025-06-11","publicationTypes":"Journal Article","fieldsOfStudy":null,"isOpenAccess":false,"openAccessPdf":"https://www.ncbi.nlm.nih.gov/pmc/articles/PMC12207869/pdf/","citationCount":"0","resultStr":null,"platform":"Semanticscholar","paperid":null,"PeriodicalName":"Behavioral Ecology","FirstCategoryId":"93","ListUrlMain":"https://doi.org/10.1093/beheco/araf069","RegionNum":3,"RegionCategory":"环境科学与生态学","ArticlePicture":[],"TitleCN":null,"AbstractTextCN":null,"PMCID":null,"EPubDate":"2025/7/1 0:00:00","PubModel":"eCollection","JCR":"Q2","JCRName":"BEHAVIORAL SCIENCES","Score":null,"Total":0}
引用次数: 0

Abstract

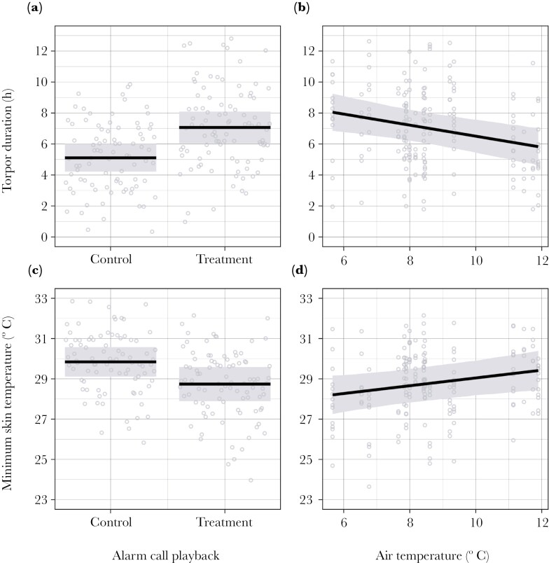
Animal decisions trade-off the mortality risks of starvation and predation, and anti-predator behaviors generally incur a cost of reduced energy intake. Torpor and shallow rest-phase heterothermy are widespread physiological responses to starvation risk among small mammals and birds. Here, we present a field-based experimental test of the hypothesis that energy savings from torpor use can also reduce predation risk by moderating the energy cost of anti-predator behavioral responses in a small bird during winter. We manipulated perceived predation risk in wild populations of the superb fairy-wren (Malurus cyaneus) by playback of conspecific alarm calls during the daytime active-phase and tested for effects on body temperature measured continuously by telemetry during the nocturnal rest-phase. We found that alarm call playback was associated with subsequent rest-phase torpor bouts that were significantly deeper (minimum skin temperature: 28.7 ± 1.7 °C vs. 30.0 ± 1.5 °C) and longer (duration in torpor: 6.0 ± 2.7 h vs. 3.8 ± 2.3 h) compared to control periods. By demonstrating the connection between resting energy expenditure and energy costs of behavioral decisions during activity, our study has implications for understanding both the ecological functions of torpor and survival consequences of behavioral responses by small birds to environmental challenges.

Abstract Image

Abstract Image

Abstract Image

一种小型、自由生活的鸟类为了应对捕食风险而使用的冬眠。
动物的决策权衡了饥饿和捕食的死亡风险,而反捕食行为通常会以减少能量摄入为代价。冬眠和浅休止期异温性是小型哺乳动物和鸟类对饥饿风险的普遍生理反应。在这里,我们提出了一个基于野外的实验测试假设,即冬眠节省的能量也可以通过调节小鸟在冬季反捕食者行为反应的能量成本来降低捕食风险。我们通过在白天活动阶段播放同种报警叫声来操纵野生超细鹪鹩(Malurus cyaneus)种群的感知捕食风险,并测试了在夜间休息阶段通过遥测连续测量体温的影响。我们发现,与对照组相比,警报呼叫回放与随后的休息期麻木发作相关,这些发作明显更深(最低皮肤温度:28.7±1.7°C对30.0±1.5°C),更长(麻木持续时间:6.0±2.7小时对3.8±2.3小时)。通过证明静息能量消耗与活动中行为决策的能量消耗之间的联系,我们的研究对理解鸟类对环境挑战的行为反应的生态功能和生存后果具有重要意义。
本文章由计算机程序翻译,如有差异,请以英文原文为准。
求助全文
约1分钟内获得全文 求助全文
来源期刊
Behavioral Ecology
Behavioral Ecology 环境科学-动物学
CiteScore
5.20
自引率
8.30%
发文量
93
审稿时长
3.0 months
期刊介绍: Studies on the whole range of behaving organisms, including plants, invertebrates, vertebrates, and humans, are included. Behavioral Ecology construes the field in its broadest sense to include 1) the use of ecological and evolutionary processes to explain the occurrence and adaptive significance of behavior patterns; 2) the use of behavioral processes to predict ecological patterns, and 3) empirical, comparative analyses relating behavior to the environment in which it occurs.
×
引用
GB/T 7714-2015
复制
MLA
复制
APA
复制
导出至
BibTeX EndNote RefMan NoteFirst NoteExpress
×
提示
您的信息不完整,为了账户安全,请先补充。
现在去补充
×
提示
您因"违规操作"
具体请查看互助需知
我知道了
×
提示
确定
请完成安全验证×
copy
已复制链接
快去分享给好友吧!
我知道了
右上角分享
点击右上角分享
0
联系我们:info@booksci.cn Book学术提供免费学术资源搜索服务,方便国内外学者检索中英文文献。致力于提供最便捷和优质的服务体验。 Copyright © 2023 布克学术 All rights reserved.
京ICP备2023020795号-1
ghs 京公网安备 11010802042870号
Book学术文献互助
Book学术文献互助群
群 号:604180095
Book学术官方微信