Too hot to reason? Experimental heatwaves affect cognitive traits in male guppies.

IF 2.2 3区 环境科学与生态学 Q2 BEHAVIORAL SCIENCES
Behavioral Ecology Pub Date : 2025-05-30 eCollection Date: 2025-07-01 DOI:10.1093/beheco/araf061
Merel C Breedveld, Luna Dudine, Samuele Padovan, Marta Giacomazzo, Ranieri Verin, Clelia Gasparini
{"title":"Too hot to reason? Experimental heatwaves affect cognitive traits in male guppies.","authors":"Merel C Breedveld, Luna Dudine, Samuele Padovan, Marta Giacomazzo, Ranieri Verin, Clelia Gasparini","doi":"10.1093/beheco/araf061","DOIUrl":null,"url":null,"abstract":"<p><p>Heatwaves, increasingly common and intense due to climate change, are increasing mortality rates and disrupting vital functions. Recent research has begun exploring their impact on cognition. Since cognition underlies key fitness-related behaviors, such as foraging, predator avoidance, and mate choice, understanding the cognitive costs of heatwaves is crucial. Here, we investigate whether heatwaves impact cognition using male guppies (<i>Poecilia reticulata</i>) as a vertebrate model. We focused on males due to their behavioral consistency in cognitive tests and because they were previously observed to alter sexual behavior after a heatwave. Males were exposed to a 5-d experimental heatwave (32 °C) or control treatment (26 °C). The chosen temperatures are ecologically relevant for the species, fall within their natural habitat's thermal range, and reflect extreme climatic events that are projected to become even more frequent and severe under future climate scenarios. Following treatment, all fish were tested at 26 °C for spatial memory and learning, mate choice, inhibitory control, and anti-predator responses. We also conducted histopathological evaluations of brain tissue to investigate potential central nervous system lesions. The results show that heatwave exposure declined maze solving efficiency, affected mate choice-related cognitive capacities, and led to suboptimal anti-predatory responses. No effects were observed on inhibitory control or habituation. Importantly, heatwave exposure induced morphological alterations in the central nervous system, potentially explaining the observed changes in cognitive performance. Our study provides a comprehensive evaluation of heatwave impacts on cognitive function, highlighting the need of investigating their subtle yet significant effects to fully understand how heatwaves influence fitness beyond survival.</p>","PeriodicalId":8840,"journal":{"name":"Behavioral Ecology","volume":"36 4","pages":"araf061"},"PeriodicalIF":2.2000,"publicationDate":"2025-05-30","publicationTypes":"Journal Article","fieldsOfStudy":null,"isOpenAccess":false,"openAccessPdf":"https://www.ncbi.nlm.nih.gov/pmc/articles/PMC12203089/pdf/","citationCount":"0","resultStr":null,"platform":"Semanticscholar","paperid":null,"PeriodicalName":"Behavioral Ecology","FirstCategoryId":"93","ListUrlMain":"https://doi.org/10.1093/beheco/araf061","RegionNum":3,"RegionCategory":"环境科学与生态学","ArticlePicture":[],"TitleCN":null,"AbstractTextCN":null,"PMCID":null,"EPubDate":"2025/7/1 0:00:00","PubModel":"eCollection","JCR":"Q2","JCRName":"BEHAVIORAL SCIENCES","Score":null,"Total":0}
引用次数: 0

Abstract

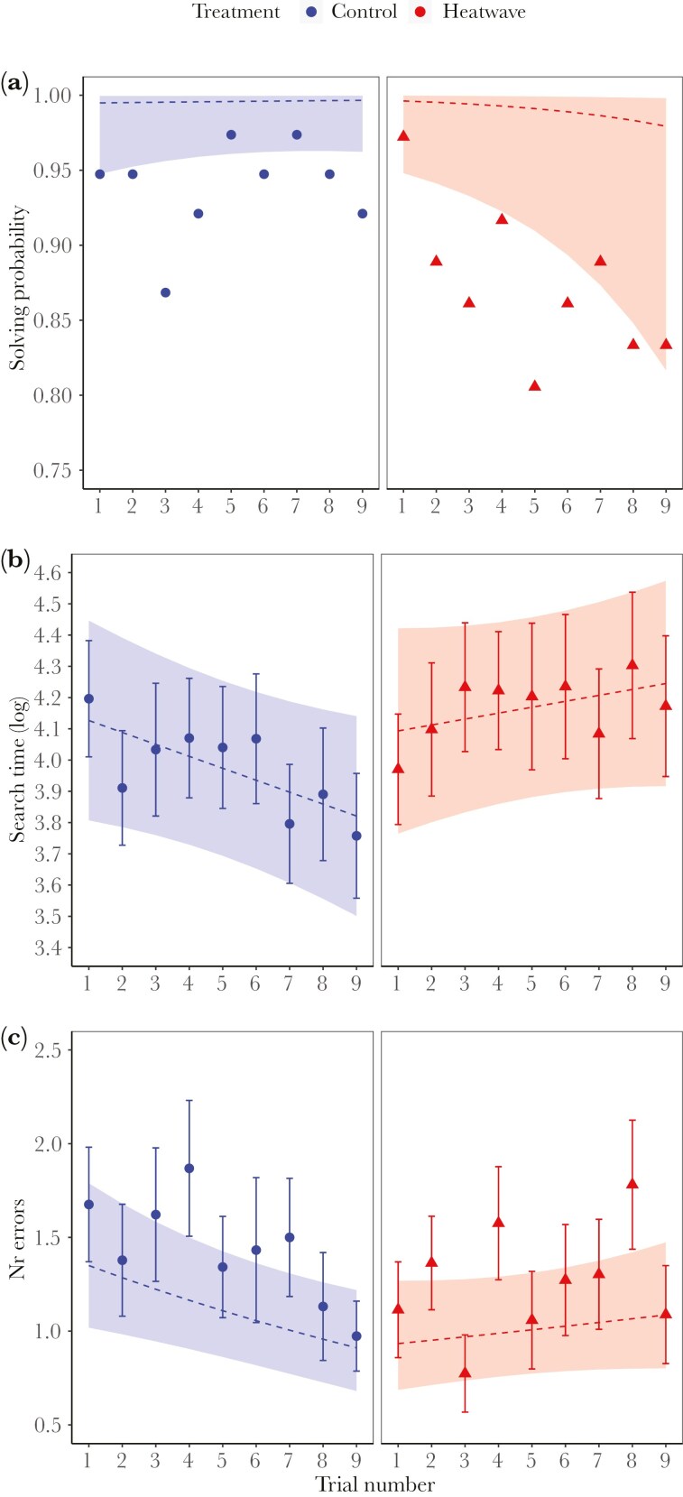
Heatwaves, increasingly common and intense due to climate change, are increasing mortality rates and disrupting vital functions. Recent research has begun exploring their impact on cognition. Since cognition underlies key fitness-related behaviors, such as foraging, predator avoidance, and mate choice, understanding the cognitive costs of heatwaves is crucial. Here, we investigate whether heatwaves impact cognition using male guppies (Poecilia reticulata) as a vertebrate model. We focused on males due to their behavioral consistency in cognitive tests and because they were previously observed to alter sexual behavior after a heatwave. Males were exposed to a 5-d experimental heatwave (32 °C) or control treatment (26 °C). The chosen temperatures are ecologically relevant for the species, fall within their natural habitat's thermal range, and reflect extreme climatic events that are projected to become even more frequent and severe under future climate scenarios. Following treatment, all fish were tested at 26 °C for spatial memory and learning, mate choice, inhibitory control, and anti-predator responses. We also conducted histopathological evaluations of brain tissue to investigate potential central nervous system lesions. The results show that heatwave exposure declined maze solving efficiency, affected mate choice-related cognitive capacities, and led to suboptimal anti-predatory responses. No effects were observed on inhibitory control or habituation. Importantly, heatwave exposure induced morphological alterations in the central nervous system, potentially explaining the observed changes in cognitive performance. Our study provides a comprehensive evaluation of heatwave impacts on cognitive function, highlighting the need of investigating their subtle yet significant effects to fully understand how heatwaves influence fitness beyond survival.

Abstract Image

Abstract Image

Abstract Image

热到无法推理?实验热浪影响雄性孔雀鱼的认知特征。
由于气候变化,热浪越来越普遍和强烈,正在增加死亡率并破坏重要功能。最近的研究已经开始探索它们对认知的影响。由于认知是与健康相关的关键行为的基础,例如觅食、躲避捕食者和配偶选择,因此了解热浪的认知成本至关重要。在这里,我们以雄性孔雀鱼(Poecilia reticulata)为脊椎动物模型,研究热浪是否影响认知。我们之所以关注男性,是因为他们在认知测试中的行为一致性,也因为之前观察到他们在热浪后会改变性行为。雄性暴露于5天的实验热浪(32°C)或对照处理(26°C)。所选择的温度与物种的生态相关,落在其自然栖息地的温度范围内,并反映了预计在未来气候情景下将变得更加频繁和严重的极端气候事件。处理后,所有鱼在26°C下进行空间记忆和学习、配偶选择、抑制控制和抗捕食者反应的测试。我们还对脑组织进行了组织病理学评估,以调查潜在的中枢神经系统病变。结果表明,热浪暴露降低了迷宫解决效率,影响了与配偶选择相关的认知能力,并导致反捕食反应的次优。在抑制控制或习惯化方面没有观察到任何影响。重要的是,热浪暴露诱导中枢神经系统的形态学改变,这可能解释了观察到的认知表现的变化。我们的研究对热浪对认知功能的影响进行了全面的评估,强调了研究热浪对认知功能微妙但重要的影响的必要性,以充分了解热浪如何影响生存之外的健康。
本文章由计算机程序翻译,如有差异,请以英文原文为准。
求助全文
约1分钟内获得全文 求助全文
来源期刊
Behavioral Ecology
Behavioral Ecology 环境科学-动物学
CiteScore
5.20
自引率
8.30%
发文量
93
审稿时长
3.0 months
期刊介绍: Studies on the whole range of behaving organisms, including plants, invertebrates, vertebrates, and humans, are included. Behavioral Ecology construes the field in its broadest sense to include 1) the use of ecological and evolutionary processes to explain the occurrence and adaptive significance of behavior patterns; 2) the use of behavioral processes to predict ecological patterns, and 3) empirical, comparative analyses relating behavior to the environment in which it occurs.
×
引用
GB/T 7714-2015
复制
MLA
复制
APA
复制
导出至
BibTeX EndNote RefMan NoteFirst NoteExpress
×
提示
您的信息不完整,为了账户安全,请先补充。
现在去补充
×
提示
您因"违规操作"
具体请查看互助需知
我知道了
×
提示
确定
请完成安全验证×
copy
已复制链接
快去分享给好友吧!
我知道了
右上角分享
点击右上角分享
0
联系我们:info@booksci.cn Book学术提供免费学术资源搜索服务,方便国内外学者检索中英文文献。致力于提供最便捷和优质的服务体验。 Copyright © 2023 布克学术 All rights reserved.
京ICP备2023020795号-1
ghs 京公网安备 11010802042870号
Book学术文献互助
Book学术文献互助群
群 号:604180095
Book学术官方微信