The utility of quantitative 18F-FDG PET/CT-derived parameters as prognostic factors for predicting overall survival in radioiodine-refractory differentiated thyroid cancer.

Q3 Medicine
Mai Hong Son, Nguyen Thi Phuong, Le Ngoc Ha
{"title":"The utility of quantitative <sup>18</sup>F-FDG PET/CT-derived parameters as prognostic factors for predicting overall survival in radioiodine-refractory differentiated thyroid cancer.","authors":"Mai Hong Son, Nguyen Thi Phuong, Le Ngoc Ha","doi":"10.22038/aojnmb.2025.84029.1596","DOIUrl":null,"url":null,"abstract":"<p><strong>Objectives: </strong>This study investigates the relationship between quantitative <sup>18</sup>F-FDG PET/CT metabolic parameters and overall survival (OS) in patients with radioiodine-refractory differentiated thyroid cancer (RAI-R DTC).</p><p><strong>Methods: </strong>We conducted a prospective analysis of 127 patients with RAI-R DTC. Quantitative metabolic parameters including SUV<sub>max</sub>, SUV<sub>mean</sub>, SUV<sub>peak</sub>, total metabolic tumor volume (MTV), and total lesion glycolysis (TLG) were assessed in <sup>18</sup>F-FDG -avid recurrent or metastatic lesions via <sup>18</sup>F-FDG PET/CT imaging. Patients were monitored for disease progression and mortality for at least one-year post PET/CT imaging. Receiver operating characteristic (ROC) curves were used to establish cut-off values for predicting 5-year mortality, while the Kaplan-Meier method estimated the 5-year survival rate. Univariate and multivariate Cox regression analyses identified prognostic factors associated with OS.</p><p><strong>Results: </strong>The metabolic parameters derived from <sup>18</sup>F-FDG PET/CT demonstrated high sensitivity and specificity for predicting 5-year OS. ROC curve analysis established optimal cut-off values for SUV<sub>max</sub> (20.27 g/mL), SUV<sub>mean</sub> (7.46 g/mL), SUV<sub>peak</sub> (7.8 g/mL), TLG (45.74 g/mL×cm³), and MTV (5.78 cm<sup>3</sup>) (AUC: 0.82, 0.78, 0.82, 0.82, and 0.86, respectively; p<0.001). Kaplan-Meier analysis revealed significantly lower OS in patients with higher values of these parameters compared to those with lower ones (survival rates: 42.1% vs. 95.6%, 65.5% vs. 96%, 52.3% vs. 96.3%, 46.5% vs. 97.3%, and 57.3 % vs. 98.3%, respectively; p<0.001). Univariate Cox regression identified SUV<sub>max</sub>, SUV<sub>mean</sub>, SUV<sub>peak</sub>, TLG, and MTV as significant predictors of 5-year OS (p<0.05). In multivariate analysis, SUV<sub>peak</sub> and MTV emerged as independent predictors of OS.</p><p><strong>Conclusion: </strong>Quantitative <sup>18</sup>F-FDG PET/CT-derived parameters are significant predictors of 5-year OS, exhibiting high sensitivity and specificity. Elevated values of these parameters correlate with increased mortality rates. Our findings suggest that SUV<sub>peak</sub> and MTV are independent prognostic factors for 5-year OS in patients with radioiodine-refractory DTC.</p>","PeriodicalId":8503,"journal":{"name":"Asia Oceania Journal of Nuclear Medicine and Biology","volume":"13 2","pages":"156-165"},"PeriodicalIF":0.0000,"publicationDate":"2025-01-01","publicationTypes":"Journal Article","fieldsOfStudy":null,"isOpenAccess":false,"openAccessPdf":"https://www.ncbi.nlm.nih.gov/pmc/articles/PMC12205131/pdf/","citationCount":"0","resultStr":null,"platform":"Semanticscholar","paperid":null,"PeriodicalName":"Asia Oceania Journal of Nuclear Medicine and Biology","FirstCategoryId":"1085","ListUrlMain":"https://doi.org/10.22038/aojnmb.2025.84029.1596","RegionNum":0,"RegionCategory":null,"ArticlePicture":[],"TitleCN":null,"AbstractTextCN":null,"PMCID":null,"EPubDate":"","PubModel":"","JCR":"Q3","JCRName":"Medicine","Score":null,"Total":0}
引用次数: 0

Abstract

Objectives: This study investigates the relationship between quantitative 18F-FDG PET/CT metabolic parameters and overall survival (OS) in patients with radioiodine-refractory differentiated thyroid cancer (RAI-R DTC).

Methods: We conducted a prospective analysis of 127 patients with RAI-R DTC. Quantitative metabolic parameters including SUVmax, SUVmean, SUVpeak, total metabolic tumor volume (MTV), and total lesion glycolysis (TLG) were assessed in 18F-FDG -avid recurrent or metastatic lesions via 18F-FDG PET/CT imaging. Patients were monitored for disease progression and mortality for at least one-year post PET/CT imaging. Receiver operating characteristic (ROC) curves were used to establish cut-off values for predicting 5-year mortality, while the Kaplan-Meier method estimated the 5-year survival rate. Univariate and multivariate Cox regression analyses identified prognostic factors associated with OS.

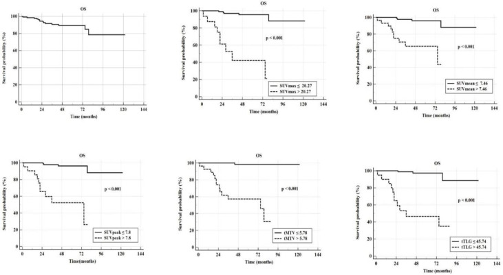
Results: The metabolic parameters derived from 18F-FDG PET/CT demonstrated high sensitivity and specificity for predicting 5-year OS. ROC curve analysis established optimal cut-off values for SUVmax (20.27 g/mL), SUVmean (7.46 g/mL), SUVpeak (7.8 g/mL), TLG (45.74 g/mL×cm³), and MTV (5.78 cm3) (AUC: 0.82, 0.78, 0.82, 0.82, and 0.86, respectively; p<0.001). Kaplan-Meier analysis revealed significantly lower OS in patients with higher values of these parameters compared to those with lower ones (survival rates: 42.1% vs. 95.6%, 65.5% vs. 96%, 52.3% vs. 96.3%, 46.5% vs. 97.3%, and 57.3 % vs. 98.3%, respectively; p<0.001). Univariate Cox regression identified SUVmax, SUVmean, SUVpeak, TLG, and MTV as significant predictors of 5-year OS (p<0.05). In multivariate analysis, SUVpeak and MTV emerged as independent predictors of OS.

Conclusion: Quantitative 18F-FDG PET/CT-derived parameters are significant predictors of 5-year OS, exhibiting high sensitivity and specificity. Elevated values of these parameters correlate with increased mortality rates. Our findings suggest that SUVpeak and MTV are independent prognostic factors for 5-year OS in patients with radioiodine-refractory DTC.

Abstract Image

Abstract Image

Abstract Image

定量18F-FDG PET/ ct衍生参数作为预测放射性碘难治性分化甲状腺癌总生存期的预后因素的效用
目的:探讨放射性碘难治性分化型甲状腺癌(RAI-R DTC)患者18F-FDG定量PET/CT代谢参数与总生存期(OS)的关系。方法:我们对127例rail - r DTC患者进行了前瞻性分析。通过18F-FDG PET/CT成像评估18F-FDG阳性复发或转移灶的定量代谢参数,包括SUVmax、SUVmean、SUVpeak、总代谢肿瘤体积(MTV)和病灶总糖酵解(TLG)。在PET/CT成像后对患者进行至少一年的疾病进展和死亡率监测。采用受试者工作特征(ROC)曲线建立预测5年死亡率的临界值,采用Kaplan-Meier法估计5年生存率。单因素和多因素Cox回归分析确定了与OS相关的预后因素。结果:18F-FDG PET/CT的代谢参数对预测5年OS具有很高的敏感性和特异性。ROC曲线分析确定SUVmax (20.27 g/mL)、SUVmean (7.46 g/mL)、SUVpeak (7.8 g/mL)、TLG (45.74 g/mL×cm³)和MTV (5.78 cm3)的最佳临界值(AUC分别为0.82、0.78、0.82、0.82和0.86);pmax、SUVmean、SUVpeak、TLG和MTV是5年OS的显著预测因子(ppeak和MTV是OS的独立预测因子)。结论:18F-FDG PET/ ct衍生的定量参数是5年OS的重要预测指标,具有较高的敏感性和特异性。这些参数值的升高与死亡率的增加有关。我们的研究结果表明,SUVpeak和MTV是放射性碘难治性DTC患者5年生存期的独立预后因素。
本文章由计算机程序翻译,如有差异,请以英文原文为准。
求助全文
约1分钟内获得全文 求助全文
来源期刊
Asia Oceania Journal of Nuclear Medicine and Biology
Asia Oceania Journal of Nuclear Medicine and Biology Medicine-Radiology, Nuclear Medicine and Imaging
CiteScore
1.80
自引率
0.00%
发文量
28
审稿时长
12 weeks
×
引用
GB/T 7714-2015
复制
MLA
复制
APA
复制
导出至
BibTeX EndNote RefMan NoteFirst NoteExpress
×
提示
您的信息不完整,为了账户安全,请先补充。
现在去补充
×
提示
您因"违规操作"
具体请查看互助需知
我知道了
×
提示
确定
请完成安全验证×
copy
已复制链接
快去分享给好友吧!
我知道了
右上角分享
点击右上角分享
0
联系我们:info@booksci.cn Book学术提供免费学术资源搜索服务,方便国内外学者检索中英文文献。致力于提供最便捷和优质的服务体验。 Copyright © 2023 布克学术 All rights reserved.
京ICP备2023020795号-1
ghs 京公网安备 11010802042870号
Book学术文献互助
Book学术文献互助群
群 号:604180095
Book学术官方微信