Effect of Acute Administration of Caffeine on Neuropathic Pain and the Role of Nitric Oxide Pathway in an Animal Model of Chronic Constriction Injury.

IF 1.1 Q4 NEUROSCIENCES
Monireh Naderi Tehrani, Gholam Ali Hamidi, Azhdar Heydari, Saeedeh Nasrollahi, Fatemeh Aghighi, Mahmoud Salami
{"title":"Effect of Acute Administration of Caffeine on Neuropathic Pain and the Role of Nitric Oxide Pathway in an Animal Model of Chronic Constriction Injury.","authors":"Monireh Naderi Tehrani, Gholam Ali Hamidi, Azhdar Heydari, Saeedeh Nasrollahi, Fatemeh Aghighi, Mahmoud Salami","doi":"10.32598/bcn.2024.5523.1","DOIUrl":null,"url":null,"abstract":"<p><strong>Introduction: </strong>Partial peripheral nerve injury often results in chronic pain, including hyperalgesia and allodynia. Caffeine, as a non-selective antagonist of adenosine receptors (ARs), has protective effects on neuropathic pain. Since nitric oxide (NO) is partially involved in the central effects of caffeine, we investigated the effects of acute caffeine administration on neuropathic pain, focusing on A<sub>1</sub> and A<sub>2</sub> receptors and the possible role of NO.</p><p><strong>Methods: </strong>Following chronic constriction injury (CCI), male Wistar rats were administered caffeine (10, 50, and 100 mg/kg). Also, groups of animals received L-NAME (30 mg/kg) or L-arginine (100 mg/kg) either alone or before treatment with 50 mg/kg of caffeine. Rats were tested for hyperalgesia and allodynia at 4, 7, 14, 21, and 28 days following CCI.</p><p><strong>Results: </strong>Administration of 10 mg/kg of caffeine significantly increased cold allodynia, while 50 and 100 mg/kg of caffeine decreased mechanical allodynia and thermal hyperalgesia. Pre-treatment with L-NAME before caffeine administration decreased cold and mechanical allodynia and thermal hyperalgesia. Treatment with L-arginine before caffeine administration increased thermal hyperalgesia and decreased cold allodynia.</p><p><strong>Conclusion: </strong>The present data show that caffeine dose-dependently affects the pro-analgesic or anti-analgesic states in the CCI model.</p>","PeriodicalId":8701,"journal":{"name":"Basic and Clinical Neuroscience","volume":"15 5","pages":"659-670"},"PeriodicalIF":1.1000,"publicationDate":"2024-09-01","publicationTypes":"Journal Article","fieldsOfStudy":null,"isOpenAccess":false,"openAccessPdf":"https://www.ncbi.nlm.nih.gov/pmc/articles/PMC12198742/pdf/","citationCount":"0","resultStr":null,"platform":"Semanticscholar","paperid":null,"PeriodicalName":"Basic and Clinical Neuroscience","FirstCategoryId":"1085","ListUrlMain":"https://doi.org/10.32598/bcn.2024.5523.1","RegionNum":0,"RegionCategory":null,"ArticlePicture":[],"TitleCN":null,"AbstractTextCN":null,"PMCID":null,"EPubDate":"","PubModel":"","JCR":"Q4","JCRName":"NEUROSCIENCES","Score":null,"Total":0}
引用次数: 0

Abstract

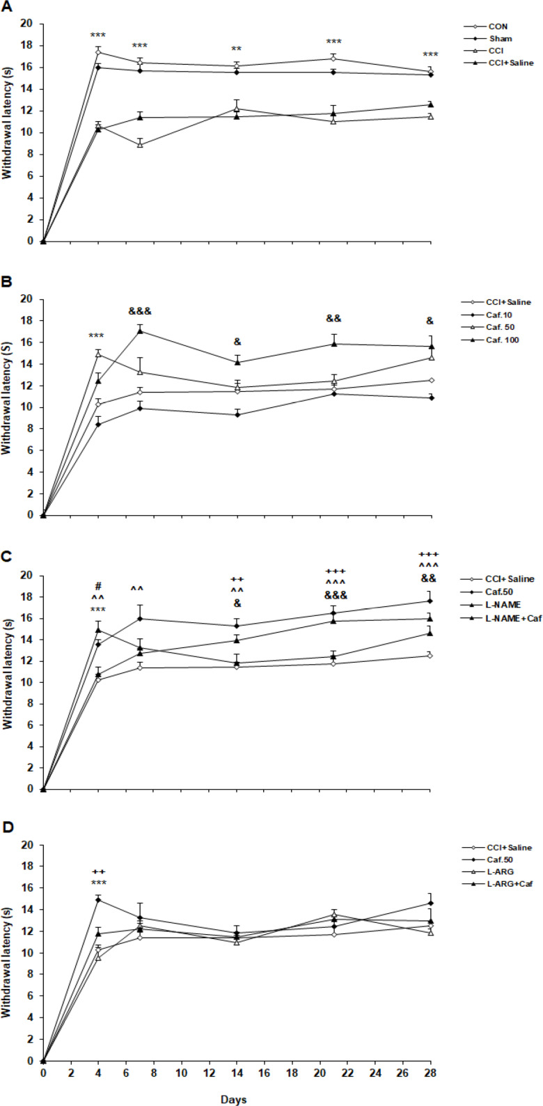
Introduction: Partial peripheral nerve injury often results in chronic pain, including hyperalgesia and allodynia. Caffeine, as a non-selective antagonist of adenosine receptors (ARs), has protective effects on neuropathic pain. Since nitric oxide (NO) is partially involved in the central effects of caffeine, we investigated the effects of acute caffeine administration on neuropathic pain, focusing on A1 and A2 receptors and the possible role of NO.

Methods: Following chronic constriction injury (CCI), male Wistar rats were administered caffeine (10, 50, and 100 mg/kg). Also, groups of animals received L-NAME (30 mg/kg) or L-arginine (100 mg/kg) either alone or before treatment with 50 mg/kg of caffeine. Rats were tested for hyperalgesia and allodynia at 4, 7, 14, 21, and 28 days following CCI.

Results: Administration of 10 mg/kg of caffeine significantly increased cold allodynia, while 50 and 100 mg/kg of caffeine decreased mechanical allodynia and thermal hyperalgesia. Pre-treatment with L-NAME before caffeine administration decreased cold and mechanical allodynia and thermal hyperalgesia. Treatment with L-arginine before caffeine administration increased thermal hyperalgesia and decreased cold allodynia.

Conclusion: The present data show that caffeine dose-dependently affects the pro-analgesic or anti-analgesic states in the CCI model.

Abstract Image

Abstract Image

Abstract Image

急性给药咖啡因对神经性疼痛的影响及一氧化氮通路在慢性收缩损伤动物模型中的作用。
部分周围神经损伤常导致慢性疼痛,包括痛觉过敏和异常性疼痛。咖啡因作为腺苷受体(ARs)的非选择性拮抗剂,对神经性疼痛具有保护作用。由于一氧化氮(NO)部分参与了咖啡因的中枢作用,我们研究了急性咖啡因给药对神经性疼痛的影响,重点关注A1和A2受体以及NO的可能作用。方法:雄性Wistar大鼠慢性收缩损伤(CCI)后,分别给予10、50、100 mg/kg的咖啡因。另外,一组动物单独服用L-NAME(30毫克/公斤)或l -精氨酸(100毫克/公斤),或在治疗前服用50毫克/公斤的咖啡因。分别于CCI后4、7、14、21和28天对大鼠进行痛觉过敏和异常性痛的检测。结果:10 mg/kg咖啡因可显著增加冷性异常痛,而50和100 mg/kg咖啡因可减少机械异常痛和热痛觉过敏。在给药前用L-NAME进行预处理可减少冷、机械异常性痛和热痛觉过敏。在给予咖啡因之前用l -精氨酸治疗会增加热痛觉过敏,减少冷异常性痛。结论:目前的数据表明,咖啡因剂量依赖性地影响CCI模型的促镇痛或抗镇痛状态。
本文章由计算机程序翻译,如有差异,请以英文原文为准。
求助全文
约1分钟内获得全文 求助全文
来源期刊
CiteScore
2.60
自引率
0.00%
发文量
64
审稿时长
4 weeks
期刊介绍: BCN is an international multidisciplinary journal that publishes editorials, original full-length research articles, short communications, reviews, methodological papers, commentaries, perspectives and “news and reports” in the broad fields of developmental, molecular, cellular, system, computational, behavioral, cognitive, and clinical neuroscience. No area in the neural related sciences is excluded from consideration, although priority is given to studies that provide applied insights into the functioning of the nervous system. BCN aims to advance our understanding of organization and function of the nervous system in health and disease, thereby improving the diagnosis and treatment of neural-related disorders. Manuscripts submitted to BCN should describe novel results generated by experiments that were guided by clearly defined aims or hypotheses. BCN aims to provide serious ties in interdisciplinary communication, accessibility to a broad readership inside Iran and the region and also in all other international academic sites, effective peer review process, and independence from all possible non-scientific interests. BCN also tries to empower national, regional and international collaborative networks in the field of neuroscience in Iran, Middle East, Central Asia and North Africa and to be the voice of the Iranian and regional neuroscience community in the world of neuroscientists. In this way, the journal encourages submission of editorials, review papers, commentaries, methodological notes and perspectives that address this scope.
×
引用
GB/T 7714-2015
复制
MLA
复制
APA
复制
导出至
BibTeX EndNote RefMan NoteFirst NoteExpress
×
提示
您的信息不完整,为了账户安全,请先补充。
现在去补充
×
提示
您因"违规操作"
具体请查看互助需知
我知道了
×
提示
确定
请完成安全验证×
copy
已复制链接
快去分享给好友吧!
我知道了
右上角分享
点击右上角分享
0
联系我们:info@booksci.cn Book学术提供免费学术资源搜索服务,方便国内外学者检索中英文文献。致力于提供最便捷和优质的服务体验。 Copyright © 2023 布克学术 All rights reserved.
京ICP备2023020795号-1
ghs 京公网安备 11010802042870号
Book学术文献互助
Book学术文献互助群
群 号:604180095
Book学术官方微信