Evaluating the Prognostic Value of Kansas City Cardiomyopathy Questionnaire (KCCQ) Scores for 6-Month Readmissions in Southeast Asian Populations With Heart Failure

IF 2.3 3区 医学 Q2 CARDIAC & CARDIOVASCULAR SYSTEMS
Jeanne SY Ong, Ming Fatt Kham, Jonah Goh, Francis Phng, Po Fun Chan, Poay Huan Loh, Christine Wu
{"title":"Evaluating the Prognostic Value of Kansas City Cardiomyopathy Questionnaire (KCCQ) Scores for 6-Month Readmissions in Southeast Asian Populations With Heart Failure","authors":"Jeanne SY Ong,&nbsp;Ming Fatt Kham,&nbsp;Jonah Goh,&nbsp;Francis Phng,&nbsp;Po Fun Chan,&nbsp;Poay Huan Loh,&nbsp;Christine Wu","doi":"10.1002/clc.70136","DOIUrl":null,"url":null,"abstract":"<div>\n \n \n <section>\n \n <h3> Background</h3>\n \n <p>Heart failure (HF) is a prevalent cause of hospital readmissions. Our study aims to determine the correlation between the Kansas City Cardiomyopathy Questionnaire (KCCQ) scores and 6-month readmission in our Southeast Asian population.</p>\n </section>\n \n <section>\n \n <h3> Methods</h3>\n \n <p>We evaluated KCCQ-12 in a cohort of 180 patients at first post-discharge visit after a recent hospitalization for HF with reduced ejection fraction (HFrEF). Logistic regression was used to determine the predictive significance of the KCCQ scores for 6-month HF readmission. The selection of predictive parameters was performed using Stepwise Akaike Information Criterion (StepAIC).</p>\n </section>\n \n <section>\n \n <h3> Results</h3>\n \n <p>Out of 180 patients, 52 (29%) were readmitted for HF within 6 months. The mean KCCQ score was higher in the non-readmitted group (78.5) compared to the readmitted group (69.7, <i>p</i> = 0.0129). Multivariate analysis indicated a significant association between higher KCCQ scores (better health status) and lower HF readmission rates (adjusted OR = 0.929, <i>p</i> = 0.0255). The initial predictive model, using patient demographic data, had an AUC score of 0.64. Integrating KCCQ scores with demographics, length of stay (LOS), medical history and discharge medication variables raised the AUC score to 0.82.</p>\n </section>\n \n <section>\n \n <h3> Conclusion</h3>\n \n <p>KCCQ scores recorded at first post-discharge encounter were found to have a significant relationship with 6-month readmissions in our cohort, suggesting that KCCQ scores can serve as an effective clinical indicator of 6 month readmissions.</p>\n </section>\n </div>","PeriodicalId":10201,"journal":{"name":"Clinical Cardiology","volume":"48 7","pages":""},"PeriodicalIF":2.3000,"publicationDate":"2025-07-02","publicationTypes":"Journal Article","fieldsOfStudy":null,"isOpenAccess":false,"openAccessPdf":"https://onlinelibrary.wiley.com/doi/epdf/10.1002/clc.70136","citationCount":"0","resultStr":null,"platform":"Semanticscholar","paperid":null,"PeriodicalName":"Clinical Cardiology","FirstCategoryId":"3","ListUrlMain":"https://onlinelibrary.wiley.com/doi/10.1002/clc.70136","RegionNum":3,"RegionCategory":"医学","ArticlePicture":[],"TitleCN":null,"AbstractTextCN":null,"PMCID":null,"EPubDate":"","PubModel":"","JCR":"Q2","JCRName":"CARDIAC & CARDIOVASCULAR SYSTEMS","Score":null,"Total":0}
引用次数: 0

Abstract

Background

Heart failure (HF) is a prevalent cause of hospital readmissions. Our study aims to determine the correlation between the Kansas City Cardiomyopathy Questionnaire (KCCQ) scores and 6-month readmission in our Southeast Asian population.

Methods

We evaluated KCCQ-12 in a cohort of 180 patients at first post-discharge visit after a recent hospitalization for HF with reduced ejection fraction (HFrEF). Logistic regression was used to determine the predictive significance of the KCCQ scores for 6-month HF readmission. The selection of predictive parameters was performed using Stepwise Akaike Information Criterion (StepAIC).

Results

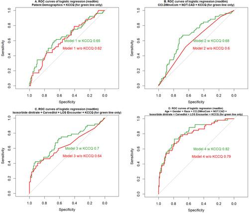
Out of 180 patients, 52 (29%) were readmitted for HF within 6 months. The mean KCCQ score was higher in the non-readmitted group (78.5) compared to the readmitted group (69.7, p = 0.0129). Multivariate analysis indicated a significant association between higher KCCQ scores (better health status) and lower HF readmission rates (adjusted OR = 0.929, p = 0.0255). The initial predictive model, using patient demographic data, had an AUC score of 0.64. Integrating KCCQ scores with demographics, length of stay (LOS), medical history and discharge medication variables raised the AUC score to 0.82.

Conclusion

KCCQ scores recorded at first post-discharge encounter were found to have a significant relationship with 6-month readmissions in our cohort, suggesting that KCCQ scores can serve as an effective clinical indicator of 6 month readmissions.

Abstract Image

评估堪萨斯城心肌病问卷(KCCQ)评分对东南亚心力衰竭患者6个月再入院的预后价值
背景:心力衰竭(HF)是再入院的常见原因。我们的研究旨在确定堪萨斯城心肌病问卷(KCCQ)评分与东南亚人群6个月再入院之间的相关性。方法:我们在180例近期因心力衰竭伴射血分数降低(HFrEF)住院的患者出院后首次就诊的队列中评估了KCCQ-12。采用Logistic回归确定KCCQ评分对6个月HF再入院的预测意义。采用逐步赤池信息准则(Stepwise Akaike Information Criterion, StepAIC)进行预测参数的选择。结果180例患者中,52例(29%)在6个月内因心衰再次入院。非再入院组KCCQ平均评分(78.5)高于再入院组(69.7,p = 0.0129)。多因素分析显示,较高的KCCQ评分(较好的健康状况)与较低的心衰再入院率之间存在显著相关性(调整OR = 0.929, p = 0.0255)。使用患者人口统计数据的初始预测模型的AUC评分为0.64。综合人口学、住院时间(LOS)、病史和出院用药变量,KCCQ得分提高到0.82。结论出院后首次就诊时记录的KCCQ评分与6个月再入院有显著关系,提示KCCQ评分可作为6个月再入院的有效临床指标。
本文章由计算机程序翻译,如有差异,请以英文原文为准。
求助全文
约1分钟内获得全文 求助全文
来源期刊
Clinical Cardiology
Clinical Cardiology 医学-心血管系统
CiteScore
5.10
自引率
3.70%
发文量
189
审稿时长
4-8 weeks
期刊介绍: Clinical Cardiology provides a fully Gold Open Access forum for the publication of original clinical research, as well as brief reviews of diagnostic and therapeutic issues in cardiovascular medicine and cardiovascular surgery. The journal includes Clinical Investigations, Reviews, free standing editorials and commentaries, and bonus online-only content. The journal also publishes supplements, Expert Panel Discussions, sponsored clinical Reviews, Trial Designs, and Quality and Outcomes.
×
引用
GB/T 7714-2015
复制
MLA
复制
APA
复制
导出至
BibTeX EndNote RefMan NoteFirst NoteExpress
×
提示
您的信息不完整,为了账户安全,请先补充。
现在去补充
×
提示
您因"违规操作"
具体请查看互助需知
我知道了
×
提示
确定
请完成安全验证×
copy
已复制链接
快去分享给好友吧!
我知道了
右上角分享
点击右上角分享
0
联系我们:info@booksci.cn Book学术提供免费学术资源搜索服务,方便国内外学者检索中英文文献。致力于提供最便捷和优质的服务体验。 Copyright © 2023 布克学术 All rights reserved.
京ICP备2023020795号-1
ghs 京公网安备 11010802042870号
Book学术文献互助
Book学术文献互助群
群 号:604180095
Book学术官方微信