Laboratory and semifield data indicate that vector Culicoides spp. in Florida are susceptible to permethrin.

IF 2
Vilma M Cooper, Eva A Buckner, Juan M Campos-Krauer, Samantha M Wisely, Nathan Burkett-Cadena
{"title":"Laboratory and semifield data indicate that vector Culicoides spp. in Florida are susceptible to permethrin.","authors":"Vilma M Cooper, Eva A Buckner, Juan M Campos-Krauer, Samantha M Wisely, Nathan Burkett-Cadena","doi":"10.1093/jme/tjaf077","DOIUrl":null,"url":null,"abstract":"<p><p>The genus Culicoides includes numerous species that are biting nuisances and vectors of pathogens affecting humans, livestock, and wildlife. For instance, Culicoides paraensis is the primary vector of Oropouche virus to humans, while other species, such as Culicoides sonorensis, Culicoides insignis, and Culicoides venustus transmit viruses causing hemorrhagic disease in ruminants, particularly bovids and cervids. Current control practices for biting midges rely heavily on chemical insecticides, yet their efficacy and potential for insecticide resistance in biting midges remain poorly documented. We conducted laboratory and semifield experiments to evaluate permethrin susceptibility in wild biting midges collected on 5 Florida deer farms, including known and suspected hemorrhagic diseasevector species, using lab-reared mosquitoes (Aedes aegypti) as a susceptible reference. The Culicoides species tested included: C. insignis (n = 944), C. stellifer (n = 269), C. debilipalpis (n = 68), C. venustus (n = 16), C. edeni (n = 5), C. furens (n = 5). Centers for Disease Control and Prevention bottle bioassays using 10.75 µg permethrin per bottle resulted in 100% mortality within 30 min across all Culicoides spp. Similarly, semifield cage trials with ultra-low volume permethrin-based space sprays applied at maximum label rate caused 100% mortality of all Culicoides spp. and susceptible Ae. aegypti within 1 h after exposure. Our findings confirm the effectiveness of permethrin for controlling biting midges and suggest that significant resistance to permethrin has not developed in the Culicoides populations tested. This study provides a foundation for optimizing vector control strategies against biting midges by demonstrating their susceptibility to permethrin and emphasizing the need for informed, evidence-based practices.</p>","PeriodicalId":94091,"journal":{"name":"Journal of medical entomology","volume":" ","pages":"1235-1242"},"PeriodicalIF":2.0000,"publicationDate":"2025-09-01","publicationTypes":"Journal Article","fieldsOfStudy":null,"isOpenAccess":false,"openAccessPdf":"https://www.ncbi.nlm.nih.gov/pmc/articles/PMC12507431/pdf/","citationCount":"0","resultStr":null,"platform":"Semanticscholar","paperid":null,"PeriodicalName":"Journal of medical entomology","FirstCategoryId":"1085","ListUrlMain":"https://doi.org/10.1093/jme/tjaf077","RegionNum":0,"RegionCategory":null,"ArticlePicture":[],"TitleCN":null,"AbstractTextCN":null,"PMCID":null,"EPubDate":"","PubModel":"","JCR":"","JCRName":"","Score":null,"Total":0}
引用次数: 0

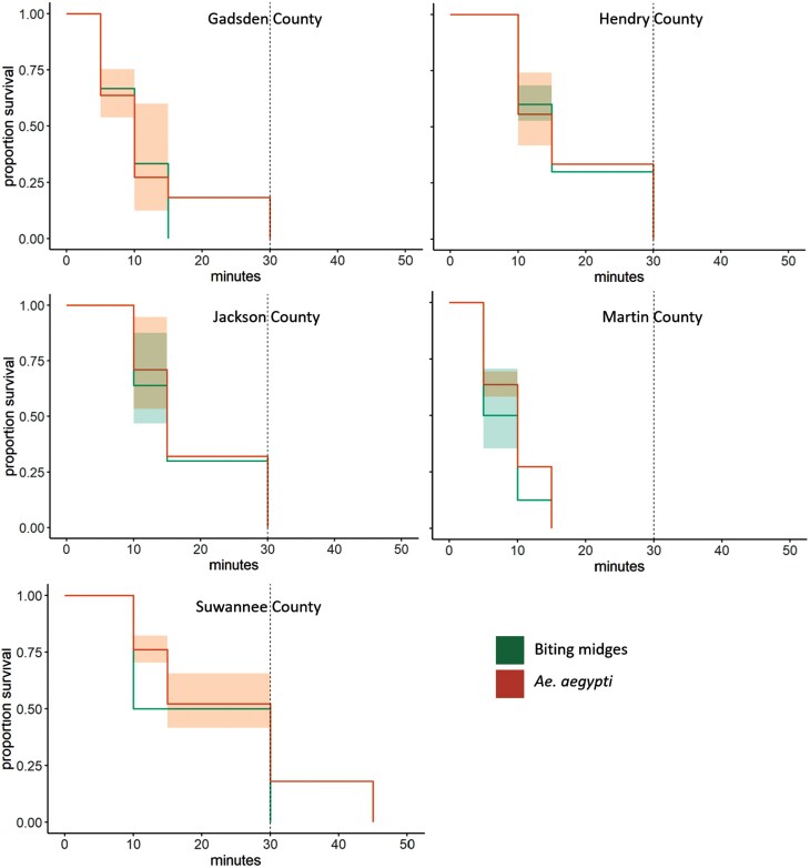
Abstract

The genus Culicoides includes numerous species that are biting nuisances and vectors of pathogens affecting humans, livestock, and wildlife. For instance, Culicoides paraensis is the primary vector of Oropouche virus to humans, while other species, such as Culicoides sonorensis, Culicoides insignis, and Culicoides venustus transmit viruses causing hemorrhagic disease in ruminants, particularly bovids and cervids. Current control practices for biting midges rely heavily on chemical insecticides, yet their efficacy and potential for insecticide resistance in biting midges remain poorly documented. We conducted laboratory and semifield experiments to evaluate permethrin susceptibility in wild biting midges collected on 5 Florida deer farms, including known and suspected hemorrhagic diseasevector species, using lab-reared mosquitoes (Aedes aegypti) as a susceptible reference. The Culicoides species tested included: C. insignis (n = 944), C. stellifer (n = 269), C. debilipalpis (n = 68), C. venustus (n = 16), C. edeni (n = 5), C. furens (n = 5). Centers for Disease Control and Prevention bottle bioassays using 10.75 µg permethrin per bottle resulted in 100% mortality within 30 min across all Culicoides spp. Similarly, semifield cage trials with ultra-low volume permethrin-based space sprays applied at maximum label rate caused 100% mortality of all Culicoides spp. and susceptible Ae. aegypti within 1 h after exposure. Our findings confirm the effectiveness of permethrin for controlling biting midges and suggest that significant resistance to permethrin has not developed in the Culicoides populations tested. This study provides a foundation for optimizing vector control strategies against biting midges by demonstrating their susceptibility to permethrin and emphasizing the need for informed, evidence-based practices.

Abstract Image

Abstract Image

室内和半现场数据表明,佛罗里达州库蠓对氯菊酯敏感。
库蠓属包括许多种,它们是令人讨厌的害虫,也是影响人类、牲畜和野生动物的病原体载体。例如,副库蚊是向人类传播Oropouche病毒的主要媒介,而其他物种,如sonorensis库蚊、insignis库蚊和venicoides venustus传播病毒,导致反刍动物,特别是牛类和鹿类出血性疾病。目前对蠓的控制措施严重依赖化学杀虫剂,但其对蠓的功效和抗药性潜力的记录仍然很少。本研究以实验室饲养的埃及伊蚊(Aedes aegypti)为敏感对照,对佛罗里达州5个鹿场采集的野生蠓(包括已知和疑似出血性疾病媒介)的氯菊酯敏感性进行了室内和半野外试验。检测库蠓种类包括:银蠓(944种)、星蠓(269种)、褐皮蠓(68种)、venusus蠓(16种)、edeni蠓(5种)、furens蠓(5种)。美国疾病控制与预防中心采用每瓶10.75µg氯菊酯进行瓶内生物测定,30分钟内所有库蠓的死亡率为100%。同样,在半场笼试验中,以最大标记率使用超低体积氯菊酯空间喷雾剂,所有库蠓和易感伊蚊的死亡率为100%。接触后1小时内感染埃及伊蚊。本研究结果证实了氯菊酯对蠓的防治效果,并提示所测库蠓种群对氯菊酯未产生显著抗性。本研究通过揭示蠓对氯菊酯的易感性,并强调有必要开展知情、循证实践,为优化针对蠓的媒介控制策略提供基础。
本文章由计算机程序翻译,如有差异,请以英文原文为准。
求助全文
约1分钟内获得全文 求助全文
来源期刊
自引率
0.00%
发文量
0
×
引用
GB/T 7714-2015
复制
MLA
复制
APA
复制
导出至
BibTeX EndNote RefMan NoteFirst NoteExpress
×
提示
您的信息不完整,为了账户安全,请先补充。
现在去补充
×
提示
您因"违规操作"
具体请查看互助需知
我知道了
×
提示
确定
请完成安全验证×
copy
已复制链接
快去分享给好友吧!
我知道了
右上角分享
点击右上角分享
0
联系我们:info@booksci.cn Book学术提供免费学术资源搜索服务,方便国内外学者检索中英文文献。致力于提供最便捷和优质的服务体验。 Copyright © 2023 布克学术 All rights reserved.
京ICP备2023020795号-1
ghs 京公网安备 11010802042870号
Book学术文献互助
Book学术文献互助群
群 号:604180095
Book学术官方微信