Synergistic efficacy of phages along with vancomycin for eradication of vancomycin-resistant Enterococcus faecalis biofilms.

Minakshi Sahu, Ranjeet Kumar Vishwakarma, Subhash Lal Karn, Gopal Nath
{"title":"Synergistic efficacy of phages along with vancomycin for eradication of vancomycin-resistant <i>Enterococcus faecalis</i> biofilms.","authors":"Minakshi Sahu, Ranjeet Kumar Vishwakarma, Subhash Lal Karn, Gopal Nath","doi":"10.5501/wjv.v14.i2.95826","DOIUrl":null,"url":null,"abstract":"<p><strong>Background: </strong>The upsurge of antibiotic resistance is a significant challenge to public health, and the dry pipeline of new antibiotics has prompted the discovery of alternative treatment approaches. <i>Enterococcus faecalis</i> (<i>E. faecalis</i>) isolates are often multidrug-resistant, posing challenges to antibiotic therapy. Bacteriophage therapy is being explored as an alternative method to treat the growing population of antibiotic-resistant infections. Nevertheless, many inherent limitations of phages diminish their therapeutic utility, notably the restricted host range and quick development of mutants. The specific types and quantities of bacteriophages and antibiotics may be crucial in generating the optimal phage-antibiotic synergy.</p><p><strong>Aim: </strong>To optimize the doses, order, and timing to optimize the synergy of phages and vancomycin on different bacteria states.</p><p><strong>Methods: </strong>A volume of 180 μL of <i>E. faecalis</i> bacteria in the logarithmic growth phase, with a concentration of approximately 1 × 10<sup>8</sup> colony forming units (CFUs)/mL, was introduced onto a microtitre plate. Subsequently, 20 μL of phage suspension (1 × 10<sup>6</sup> PFUs/mL), vancomycin (16 µg/mL), or a combination of both was introduced into the designated wells in the specified sequence and incubated at 37 °C for 48 hours. The number of live bacteria was counted at different time points using standardized CFU counting protocols.</p><p><strong>Results: </strong>The biofilm model demonstrated that combining phages with vancomycin can eradicate the biofilm. Sequential therapy, involving phage application 8 hours before the antibiotic at a concentration of 10<sup>8</sup> PFUs/mL, proved the most efficient in eliminating the biofilms and killing the planktonic form of <i>E. faecalis.</i></p><p><strong>Conclusion: </strong>The combination of phage ɸEFP01 at a higher concentration with a subinhibitory concentration of vancomycin yields a synergistic antibacterial outcome on <i>E. faecalis</i> strain resistant to vancomycin.</p>","PeriodicalId":61903,"journal":{"name":"世界病毒学杂志(英文版)","volume":"14 2","pages":"95826"},"PeriodicalIF":0.0000,"publicationDate":"2025-06-25","publicationTypes":"Journal Article","fieldsOfStudy":null,"isOpenAccess":false,"openAccessPdf":"https://www.ncbi.nlm.nih.gov/pmc/articles/PMC12188910/pdf/","citationCount":"0","resultStr":null,"platform":"Semanticscholar","paperid":null,"PeriodicalName":"世界病毒学杂志(英文版)","FirstCategoryId":"1089","ListUrlMain":"https://doi.org/10.5501/wjv.v14.i2.95826","RegionNum":0,"RegionCategory":null,"ArticlePicture":[],"TitleCN":null,"AbstractTextCN":null,"PMCID":null,"EPubDate":"","PubModel":"","JCR":"","JCRName":"","Score":null,"Total":0}
引用次数: 0

Abstract

Background: The upsurge of antibiotic resistance is a significant challenge to public health, and the dry pipeline of new antibiotics has prompted the discovery of alternative treatment approaches. Enterococcus faecalis (E. faecalis) isolates are often multidrug-resistant, posing challenges to antibiotic therapy. Bacteriophage therapy is being explored as an alternative method to treat the growing population of antibiotic-resistant infections. Nevertheless, many inherent limitations of phages diminish their therapeutic utility, notably the restricted host range and quick development of mutants. The specific types and quantities of bacteriophages and antibiotics may be crucial in generating the optimal phage-antibiotic synergy.

Aim: To optimize the doses, order, and timing to optimize the synergy of phages and vancomycin on different bacteria states.

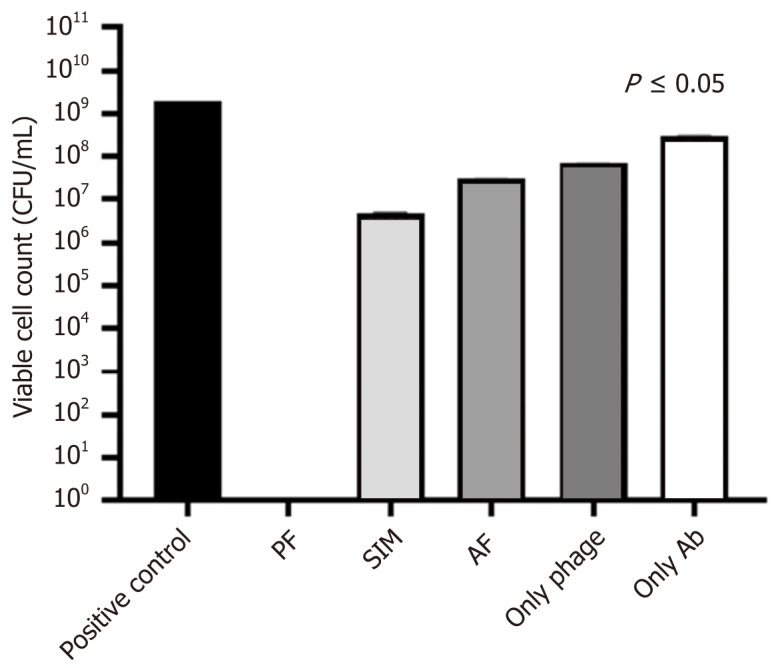
Methods: A volume of 180 μL of E. faecalis bacteria in the logarithmic growth phase, with a concentration of approximately 1 × 108 colony forming units (CFUs)/mL, was introduced onto a microtitre plate. Subsequently, 20 μL of phage suspension (1 × 106 PFUs/mL), vancomycin (16 µg/mL), or a combination of both was introduced into the designated wells in the specified sequence and incubated at 37 °C for 48 hours. The number of live bacteria was counted at different time points using standardized CFU counting protocols.

Results: The biofilm model demonstrated that combining phages with vancomycin can eradicate the biofilm. Sequential therapy, involving phage application 8 hours before the antibiotic at a concentration of 108 PFUs/mL, proved the most efficient in eliminating the biofilms and killing the planktonic form of E. faecalis.

Conclusion: The combination of phage ɸEFP01 at a higher concentration with a subinhibitory concentration of vancomycin yields a synergistic antibacterial outcome on E. faecalis strain resistant to vancomycin.

Abstract Image

Abstract Image

Abstract Image

噬菌体与万古霉素协同根除耐万古霉素粪肠球菌生物膜的效果。
背景:抗生素耐药性的上升是对公共卫生的重大挑战,新抗生素的枯竭促使人们发现替代治疗方法。粪肠球菌(E. faecalis)分离株通常具有多重耐药,对抗生素治疗构成挑战。噬菌体疗法正在被探索作为一种替代方法来治疗日益增长的抗生素耐药感染。然而,噬菌体的许多固有局限性削弱了它们的治疗效用,特别是有限的宿主范围和突变体的快速发展。噬菌体和抗生素的特定类型和数量可能是产生最佳噬菌体-抗生素协同作用的关键。目的:优化噬菌体与万古霉素对不同细菌状态的协同作用的剂量、顺序和时机。方法:取对数生长期的粪肠杆菌180 μL,浓度约为1 × 108菌落形成单位(cfu)/mL,置于微滴板上。将噬菌体混悬液(1 × 106 pfu /mL) 20 μL、万古霉素(16µg/mL)或两者同时加入,按规定顺序加入指定孔中,37℃孵育48小时。采用标准化CFU计数方案,在不同时间点对活菌数量进行计数。结果:生物膜模型表明,噬菌体联合万古霉素可根除生物膜。序贯治疗,包括在抗生素使用前8小时以108 PFUs/mL浓度应用噬菌体,证明在消除生物膜和杀死浮游形式的粪肠球菌方面最有效。结论:较高浓度的噬菌体h EFP01与低浓度的万古霉素联合使用对耐万古霉素的粪肠杆菌具有协同抑菌效果。
本文章由计算机程序翻译,如有差异,请以英文原文为准。
求助全文
约1分钟内获得全文 求助全文
来源期刊
自引率
0.00%
发文量
171
×
引用
GB/T 7714-2015
复制
MLA
复制
APA
复制
导出至
BibTeX EndNote RefMan NoteFirst NoteExpress
×
提示
您的信息不完整,为了账户安全,请先补充。
现在去补充
×
提示
您因"违规操作"
具体请查看互助需知
我知道了
×
提示
确定
请完成安全验证×
copy
已复制链接
快去分享给好友吧!
我知道了
右上角分享
点击右上角分享
0
联系我们:info@booksci.cn Book学术提供免费学术资源搜索服务,方便国内外学者检索中英文文献。致力于提供最便捷和优质的服务体验。 Copyright © 2023 布克学术 All rights reserved.
京ICP备2023020795号-1
ghs 京公网安备 11010802042870号
Book学术文献互助
Book学术文献互助群
群 号:604180095
Book学术官方微信