Micro RNAs as a potential biomarker for predicting liver fibrosis severity in hepatitis C virus affected patients.

Navneet Kaur, Ravinder Garg, Chaitanya Tapasvi, Gitanjali Goyal
{"title":"Micro RNAs as a potential biomarker for predicting liver fibrosis severity in hepatitis C virus affected patients.","authors":"Navneet Kaur, Ravinder Garg, Chaitanya Tapasvi, Gitanjali Goyal","doi":"10.5501/wjv.v14.i2.101976","DOIUrl":null,"url":null,"abstract":"<p><strong>Background: </strong>Hepatitis C virus (HCV) infection process of progression encompasses multiple stages, commencing with inflammation and culminating in hepatocellular cancer. Numerous invasive and non-invasive procedures exist for diagnosing chronic HCV infection. Though beneficial, invasive procedures can cause morbidity and inadequate representation of the overall degree of fibrosis. Due to these reasons, non-invasive liver fibrosis biomarkers are becoming more prevalent to diagnose and track liver fibrosis without a liver biopsy. These biomarkers can detect liver fibrosis early, improving treatment and preventing cirrhosis and liver failure. Micro ribonucleic acid (MiRNA) dysregulation causes and worsens several diseases including liver disease. MiRNAs can facilitate the diagnosis of liver fibrosis and serve as a predictive tool to enhance patient care by minimizing invasive procedures and enabling more efficient and prompt therapy.</p><p><strong>Aim: </strong>To investigate the diagnostic effectiveness of several miRNAs (miRNA-122, miRNA-21, miRNA-199a, miRNA-155) in assessing the liver fibrosis severity in untreated HCV patients from the Indian Punjab population. We seek to identify the intricate diagnostic relationship of miRNAs with the extent of fibrosis among individuals with HCV.</p><p><strong>Methods: </strong>We considered 100 persons determined as HCV infected by a quantitative Real-Time Polymerase Chain Reaction examination. We employed statistical as well as probabilistic tools to ascertain the diagnostic validity of miRNAs for determining the liver fibrosis stages. We employed Bayesian Networks, to introduce a unique diagnostic paradigm for miRNAs that can be adopted as benchmark to evaluate the liver fibrosis severity in HCV cases.</p><p><strong>Results: </strong>We found that miRNAs (miR-122, miR-155 and miR-21) showed significant upregulation when compared with control and according to severity of fibrosis (<i>P</i> ≤ 0.05). The area under the curve for miR-122, miR-155, miR-21 and miR-199a in HCV group in relation to Liver Stiffness Measurement was calculated as 0.889, 0.933, 0.912 and 0.035 respectively. MiR-199a was downregulated according to degree of fibrosis.</p><p><strong>Conclusion: </strong>Depending on the diagnostic accuracy, we have concluded that miR-122, miR-155 and miR-21 are reliable markers to detect fibrosis in Hepatitis C patients.</p>","PeriodicalId":61903,"journal":{"name":"世界病毒学杂志(英文版)","volume":"14 2","pages":"101976"},"PeriodicalIF":0.0000,"publicationDate":"2025-06-25","publicationTypes":"Journal Article","fieldsOfStudy":null,"isOpenAccess":false,"openAccessPdf":"https://www.ncbi.nlm.nih.gov/pmc/articles/PMC12188894/pdf/","citationCount":"0","resultStr":null,"platform":"Semanticscholar","paperid":null,"PeriodicalName":"世界病毒学杂志(英文版)","FirstCategoryId":"1089","ListUrlMain":"https://doi.org/10.5501/wjv.v14.i2.101976","RegionNum":0,"RegionCategory":null,"ArticlePicture":[],"TitleCN":null,"AbstractTextCN":null,"PMCID":null,"EPubDate":"","PubModel":"","JCR":"","JCRName":"","Score":null,"Total":0}
引用次数: 0

Abstract

Background: Hepatitis C virus (HCV) infection process of progression encompasses multiple stages, commencing with inflammation and culminating in hepatocellular cancer. Numerous invasive and non-invasive procedures exist for diagnosing chronic HCV infection. Though beneficial, invasive procedures can cause morbidity and inadequate representation of the overall degree of fibrosis. Due to these reasons, non-invasive liver fibrosis biomarkers are becoming more prevalent to diagnose and track liver fibrosis without a liver biopsy. These biomarkers can detect liver fibrosis early, improving treatment and preventing cirrhosis and liver failure. Micro ribonucleic acid (MiRNA) dysregulation causes and worsens several diseases including liver disease. MiRNAs can facilitate the diagnosis of liver fibrosis and serve as a predictive tool to enhance patient care by minimizing invasive procedures and enabling more efficient and prompt therapy.

Aim: To investigate the diagnostic effectiveness of several miRNAs (miRNA-122, miRNA-21, miRNA-199a, miRNA-155) in assessing the liver fibrosis severity in untreated HCV patients from the Indian Punjab population. We seek to identify the intricate diagnostic relationship of miRNAs with the extent of fibrosis among individuals with HCV.

Methods: We considered 100 persons determined as HCV infected by a quantitative Real-Time Polymerase Chain Reaction examination. We employed statistical as well as probabilistic tools to ascertain the diagnostic validity of miRNAs for determining the liver fibrosis stages. We employed Bayesian Networks, to introduce a unique diagnostic paradigm for miRNAs that can be adopted as benchmark to evaluate the liver fibrosis severity in HCV cases.

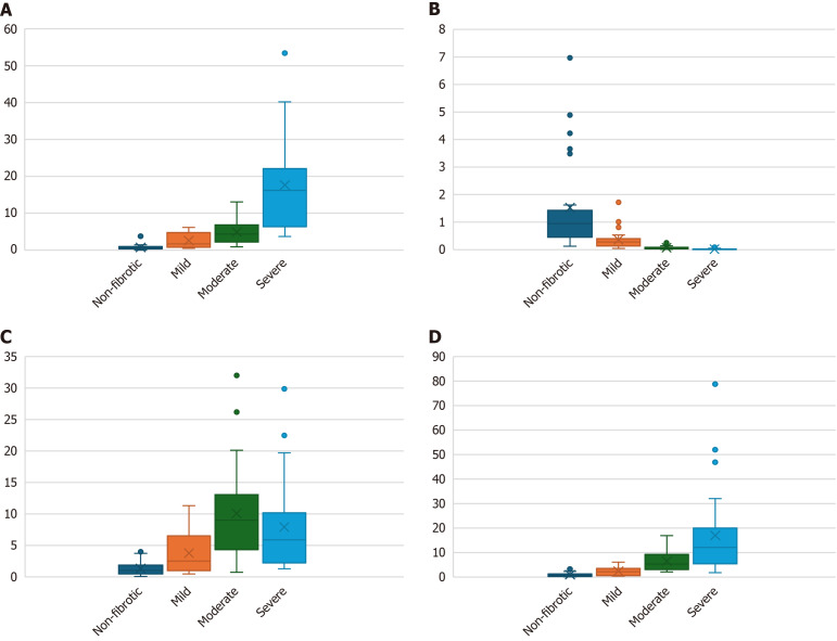
Results: We found that miRNAs (miR-122, miR-155 and miR-21) showed significant upregulation when compared with control and according to severity of fibrosis (P ≤ 0.05). The area under the curve for miR-122, miR-155, miR-21 and miR-199a in HCV group in relation to Liver Stiffness Measurement was calculated as 0.889, 0.933, 0.912 and 0.035 respectively. MiR-199a was downregulated according to degree of fibrosis.

Conclusion: Depending on the diagnostic accuracy, we have concluded that miR-122, miR-155 and miR-21 are reliable markers to detect fibrosis in Hepatitis C patients.

Abstract Image

Abstract Image

Abstract Image

微rna作为预测丙型肝炎病毒感染患者肝纤维化严重程度的潜在生物标志物
背景:丙型肝炎病毒(HCV)感染的进展过程包括多个阶段,从炎症开始,最终发展为肝细胞癌。诊断慢性丙型肝炎病毒感染有许多侵入性和非侵入性方法。虽然是有益的,但侵入性手术可能导致发病率和不能充分反映纤维化的总体程度。由于这些原因,非侵入性肝纤维化生物标志物在无需肝活检的情况下诊断和跟踪肝纤维化变得越来越普遍。这些生物标志物可以早期检测肝纤维化,改善治疗,预防肝硬化和肝功能衰竭。微核糖核酸(MiRNA)失调导致并恶化了包括肝脏疾病在内的几种疾病。mirna可以促进肝纤维化的诊断,并作为一种预测工具,通过减少侵入性手术和实现更有效和及时的治疗来加强患者护理。目的:探讨几种mirna (miRNA-122、miRNA-21、miRNA-199a、miRNA-155)在评估印度旁遮普人群未治疗HCV患者肝纤维化严重程度中的诊断效果。我们试图在HCV患者中确定mirna与纤维化程度的复杂诊断关系。方法:采用实时荧光定量聚合酶链式反应(pcr)检测,确定了100例HCV感染者。我们采用统计学和概率工具来确定mirna在确定肝纤维化分期方面的诊断有效性。我们采用贝叶斯网络,引入了一种独特的mirna诊断范例,可作为评估HCV病例肝纤维化严重程度的基准。结果:我们发现mirna (miR-122、miR-155、miR-21)与对照组及纤维化严重程度比较均有显著上调(P≤0.05)。计算HCV组miR-122、miR-155、miR-21和miR-199a与肝脏硬度测量相关的曲线下面积分别为0.889、0.933、0.912和0.035。MiR-199a根据纤维化程度下调。结论:根据诊断的准确性,我们得出结论,miR-122、miR-155和miR-21是检测丙型肝炎患者纤维化的可靠标志物。
本文章由计算机程序翻译,如有差异,请以英文原文为准。
求助全文
约1分钟内获得全文 求助全文
来源期刊
自引率
0.00%
发文量
171
×
引用
GB/T 7714-2015
复制
MLA
复制
APA
复制
导出至
BibTeX EndNote RefMan NoteFirst NoteExpress
×
提示
您的信息不完整,为了账户安全,请先补充。
现在去补充
×
提示
您因"违规操作"
具体请查看互助需知
我知道了
×
提示
确定
请完成安全验证×
copy
已复制链接
快去分享给好友吧!
我知道了
右上角分享
点击右上角分享
0
联系我们:info@booksci.cn Book学术提供免费学术资源搜索服务,方便国内外学者检索中英文文献。致力于提供最便捷和优质的服务体验。 Copyright © 2023 布克学术 All rights reserved.
京ICP备2023020795号-1
ghs 京公网安备 11010802042870号
Book学术文献互助
Book学术文献互助群
群 号:604180095
Book学术官方微信