The Role of Combined C-reactive Protein and Albumin Indices in Predicting Prolonged Hospital Stay in Acute Pancreatitis: A Prospective Observational Study.

IF 1.1 Q2 MEDICINE, GENERAL & INTERNAL
Abdullah Algin, Serdar Ozdemir, Mustafa Ahmet Afacan, Kaan Yusufoglu, Abuzer Ozkan
{"title":"The Role of Combined C-reactive Protein and Albumin Indices in Predicting Prolonged Hospital Stay in Acute Pancreatitis: A Prospective Observational Study.","authors":"Abdullah Algin, Serdar Ozdemir, Mustafa Ahmet Afacan, Kaan Yusufoglu, Abuzer Ozkan","doi":"10.4274/MMJ.galenos.2025.73848","DOIUrl":null,"url":null,"abstract":"<p><strong>Objective: </strong>To evaluate the predictive ability of indices based on the combination of C-reactive protein (CRP) and albumin, namely the CRP/albumin ratio (CAR), Glasgow prognostic score (GPS), and modified GPS (mGPS), for prolonged hospital stay in patients with acute pancreatitis.</p><p><strong>Methods: </strong>This prospective observational study was conducted on patients monitored in the emergency department of a tertiary university hospital. The patients' demographic data, vital signs, laboratory parameters, comorbidities, and length of hospital stay were prospectively recorded. Based on their length of hospital stay, the patients were divided into two groups: prolonged stay (>7 days) and non-prolonged stay. The indices were compared between these groups.</p><p><strong>Results: </strong>There were statistically significant differences in CAR, GPS, and mGPS between the prolonged and non-prolonged hospital stay groups (p<0.001 for all; chi-square test). The area under the curve values of CAR, GPS, and mGPS were calculated as 0.677 [95% confidence interval (CI): 0.601-0.753, p<0.001], 0.637 (95% CI: 0.570-0.704, p<0.001), and 0.671 (95% CI: 0.602-0.740, p<0.001), respectively. According to multivariate analysis, CAR [odds ratio (OR)=1.017, 95% CI (1.003-1.03), p=0.015], GPS [OR=2.894, 95% CI (1.632-5.13), p<0.001], and mGPS [OR=3.757, 95% CI (2.108-6.70), p<0.001] were found to be independent predictors of prolonged hospital stay.</p><p><strong>Conclusions: </strong>CAR, GPS, and mGPS are independent predictors of prolonged hospital stay in patients with acute pancreatitis. The findings also suggest that incorporating CRP levels into prognostic calculations may yield more accurate results compared to scores based solely on albumin levels.</p>","PeriodicalId":37427,"journal":{"name":"Medeniyet medical journal","volume":"40 2","pages":"72-79"},"PeriodicalIF":1.1000,"publicationDate":"2025-06-26","publicationTypes":"Journal Article","fieldsOfStudy":null,"isOpenAccess":false,"openAccessPdf":"https://www.ncbi.nlm.nih.gov/pmc/articles/PMC12203446/pdf/","citationCount":"0","resultStr":null,"platform":"Semanticscholar","paperid":null,"PeriodicalName":"Medeniyet medical journal","FirstCategoryId":"1085","ListUrlMain":"https://doi.org/10.4274/MMJ.galenos.2025.73848","RegionNum":0,"RegionCategory":null,"ArticlePicture":[],"TitleCN":null,"AbstractTextCN":null,"PMCID":null,"EPubDate":"","PubModel":"","JCR":"Q2","JCRName":"MEDICINE, GENERAL & INTERNAL","Score":null,"Total":0}
引用次数: 0

Abstract

Objective: To evaluate the predictive ability of indices based on the combination of C-reactive protein (CRP) and albumin, namely the CRP/albumin ratio (CAR), Glasgow prognostic score (GPS), and modified GPS (mGPS), for prolonged hospital stay in patients with acute pancreatitis.

Methods: This prospective observational study was conducted on patients monitored in the emergency department of a tertiary university hospital. The patients' demographic data, vital signs, laboratory parameters, comorbidities, and length of hospital stay were prospectively recorded. Based on their length of hospital stay, the patients were divided into two groups: prolonged stay (>7 days) and non-prolonged stay. The indices were compared between these groups.

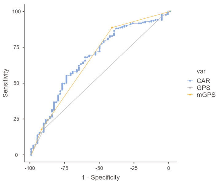
Results: There were statistically significant differences in CAR, GPS, and mGPS between the prolonged and non-prolonged hospital stay groups (p<0.001 for all; chi-square test). The area under the curve values of CAR, GPS, and mGPS were calculated as 0.677 [95% confidence interval (CI): 0.601-0.753, p<0.001], 0.637 (95% CI: 0.570-0.704, p<0.001), and 0.671 (95% CI: 0.602-0.740, p<0.001), respectively. According to multivariate analysis, CAR [odds ratio (OR)=1.017, 95% CI (1.003-1.03), p=0.015], GPS [OR=2.894, 95% CI (1.632-5.13), p<0.001], and mGPS [OR=3.757, 95% CI (2.108-6.70), p<0.001] were found to be independent predictors of prolonged hospital stay.

Conclusions: CAR, GPS, and mGPS are independent predictors of prolonged hospital stay in patients with acute pancreatitis. The findings also suggest that incorporating CRP levels into prognostic calculations may yield more accurate results compared to scores based solely on albumin levels.

Abstract Image

c反应蛋白和白蛋白联合指数在预测急性胰腺炎住院时间延长中的作用:一项前瞻性观察研究
目的:评价c反应蛋白(CRP)和白蛋白联合指标CRP/白蛋白比(CAR)、格拉斯哥预后评分(GPS)和改良GPS (mGPS)对急性胰腺炎患者延长住院时间的预测能力。方法:对某三级大学附属医院急诊科监测的患者进行前瞻性观察研究。前瞻性记录患者的人口学数据、生命体征、实验室参数、合并症和住院时间。根据住院时间的长短,将患者分为两组:延长住院期(7天)和非延长住院期(7天)。比较各组间各项指标。结果:CAR、GPS和mGPS在延长和非延长住院组之间存在统计学差异(p结论:CAR、GPS和mGPS是急性胰腺炎患者延长住院时间的独立预测因子。研究结果还表明,与仅基于白蛋白水平的评分相比,将CRP水平纳入预后计算可能会产生更准确的结果。
本文章由计算机程序翻译,如有差异,请以英文原文为准。
求助全文
约1分钟内获得全文 求助全文
来源期刊
Medeniyet medical journal
Medeniyet medical journal Medicine-Medicine (all)
CiteScore
1.70
自引率
0.00%
发文量
88
审稿时长
5 weeks
期刊介绍: The Medeniyet Medical Journal (Medeniyet Med J) is an open access, peer-reviewed, and scientific journal of Istanbul Medeniyet University Faculty of Medicine on various academic disciplines in medicine, which is published in English four times a year, in March, June, September, and December by a group of academics. Medeniyet Medical Journal is the continuation of Göztepe Medical Journal (ISSN: 1300-526X) which was started publishing in 1985. It changed the name as Medeniyet Medical Journal in 2015. Submission and publication are free of charge. No fees are asked from the authors for evaluation or publication process. All published articles are available online in the journal website (www.medeniyetmedicaljournal.org) without any fee. The journal publishes intradisciplinary or interdisciplinary clinical, experimental, and basic researches as well as original case reports, reviews, invited reviews, or letters to the editor, Being published since 1985, the Medeniyet Med J recognizes that the best science should lead to better lives based on the fact that the medicine should serve to the needs of society, and knowledge should transform society. The journal aims to address current issues at both national and international levels, start debates, and exert an influence on decision-makers all over the world by integrating science in everyday life. Medeniyet Med J is committed to serve the public and influence people’s lives in a positive way by making science widely accessible. Believing that the only goal is improving lives, and research has an impact on people’s lives, we select the best research papers in line with this goal.
×
引用
GB/T 7714-2015
复制
MLA
复制
APA
复制
导出至
BibTeX EndNote RefMan NoteFirst NoteExpress
×
提示
您的信息不完整,为了账户安全,请先补充。
现在去补充
×
提示
您因"违规操作"
具体请查看互助需知
我知道了
×
提示
确定
请完成安全验证×
copy
已复制链接
快去分享给好友吧!
我知道了
右上角分享
点击右上角分享
0
联系我们:info@booksci.cn Book学术提供免费学术资源搜索服务,方便国内外学者检索中英文文献。致力于提供最便捷和优质的服务体验。 Copyright © 2023 布克学术 All rights reserved.
京ICP备2023020795号-1
ghs 京公网安备 11010802042870号
Book学术文献互助
Book学术文献互助群
群 号:604180095
Book学术官方微信