Large-Scale Meta-Analysis of TNF-α rs1800629 Polymorphism in Schizophrenia: Evidence from 7,624 Cases and 8,933 Controls.

IF 1.1 Q2 MEDICINE, GENERAL & INTERNAL
Ghasem Dastjerdi, Bita Fallahpour, Seyed Alireza Dastgheib, Amirhossein Shahbazi, Ahmadreza Golshan Tafti, Mohammad Bahrami, Ali Masoudi, Amirmasoud Shiri, Fatemeh Nematzadeh, Hossein Neamatzadeh
{"title":"Large-Scale Meta-Analysis of TNF-α rs1800629 Polymorphism in Schizophrenia: Evidence from 7,624 Cases and 8,933 Controls.","authors":"Ghasem Dastjerdi, Bita Fallahpour, Seyed Alireza Dastgheib, Amirhossein Shahbazi, Ahmadreza Golshan Tafti, Mohammad Bahrami, Ali Masoudi, Amirmasoud Shiri, Fatemeh Nematzadeh, Hossein Neamatzadeh","doi":"10.4274/MMJ.galenos.2025.72273","DOIUrl":null,"url":null,"abstract":"<p><strong>Objective: </strong>Schizophrenia is a multifaceted psychiatric disorder that affects about 1% of the world's population and arises from a combination of genetic, environmental, and neurodevelopmental influences. Recent studies highlight the role of immune system disturbances and neuroinflammation in its development, with tumor necrosis factor-alpha (TNF-α) identified as a pivotal cytokine. This meta-analysis aims to clarify the relationship between the TNF-α rs1800629 genetic variant and the risk of schizophrenia by synthesizing data from published research.</p><p><strong>Methods: </strong>Two independent reviewers systematically searched PubMed, Web of Science, Embase, Cochrane Library, and Chinese National Knowledge Infrastructure for studies published up to January 19, 2024. Odds ratios and 95% confidence intervals were computed using a fixed-effects model, taking into account the absence of significant heterogeneity.</p><p><strong>Results: </strong>A total of 33 case-control studies were included, encompassing 7,624 individuals with schizophrenia and 8,933 healthy controls from diverse backgrounds (21 studies on Asian populations, 11 on Caucasian, and one on a mixed group) conducted between 2001 and 2020. The pooled analysis did not reveal a significant link between the TNF-α rs1800629 polymorphism and susceptibility to schizophrenia under any genetic model. Further subgroup analyses by ethnicity (Asian, Caucasian), country (China, Poland), genotyping technique, and publication year also yielded no notable associations.</p><p><strong>Conclusions: </strong>This comprehensive meta-analysis offers strong evidence that the TNF-α rs1800629 variant is not significantly associated with schizophrenia risk, either globally or within specific ethnic groups. These findings indicate that this polymorphism likely does not play a major role in schizophrenia susceptibility, underscoring the importance of future investigations into other TNF-α variants, gene-gene interactions, or alternative inflammatory mechanisms.</p>","PeriodicalId":37427,"journal":{"name":"Medeniyet medical journal","volume":"40 2","pages":"80-92"},"PeriodicalIF":1.1000,"publicationDate":"2025-06-26","publicationTypes":"Journal Article","fieldsOfStudy":null,"isOpenAccess":false,"openAccessPdf":"https://www.ncbi.nlm.nih.gov/pmc/articles/PMC12203444/pdf/","citationCount":"0","resultStr":null,"platform":"Semanticscholar","paperid":null,"PeriodicalName":"Medeniyet medical journal","FirstCategoryId":"1085","ListUrlMain":"https://doi.org/10.4274/MMJ.galenos.2025.72273","RegionNum":0,"RegionCategory":null,"ArticlePicture":[],"TitleCN":null,"AbstractTextCN":null,"PMCID":null,"EPubDate":"","PubModel":"","JCR":"Q2","JCRName":"MEDICINE, GENERAL & INTERNAL","Score":null,"Total":0}
引用次数: 0

Abstract

Objective: Schizophrenia is a multifaceted psychiatric disorder that affects about 1% of the world's population and arises from a combination of genetic, environmental, and neurodevelopmental influences. Recent studies highlight the role of immune system disturbances and neuroinflammation in its development, with tumor necrosis factor-alpha (TNF-α) identified as a pivotal cytokine. This meta-analysis aims to clarify the relationship between the TNF-α rs1800629 genetic variant and the risk of schizophrenia by synthesizing data from published research.

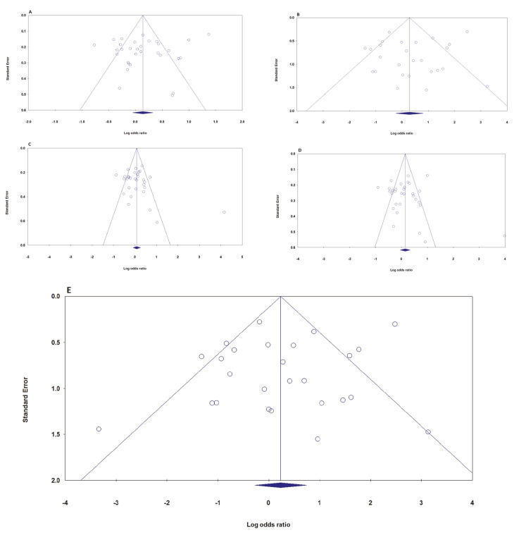
Methods: Two independent reviewers systematically searched PubMed, Web of Science, Embase, Cochrane Library, and Chinese National Knowledge Infrastructure for studies published up to January 19, 2024. Odds ratios and 95% confidence intervals were computed using a fixed-effects model, taking into account the absence of significant heterogeneity.

Results: A total of 33 case-control studies were included, encompassing 7,624 individuals with schizophrenia and 8,933 healthy controls from diverse backgrounds (21 studies on Asian populations, 11 on Caucasian, and one on a mixed group) conducted between 2001 and 2020. The pooled analysis did not reveal a significant link between the TNF-α rs1800629 polymorphism and susceptibility to schizophrenia under any genetic model. Further subgroup analyses by ethnicity (Asian, Caucasian), country (China, Poland), genotyping technique, and publication year also yielded no notable associations.

Conclusions: This comprehensive meta-analysis offers strong evidence that the TNF-α rs1800629 variant is not significantly associated with schizophrenia risk, either globally or within specific ethnic groups. These findings indicate that this polymorphism likely does not play a major role in schizophrenia susceptibility, underscoring the importance of future investigations into other TNF-α variants, gene-gene interactions, or alternative inflammatory mechanisms.

Abstract Image

Abstract Image

Abstract Image

精神分裂症中TNF-α rs1800629多态性的大规模荟萃分析:来自7624例病例和8933例对照的证据
目的:精神分裂症是一种多方面的精神障碍,影响着世界上约1%的人口,由遗传、环境和神经发育影响的组合引起。最近的研究强调了免疫系统紊乱和神经炎症在其发展中的作用,肿瘤坏死因子-α (TNF-α)被确定为关键的细胞因子。本荟萃分析旨在通过综合已发表的研究数据,阐明TNF-α rs1800629遗传变异与精神分裂症风险之间的关系。方法:两位独立审稿人系统检索PubMed、Web of Science、Embase、Cochrane Library和Chinese National Knowledge Infrastructure,检索截止到2024年1月19日发表的研究。考虑到不存在显著异质性,使用固定效应模型计算优势比和95%置信区间。结果:共纳入了33项病例对照研究,包括7624名精神分裂症患者和8933名来自不同背景的健康对照(21项研究针对亚洲人群,11项针对高加索人群,1项针对混合人群),这些研究在2001年至2020年间进行。在任何遗传模型下,合并分析均未显示TNF-α rs1800629多态性与精神分裂症易感性之间存在显著联系。进一步按种族(亚洲人、高加索人)、国家(中国、波兰)、基因分型技术和出版年份进行的亚组分析也没有发现显著的关联。结论:这项综合荟萃分析提供了强有力的证据,证明TNF-α rs1800629变异与精神分裂症风险没有显著相关性,无论是在全球还是在特定的种族群体中。这些发现表明,这种多态性可能在精神分裂症易感性中不起主要作用,强调了未来研究其他TNF-α变异、基因-基因相互作用或其他炎症机制的重要性。
本文章由计算机程序翻译,如有差异,请以英文原文为准。
求助全文
约1分钟内获得全文 求助全文
来源期刊
Medeniyet medical journal
Medeniyet medical journal Medicine-Medicine (all)
CiteScore
1.70
自引率
0.00%
发文量
88
审稿时长
5 weeks
期刊介绍: The Medeniyet Medical Journal (Medeniyet Med J) is an open access, peer-reviewed, and scientific journal of Istanbul Medeniyet University Faculty of Medicine on various academic disciplines in medicine, which is published in English four times a year, in March, June, September, and December by a group of academics. Medeniyet Medical Journal is the continuation of Göztepe Medical Journal (ISSN: 1300-526X) which was started publishing in 1985. It changed the name as Medeniyet Medical Journal in 2015. Submission and publication are free of charge. No fees are asked from the authors for evaluation or publication process. All published articles are available online in the journal website (www.medeniyetmedicaljournal.org) without any fee. The journal publishes intradisciplinary or interdisciplinary clinical, experimental, and basic researches as well as original case reports, reviews, invited reviews, or letters to the editor, Being published since 1985, the Medeniyet Med J recognizes that the best science should lead to better lives based on the fact that the medicine should serve to the needs of society, and knowledge should transform society. The journal aims to address current issues at both national and international levels, start debates, and exert an influence on decision-makers all over the world by integrating science in everyday life. Medeniyet Med J is committed to serve the public and influence people’s lives in a positive way by making science widely accessible. Believing that the only goal is improving lives, and research has an impact on people’s lives, we select the best research papers in line with this goal.
×
引用
GB/T 7714-2015
复制
MLA
复制
APA
复制
导出至
BibTeX EndNote RefMan NoteFirst NoteExpress
×
提示
您的信息不完整,为了账户安全,请先补充。
现在去补充
×
提示
您因"违规操作"
具体请查看互助需知
我知道了
×
提示
确定
请完成安全验证×
copy
已复制链接
快去分享给好友吧!
我知道了
右上角分享
点击右上角分享
0
联系我们:info@booksci.cn Book学术提供免费学术资源搜索服务,方便国内外学者检索中英文文献。致力于提供最便捷和优质的服务体验。 Copyright © 2023 布克学术 All rights reserved.
京ICP备2023020795号-1
ghs 京公网安备 11010802042870号
Book学术文献互助
Book学术文献互助群
群 号:604180095
Book学术官方微信